INTRODUCCIÓN
La formación de expectativas del mercado sobre la tasa de interés es fundamental para la transmisión de las decisiones de política monetaria hacia el mercado financiero (Rudebusch y Williams, 2008). Debido a su importancia, en un esquema de inflación objetivo es clave monitorear las expectativas y el comportamiento de la curva de rendimiento o la llamada estructura a término de la tasa de interés. Para esta tarea, la comunicación del banco se convierte en una herramienta que contribuye de forma directa en reducir la incertidumbre asociada a la gestión monetaria y la compresión del entorno económico (Sims, 2009). Por ende, es importante conocer los impactos de la comunicación en la formación de expectativas de la tasa de interés para buscar la estabilidad macroeconómica.
Para un banco central las expectativas de inflación, de la tasa de interés y del crecimiento económico son relevantes en el diseño y conducción de la política monetaria para lograr los objetivos macroeconómicos (King, 2005). Es importante anotar que el impacto final de un movimiento de la tasa de política para buscar una inflación baja y estable depende en gran medida de su influencia en las diferentes expectativas de corto y largo plazo (Luckett & Soltow, 1969; Mizen & Hoffman, 2002). En concreto, los efectos en las expectativas de interés corto plazo son observados de forma directa en los movimientos de las tasas diarias y en las operaciones intradía de los retornos de activos bursátiles, como acciones y títulos públicos (Gürkaynak et al., 2005; Bernanke & Kuttner, 2004; Kuttner, 2001). Por su parte, los efectos en el largo plazo recaen en las tasas de largo plazo y los impactos sobre la actividad económica real, como las decisiones de inversión y consumo, que traen los cambios en las tasas de intervención y son los que miden en últimas el verdadero éxito de la política monetaria (Geraats, 2014; Ehrmann & Fratzscher, 2009). Por ende, las expectativas de la tasa de interés son un canal de transmisión importante para la política monetaria.
De forma tradicional, los bancos centrales realizan un seguimiento a las diferentes expectativas por medio de encuestas al mercado financiero (Gürkaynak et al., 2010). En el marco de las encuestas, las expectativas de las diferentes variables se suelen evaluar en términos de la media o la mediana. A pesar de ello, evaluar sobre el promedio supone que las expectativas son homogéneas y que los agentes acceden y procesan el mismo conjunto de información. Es decir, se desconoce la heterogeneidad en la formación de expectativas como resultado de la rigidez en la información. El problema de proceder así es que existen diferentes agentes, aprendizajes, costos y rigideces en la información que llevan por lo general a una diversidad en el pronóstico (Mankiw & Reis, 2002; Reis, 2006; Evans & Honkapohja, 2009). Por lo tanto, se requieren mayores esfuerzos de los bancos centrales para comprender la naturaleza de los cambios en las expectativas, toda vez que es necesario ampliar el espectro de indicadores que permitan entender la dinámica en la formación de expectativas.
Debido a su importancia, existe una literatura que evalúa la heterogeneidad en la formación de expectativas y se enfoca en el análisis de los desacuerdos (Mankiw et al., 2003; Dovern et al., 2012; Coibion & Gorodnichenko, 2015; Ricco et al., 2016; Montes et al., 2019). Esta literatura permite comprender con mayor profundidad la formación de expectativas y se centra en analizar las expectativas del mercado financiero, los empresarios y los consumidores sobre la inflación, la producción agregada, la tasa de cambio, la tasa de interés de política monetaria, la deuda pública y las diferentes medidas del déficit público. Estos estudios han ayudado a entender las diferencias en las percepciones entre los agentes económicos sobre el futuro comportamiento de las variables macroeconómicas y, como tal, evalúan la respuesta de los desacuerdos frente a cambios en la política económica. Por ende, es importante aplicar este tipo de metodologías para economías emergentes que han adoptado el esquema de inflación objetivo y buscan guiar las expectativas de los diferentes agentes por medio de diferentes estrategias.
El desacuerdo en las expectativas sobre la tasa de política monetaria es una medida de incertidumbre en el mercado financiero que debe ser monitoreada con cuidado (Seelajaroen et al., 2020; Dráger & Lamla, 2017). Como tal, esta variable es un índice de dispersión que expresa las diferentes creencias de los agentes acerca de las decisiones del banco central en su búsqueda por controlar la inflación y la brecha del producto. En consecuencia, para economías emergentes que tienen metas de inflación, reducir el desacuerdo en las expectativas de la tasa de interés contribuye con la estabilidad de los mercados financieros y con el buen funcionamiento del sector real porque permite que las decisiones de política monetaria se trasladen más fácilmente hacia las tasas de mercado (Montes & Ferreira, 2019).
Este estudio tiene como objetivo comprender la formación de expectativas de tasas de interés en una economía emergente de América Latina. Para ello, se analiza el caso de Colombia ya que es una economía pequeña y abierta que en los últimos veinte años se ha caracterizado por su esfuerzo para consolidar los fundamentales macroeconómicos. En particular, desde el aspecto monetario, Colombia implementó un esquema de inflación objetivo de forma consistente desde el año 2000, con un tipo de cambio flexible sostenido en un ahorro cuidadoso de las reservas internacionales que la ha llevado a mantener una inflación baja en todo el siglo XXI (FMI, 2019).
El caso de Colombia es interesante porque de forma progresiva la estrategia de política monetaria del Banco Central se ha desarrollado sobre la base de una mayor comunicación con el público. Todas las decisiones sobre la tasa de política monetaria son explicadas en los medios de comunicación a través de rueda de prensa desde el año 2012. Además, las minutas de la reunión de la junta directiva son publicadas desde el 2007 con el respectivo registro de los votos como la innovación más reciente. Estos aspectos han permitido alcanzar una inflación estable de un solo digito y una cierta estabilidad que ha servido para mitigar los diferentes choques externos ocurridos en las últimas dos décadas. Es decir, la economía colombiana es un caso de estudio representativo de la región de Latinoamérica y de las economías que han implementado un esquema de inflación objetivo.
Este trabajo realiza un aporte en la literatura relacionada con la incertidumbre macroeconómica para economías emergentes, a través del análisis de los desacuerdos en las expectativas asociadas a la gestión de la política monetaria. Por ende, este estudio contribuye de forma directa con la literatura sobre transparencia y claridad de la comunicación de los bancos centrales. Para esto, se utiliza la metodología de regresiones por mínimos cuadrados ordinarios (MCO), método de momentos generalizado (GMM) y el uso de vectores autorregresivos (VAR), y los principales resultados del trabajo señalan que la comunicación del Banco Central de Colombia tiene la capacidad de reducir los desacuerdos en las expectativas en la tasa de interés de política monetaria. En particular, una mejor legibilidad en la publicación de las minutas se convierte en una herramienta que sirve para reducir la incertidumbre y facilita la gestión de las expectativas hacia los objetivos deseados por el banco central. Además, menores discrepancias entre los miembros de la junta directiva del banco central mitigan los desacuerdos de la tasa de interés en el mercado.
El documento está organizado de la siguiente forma. A continuación, en la sección 2 se presentan la metodología y los datos utilizados en el estudio; la sección 3 se enfoca en la evidencia empírica; por último, en la sección 4 se exponen las conclusiones.
DATOS Y METODOLOGÍA
Desde 1999, el Banco de la República (banco central) adoptó el esquema de metas de inflación como una configuración institucional para conducir la política monetaria y controlar la inflación. Luego de más de veinte años de adopción, es posible afirmar que el Banco Central de Colombia ha sido exitoso en el control de la inflación. En promedio, la tasa de inflación para el periodo 2000-2021 se ubicó en 4,81%, que es una cifra cercana a la meta de largo plazo definida por el banco central cuando adoptó el régimen.
De acuerdo con Mishkin (2000), los principales componentes del esquema de metas de inflación son: a) compromiso institucional con la estabilidad de precios; b) una meta de inflación expresa y pública; c) un instrumento de política independiente; d) la comunicación con el público; y e) responsabilidad y transparencia del banco central. Para operar el esquema, el banco central define una meta de inflación cada año y mediante la comunicación hacia el público trata de guiar las expectativas hacia el objetivo anunciado.
Para una correcta gestión de las expectativas, la comunicación de la política monetaria se convierte en una herramienta clave para coordinar los pronósticos entre los participantes del mercado financiero, ya que genera información de forma prospectiva. Esto exige un esfuerzo por parte del banco central para suministrar suficientes canales de comunicación con continuidad temporal, claridad y transparencia en la información hacia el público, que indiquen la estrategia de política, las decisiones futuras y sus perspectivas económicas (Seelajaroen et al., 2020; Jain & Sutherland, 2018; Ehrmann et al., 2012).
En el caso de Colombia, el Banco de la República monitorea las expectativas de la tasa de interés a través de encuestas realizadas a los participantes del mercado financiero que son considerados expertos en el pronóstico económico. Para esta investigación fue elegida la Encuesta Mensual de Expectativas de Analistas Económicos porque es la única encuesta realizada por el Banco Central de Colombia que provee información de las expectativas de tasa de interés de política monetaria. Esta encuesta se realiza de forma mensual y son consultados en promedio 40 analistas financieros locales y externos. En concreto, la encuesta monitorea desde julio del 2014 las expectativas de la tasa de interés, desde el horizonte t hasta t + 11 (de un mes hasta 12 meses al frente). También se miden, para diferentes horizontes, las expectativas de variables macroeconómicas como la inflación, la producción agregada y la tasa de cambio.
Bajo el esquema de inflación objetivo, el principal instrumento de política monetaria del Banco de la República es la tasa de interés de intervención. Esta es la tasa que el banco cobra a las entidades financieras por el crédito concedido en las operaciones de mercado abierto. El mecanismo de transmisión de este instrumento plantea que sus movimientos tienen influencia en el conjunto de tasas activas y pasivas utilizadas en las transacciones por los intermediarios financieros. En particular, los movimientos de la tasa de interés de política se transmiten de forma escalonada, primero hacia la tasa de interés interbancaria (tasa de interés que negocian entre bancos) y luego hacia las tasas activas como créditos de consumo y vivienda y tasas pasivas, como los certificados de depósito a término (Chavarro-Sanchez et al., 2015).
En la práctica, las decisiones de modificación de la tasa de intervención tienen vigencia a partir del día hábil siguiente a la sesión de la Junta Directiva. Esta junta está conformada por siete miembros: el ministro de Hacienda y Crédito Público como representante del gobierno, cinco miembros permanentes y el gerente general, quienes se reúnen doce veces al año al final de cada mes, aunque solo en ocho de esas reuniones se toman decisiones sobre la tasa de intervención.1 Una vez es tomada la decisión, es publicado un comunicado que es explicado en rueda de prensa a los medios de comunicación.
Como una primera forma de verificar si existen desacuerdos en el pronóstico de la tasa de interés, en la Figura 1 se muestra el comportamiento de la tasa de interés del banco central y la media de las expectativas a un mes de dicha tasa que hacen los agentes del mercado financiero sobre la tasa para el periodo 2014/07-2020/03.

Fuente: elaboración de los autores.
Figura 1 Evolución de la tasa de interés de política y las expectativas del mercado financiero
En general, se destacan tres periodos. Un primer periodo, entre 2014-2015/09, con una tasa de política sin movimientos en 4,5% y las expectativas del mercado fluctuando muy de cerca de la tasa de política. Un segundo periodo, entre 2015/102018/04, caracterizado por continuas variaciones en la tasa de política y unas expectativas que siguieron las alzas y las caídas de la tasa, pero que no acertaron bien los valores fijados por el banco central. Para este periodo, en total se observaron veintidós (22) cambios, la mitad contractivos hasta alcanzar una tasa máxima de 7,75%. Luego, la tasa de interés inicia una senda hacia abajo hasta alcanzar una tasa de 4,25% en 2018/04. Por último, entre 2018 y 2020, un tercer periodo caracterizado por una tasa de política estable en 4,25%, aunque se observa que el mercado se quedó corto en el pronóstico de la caída de tasas con la llegada de la pandemia del COVID-19 en EL 2020. En definitiva, es posible observar que las expectativas de los agentes no han acertado siempre a las decisiones de política y se notan errores de pronóstico. Por ende, tal y como sugiere la literatura, esto podría evidenciar que han existido desacuerdos entre los agentes y es importante de analizar este fenómeno.
La literatura sobre los desacuerdos de expectativas de variables macro-económicas plantea diversas formas de medir esta variable (Mankiw et al., 2003; Ballantyne et al., 2016). Por lo general, se propone calcular el desacuerdo a través del rango intercuartil porque es una medida que no está sujeta a cambios abruptos en los valores extremos de la muestra. Sin embargo, el Banco Central de Colombia no publica información del pronóstico de cada uno de los agentes encuestados y, por lo tanto, no es posible calcular el desacuerdo con el rango intercuartil. Por tal razón, el presente estudio calcula el desacuerdo como la diferencia entre el máximo y el mínimo valor de las expectativas de la tasa de interés, tal y como lo proponen Montes et al. (2016). Esto es:
Donde dis t pm es el desacuerdo de expectativa de tasa de interés de política monetaria realizado en el tiempo , que es el momento en el que el pronóstico es realizado por el agente i con i ∈ I, siendo I el conjunto de agentes encuestados. La variable pronosticada es X (para este caso la de interés anual) y E. t X a+i representa el pronóstico que realiza el ith agente en el tiempo t acerca del valor que tomará la variable X al final del periodo a + j. El promedio de la distribución de las expectativas calculadas por el conjunto de agentes I en el tiempo t acerca del valor que tomará X, al final del periodo a + j se define como E t X a + j = 1/I ΣEft Xa+j. Así, E t max X a + j = max (Eit Xa+j, i ∈ I) denota el máximo valor, mientras que E min X a + j = min (Ei,t Xa+j, i ∈ I) denota el mínimo valor pronosticado del conjunto de agentes.
La serie de los desacuerdos en las expectativas es calculada a partir de la ecuación [1] para pronósticos de la tasa de política monetaria a un mes. Un ejemplo permite mostrar esta forma de calcular los desacuerdos en las expectativas. Según la Encuesta Mensual de Expectativas de Analistas Económicos del Banco Central de Colombia, para julio de 2014 la expectativa máxima de la tasa de interés fue de 4,25 puntos básicos y la expectativa mínima fue de 4,00 puntos básicos. En ese caso, el desacuerdo para 2014-07 es igual a 0,25.
En la Figura 2 es presentado el desacuerdo en las expectativas de tasa de interés de política para el periodo 2014/07-2020/03 en la economía colombiana. El periodo inicial elegido corresponde al inicio de la disponibilidad de datos de la encuesta.

Fuente: elaboración de los autores.
Figura 2 Evolución del desacuerdo de expectativas de tasa de interés de política (cifras en puntos básicos)
De acuerdo con la Figura 2, el desacuerdo en las expectativas no presentó una tendencia definida a lo largo de la muestra y tuvo un promedio de 0,24 puntos básicos. Se identifican dos subperiodos. El primero, entre 2015-2019/05, alcanza un promedio de 0,27 puntos básicos y se caracteriza por presentar una tendencia creciente y el valor más alto para toda la muestra de 0,10 puntos básicos en 2016/07. Luego inicia una tendencia decreciente para finalizar sin desacuerdos en 2018 y parte de 2019. Un segundo subperiodo es identificado entre 2019/06-2020, con nuevos incrementos en el desacuerdo, con un valor máximo de 0,75 puntos básicos en 2020/04.
Desacuerdos entre los directores
Las minutas permiten identificar la postura de los miembros del banco central sobre las decisiones de política monetaria. En especial, este medio de comunicación posibilita conocer las razones de las decisiones unánimes o por mayoría en el banco al momento de decidir sobre la tasa de intervención. Esto es un insumo que puede producir cambios en el pronóstico y diferencias entre las expectativas del mercado ya que las decisiones por mayoría evidencian discrepancias relevantes en la visión de la economía.
Los miembros de la banca central difieren sobre las perspectivas de inflación, desempleo y producción de corto y largo plazo y, en menor medida, de las percepciones sobre la estabilidad financiera y los riesgos externos (Crump et al., 2013). Los desacuerdos entre los miembros surgen del uso de diferentes modelos para formular sus puntos de vista sobre las condiciones económicas futuras y, por lo tanto, la política adecuada que debe implementarse (Josselyn y Meade, 2017).
Las diferentes perspectivas pueden sugerir diferentes variaciones en la tasa de interés para que la inflación alcance la meta del banco central y la economía alcance el pleno empleo. Si bien lograr estos objetivos es deseable para todos los participantes, existen por lo regular diferencias en el compromiso sobre la credibilidad en el control de la inflación y en los estímulos monetarios necesarios para impulsar la demanda agregada (Crump et al., 2013). En consecuencia, el desacuerdo entre los miembros pone en evidencia sus preferencias por acelerar el ritmo de una variable para que se acerque a su nivel de largo plazo.
En el caso colombiano existen varios casos representativos. Por ejemplo, las minutas de agosto del 2016 muestran un desacuerdo entre los miembros para decidir el rumbo de la tasa de interés. Un grupo mayoritario votó por incrementar la tasa de interés de intervención en 25 puntos básicos porque la inflación se encontraba en niveles superiores a la meta. La decisión de este grupo se sustentó en eliminar los efectos en el desanclaje de las expectativas de inflación y frenar la reducción de la credibilidad de la autoridad monetaria. Por el contrario, el grupo minoritario mostró una posición más flexible en el control de la inflación y votó por mantener inalterada la tasa de interés. Su motivación tenía como base una economía con indicios de desaceleración, deterioro de la demanda externa, contracción del gasto, y consideraban incrementos en la inflación transitorios asociados a la oferta que no afectaban las expectativas de mediano plazo. Como resultado, estas diferencias entre los miembros pueden sugerir al público interesado que existe un grupo que castiga fuerte las desviaciones de la inflación de la meta de inflación y otro grupo que desea alcanzar de forma más acelerada el pleno empleo. Estas diferencias, a su vez, también deberían generar discrepancias en las expectativas de los agentes.
Otro ejemplo que muestra las discrepancias entre las preferencias por estimular la producción o controlar la inflación ocurrió en las minutas del marzo 20 de 2018, en un entorno en el que la actividad económica era débil con crecimiento esperado por debajo del potencial. Un grupo mayoritario (6) votó por mantener inalteradas las tasas de interés de intervención. Una decisión justificada en presiones inflacionarias ejercidas por algunas canastas de bienes y servicios, que se encontraban muy por encima de la meta. Sin embargo, un solo codirector ponderó con mayor fuerza la actividad económica y votó por recortar la tasa de interés de intervención en 25 puntos básicos. Manifestó que, a pesar de que había señales de recuperación, las cifras de la actividad económica eran débiles y que deberían apuntalarse con una nueva disminución de la tasa de intervención. También es común observar que los miembros coinciden en la dirección que debe tomar la tasa de interés, pero no en la velocidad del ajuste. Por ejemplo, en las minutas del 30 de octubre de 2015, los miembros coincidieron en frenar el desanclaje de la inflación. Un grupo mayoritario de banqueros votó por un incremento de 50 puntos básicos. Sin embargo, otro grupo votó por un incremento de 25 puntos básicos.
En la Figura 3 se relacionan las variaciones de la tasa de política monetaria y los desacuerdos entre los directores. La sombra de color gris especifica las reuniones con decisiones tomadas por mayoría y en blanco las decisiones unánimes. Es posible identificar que los desacuerdos entre los directores se originan cuando las decisiones implican iniciar una postura de política. Por ejemplo, entre 2015-2016, las decisiones estuvieron enmarcadas por una política monetaria contractiva, como señal de preocupación por el desanclaje de inflación. En el 2017 los desacuerdos se originan sobre un entorno bajo decisiones que se inclinan hacia una política monetaria expansiva, como señal de una preocupación por impulsar la actividad economía, una vez controlada la inflación. De forma contraria, se destaca que en los periodos en los cuales no hay variaciones en la tasa de política, todo el conjunto de directores siempre alcanzó un consenso.

Fuente: elaboración de los autores.
Figura 3 Variaciones de la tasa de interés de política monetaria y desacuerdos de la Junta Directiva
Con el fin de capturar estos desacuerdos se propone utilizar una variable dummy (Dmin), que mide los desacuerdos y toma valores de 1.0 cuando existen decisiones de política monetaria tomadas por mayoría (existen discrepancias); es decir, cuando hay unos miembros a favor y otros en contra y se toma la decisión con más votos. Por su parte, la variable toma valores de 0.0 cuando las decisiones son unánimes (no hay discrepancias).
En la Figura 4 se muestra el comportamiento de la variable Dmin. En la Figura se puede identificar que entre 2014-2018/04 ocurrieron sucesivas decisiones de política monetaria tomadas por mayoría. Sin embargo, desde 2018/05, hasta el final de la serie, todas las decisiones fueron tomadas de forma unánime, siendo el periodo más prolongado sin desacuerdos entre los miembros del Banco Central de Colombia.

Fuente: elaboración de los autores.
Figura 4 Decisiones unánimes (valor 0)y por mayoría (valor 1) sobre la tasa de interés de política monetaria de la Junta Directiva del Banco de la República
La unanimidad en las votaciones en las decisiones sobre la tasa de interés es una importante señal al mercado sobre los acuerdos entre los miembros del banco sobre la gestión de la política monetaria. Dado esto, se propone un primer modelo para analizar los desacuerdos de expectativas:
Donde dis t pm es el desacuerdo de la tasa de interés de política monetaria y dis t-1 pm es un rezago del desacuerdo. Este rezago es agregado con el fin de capturar el hecho de que el desacuerdo puede persistir en el tiempo, como resultado de la rigidez en la información inherente a cada tipo de agente. Esta rigidez implica la existencia de heterogeneidad entre los pronosticadores, causada por la capacidad de cada agente para entender la estructura de la economía agregada, la velocidad de aprendizaje o adaptación frente a los nuevos acontecimientos económicos, como también sus limitaciones para acceder y procesar la información (ver, por ejemplo, Mankiw y Reis, 2002; Woodford, 2003; Evans y Honkapohja, 2009; Coibion y Gorodnichenko, 2012). Por su parte, Dmin t1 captura el desacuerdo entre los directores en la última reunión de la junta directiva del banco central y E 1 corresponde al término error.
La comunicación del banco central
La comunicación es clave en la operación de la política monetaria porque permite que los bancos centrales sean más transparentes y puedan gestionar con mayor facilidad las expectativas de los agentes económicos (Coenen et al., 2017). Por sus características, se ha convertido en una herramienta de política y busca satisfacer las necesidades de mayor demanda de información del mercado financiero sobre la ejecución de la política monetaria y los fundamentales macroeconómicos. En particular, la comunicación como instrumento de política monetaria tiene dos propósitos: a) crear noticias, con el objetivo de mover los mercados financieros, y b) reducir el ruido, con el fin de aumentar la precisión en los pronósticos de los participantes del mercado (Blinder et al., 2008).
La comunicación también debe ser clara y oportuna, de lo contrario puede provocar dos tipos de ruido (Coenen et al., 2017). Un primer tipo de ruido se define como ruido común y se origina cuando existe un problema en el lenguaje utilizado por el responsable de la emisión del anuncio, que lleva a que todo el conjunto de agentes interprete de forma imperfecta la noticia emitida. El ruido también se puede propiciar desde la capacidad individual de cada agente para comprender los anuncios. Cuando las interpretaciones difieren entre individuos, se origina un segundo tipo de ruido, denominado ruido privado (Gaballo, 2016).
Para enfrentar de mejor forma el ruido, es necesario que los canales de comunicación del banco central se construyan con claridad. Esto significa que el contenido del texto presentado se entienda lo suficiente y, por tanto, se establezca una comunicación eficaz entre el autor y el lector del documento (Belart, 2004). Una comunicación eficiente requiere de la elaboración de anuncios con explicaciones claras y bien redactadas que puedan ser entendidos por los agentes económicos. Cuando un banco central invierte en el proceso de redacción puede producir mayores impactos en las expectativas y reducir la incertidumbre sobre las acciones futuras de política (Van der Cruijsen & Demertzis, 2007; Bulíf et al., 2013).
La comunicación del Banco Central de Colombia se realiza de forma principal a través de tres instrumentos: los comunicados, las minutas y los reportes de inflación (Anzoátegui y Galvis, 2019). La evidencia empírica encontrada para la economía colombiana plantea que las minutas son el canal de comunicación que más atención captura por parte de los agentes financieros (Guío et al., 2021; Anzoátegui & Galvis, 2019). En principio, desde finales de 2007 las minutas eran mensuales. Sin embargo, con la reestructuración del calendario de reuniones de la Junta Directiva, la publicación se realiza con periodicidad ocho veces al año desde el 2018.
Es posible afirmar que las minutas se convierten en elemento central de la comunicación y pueden reducir el ruido porque brindan información detallada sobre la posición de los miembros de la junta del banco central sobre el control de la inflación, además de informar la dinámica de la producción agregada, el mercado laboral y las perspectivas macroeconómicas locales y externas. Sumado a esto, las minutas presentan una evaluación de riesgos para el cumplimiento de la meta de inflación, de forma tal que permite entender la base de las decisiones de la junta directiva y la dirección futura de la tasa de interés de política (Svensson, 2012; Blinder et al., 2001).
La claridad puede ser medida a través de indicadores de legibilidad que sirven para identificar la facilidad para comprender un texto. En particular, los índices de legibilidad ayudan a analizar la forma de escribir, el tamaño y el orden lógico de las frases, la posición adecuada de las palabras clave y las estructuras que permiten al lector avanzar en el contenido del texto (Belart, 2004). Para medir el nivel de claridad que proporciona el contenido de las minutas, es utilizado el índice de legibilidad denominado escala Inflesz, desarrollado por Barrio-Cantalejo et al. (2008). La escala Inflesz es una adaptación al español de la ecuación de Flesch (diseñada para el idioma inglés) y sirve para medir la facilidad de leer un texto para la lengua española y ha sido utilizado en estudios económicos por Galvis & Anzoátegui (2019 y Taborda (2015). Este indicador de legibilidad se define de la siguiente forma:
Donde F t Min es la escala Inflesz para las minutas, (S) es el total de silabas, (P) es la cantidad de palabras y (F) es el número de frases. De acuerdo con la escala propuesta por el Inflesz (Barrio-Cantalejo et al., 2008), el índice está dividido en cinco (5) categorías. En la Tabla 1 se identifica que la dificultad media de un texto se sitúa entre 55 y 65, por debajo de estas cifras será difícil de leer, y cuanto más se acerque a 80, será mucho más fácil de leer. La intuición del indicador señala que muchas sílabas por palabra y muchas palabras por frase disminuyen la legibilidad. Si alguien tiene que procesar un texto con palabras u oraciones largas, será más difícil captar el mensaje y, por lo tanto, requeriría más años de educación. Esto significa que las minutas pueden incrementar su legibilidad cuando su diseño esté basado en palabras y frases cortas. Por lo tanto, un incremento del indicador (F^™) aplicado a las minutas significa un aumento de la claridad en la información suministrada.
Tabla 1 Escala Inflesz
| Escala numérica | Interpretación | Educación necesaria para interpretar el texto y tipo de publicación |
|---|---|---|
| >80 | Muy fácil | Educación primaria. Tebeos, cómic |
| 65-80 | Bastante fácil | Educación primaria. Prensa, novelas de éxito. |
| 55-65 | Normal | Educación primaria. Prensa general, prensa deportiva |
| 40-55 | Algo difícil | Bachillerato. Divulgación científica, prensa especializada |
| 0-40 | Muy difícil | Universitario. Texto científico |
Fuente: Barrio-Cantalejo et al. (2008)
En la Figura 5 se presenta la evolución del índice Inflesz para las minutas del banco central de Colombia. Se destacan dos momentos para la muestra de análisis. De forma inicial, entre 2014-2017, el índice presenta movimientos en un rango entre 56 y 62,34. Esto significa que las minutas podían ser entendidas por público con al menos una educación primaria. Un segundo momento se origina entre 2018 y 2020, con una reducción importante en la legibilidad hasta alcanzar el nivel más bajo en 46,55. Como resultado, la legibilidad de las minutas alcanzó la escala numérica más baja en la muestra y, en consecuencia, la educación mínima para entender los anuncios del banco central de Colombia.

Fuente: elaboración de los autores.
Figura 5 Índice Inflesz para las minutas de política monetaria del Banco de la República
La claridad en las minutas, como principal herramienta de comunicación del banco central, es una forma de reducir el ruido y los desacuerdos entre los agentes del mercado financiero. Por tal motivo, es agregada F m " como una variable explicativa de los desacuerdos y se propone el siguiente segundo modelo básico:
Para reducir el ruido, Sims (2005) y Gaballo (2016) plantean que los bancos centrales como estrategia deben proporcionar a los agentes múltiples fuentes de información detallada, ya que los malentendidos individuales se cancelarían en conjunto. Para cumplir con este propósito es necesario que el volumen de información que ofrece un banco central pueda satisfacer la demanda de los agentes económicos.
Al respecto, el banco central informa sobre sus decisiones y estrategias, sobre las perspectivas económicas y futuras decisiones de política monetaria (Blinder et al., 2008). En el caso del Banco Central de Colombia, esta información es presentada a través de comunicados de prensa, ruedas de prensa, minutas, reportes de inflación, presentaciones de los codirectores, reuniones con agremiaciones, presentación de investigaciones, publicación de revistas y libros, boletines, entre otros, que permiten aumentar el conjunto de información económica y, en especial, la información de política monetaria a la que pueden acceder los agentes. El aumento en el flujo de información apunta a reducir el ruido común y contribuye de forma directa en la gestión de las expectativas, fortalece el mecanismo de transmisión y facilita el alcance de las metas macroeconómicas perseguidas por el banco central.
El conjunto de información de los bancos centrales puede ser definido como el volumen de anuncios y noticias relacionadas con la gestión de política monetaria. El volumen de noticias es un indicador propuesto para identificar los efectos de la comunicación a través de los medios masivos en los agentes económicos, tal como fue sugerido por Lamla & Maag (2012) y Lamla & Lein (2015); de igual forma, como señalan de Mendonça & Nicolay (2017), es un indicador que sirve o tiene potencial para medir la transparencia.
Los portales web de diferentes entidades públicas acostumbran a tener una sección denominada Noticias y publicaciones, donde los usuarios pueden acceder a los siguientes tópicos: calendario de divulgación, comunicados y minutas, informes institucionales, investigaciones y documentos de trabajo, libros, noticias y novedades, novedades reglamentarias, otras publicaciones y revistas, presentaciones y discursos, seminarios y eventos. En el caso de Colombia, el Banco de la República cuenta con esta información en su sitio web, la cual es útil para medir el volumen de noticias de la entidad. Dado esto, para identificar el suministro de información, es calculado el volumen de noticias (Vol_nt) que ofrece el banco central a través del portal web.
Para construir el indicador de volumen de noticias fueron seleccionados y contabilizados solo los tópicos relacionados con la ejecución de la política monetaria. En particular, fueron seleccionados cuatro tópicos: a) comunicados y minutas, b) noticias y novedades, c) informes institucionales y d) presentaciones y discursos. En general, estos tópicos ofrecen información relevante para comprender la orientación de la política monetaria, las decisiones, los planes, la perspectiva macroeconómica, los acuerdos con otras instituciones, entre otros.
En la Figura 6 se observa el comportamiento del volumen de noticias del Banco Central de Colombia relacionadas con la gestión de la política monetaria, publicadas en la página web (https://www.banrep.gov.co/es/noticias-y-publicaciones), a través de la sección Noticias y publicaciones. La Figura permite identificar dos periodos. Un primer periodo entre 2014-2017, con un promedio mensual de cuatro noticias publicadas. Sin embargo, entre 2018-2020 se observa un incremento importante, alcanzando un promedio de 10,5 noticias publicadas por mes. En suma, se observa un mayor esfuerzo del banco central por informar al público sobre sus acciones de política monetaria.

Fuente: elaboración de los autores
Figura 6 Volumen de noticias y publicaciones del Banco de la República de Colombia
El volumen de información que ofrece un banco central es una medida de comunicación relevante, con influencia en la formación del pronóstico y puede afectar el desacuerdo de expectativas de la tasa de política monetaria (Lamla & Maag, 2012; Dráger & Lamla, 2017). Por tal razón, se plantea un tercer modelo econométrico para analizar el desacuerdo de expectativas:
Donde Vol_n t1 es el volumen de información publicado del periodo anterior, que es calculado de forma mensual, sumando el total de noticias que corresponde a los cuatro tópicos elegidos.
Desacuerdos de inflación
La mayoría de los estudios descuidan la posibilidad de relacionar los desacuerdos de cierta variable con el desacuerdo de otra variable económica diferente (Dovern, 2014). Existe reciente evidencia que sugiere que los agentes del mercado financiero forman expectativas que son consistentes con una regla de Taylor, que es la regla de política monetaria más utilizada para describir y pronosticar los movimientos de las tasas de interés de los bancos centrales. En términos de los desacuerdos, esto significa que existe la posibilidad de establecer una relación lineal entre el desacuerdo de la tasa de interés y los desacuerdos en las expectativas de inflación (Seelajaroen et al., 2020; Dráger & Lamla, 2017). De acuerdo con ello, es pertinente evaluar los efectos del desacuerdo en las expectativas de inflación como una variable explicativa adicional y postular una última ecuación:
Donde dis_inf e corresponde al desacuerdo de las expectativas de inflación a doce meses del mercado financiero, obtenida de la Encuesta Mensual de Expectativas de Analistas Económicos. Esta variable está construida también como la diferencia entre el máximo y el mínimo. Igual que las expectativas de la tasa de interés, la serie de expectativas de inflación como pronóstico de evento fijo fue transformada en horizonte fijo para corregir la estacionalidad.
En suma, los siguientes son los cuatro modelos básicos propuestos:
Como una primera aproximación a la relación entre comunicación y desacuerdos, en la Figura 7 se presentan gráficos de dispersión con la línea de regresión y la correlación de los desacuerdos en la tasa de interés y los tres instrumentos de comunicación del banco central. Se observa inicialmente que el desacuerdo de las tasas de interés tiene una correlación positiva con los desacuerdos de los directores del periodo anterior (0,45) y dicha correlación es significativa al 1%. Es decir, las decisiones que se toman por mayoría y evidencias discrepancias entre los miembros de la junta directiva en el pasado sí podrían tener alguna incidencia en los desacuerdos del mercado. Por su parte, se encuentran correlaciones negativas para la legibilidad (-0,08) y para el volumen de noticas sobre las decisiones de política monetaria (-0,18) con relación a los desacuerdos. No obstante, la correlación con la variable legibilidad no fue significativa, mientras que la asociada al volumen de noticias es significativa al 10%. En suma, esta primera evidencia empírica permite afirmar que la comunicación sí podría afectar los desacuerdos del mercado.

Fuente: elaboración de los autores. Nota: desacuerdos en las expectativas de tasa de interés de política monetaria (DIS_I), decisiones de política monetaria (MIN), índice de legibilidad (Inflesz) y el volumen de noticias (VOL_NOT). En paréntesis aparece el valor p de significancia de la correlación.
Figura 7 Gráfico de dispersióny correlación de los desacuerdos y los instrumentos de comunicación del banco central
ESTIMACIONES Y RESULTADOS
De forma inicial son realizados los tests para evaluar raíz unitaria de Dickey-Fuller aumentado (ADF) y el test Phillips-Perron (PP), y para evaluar estacionariedad es realizado el test de Kwiatkowski-Phillips-Schmidt-Shin (KPSS). El criterio de decisión para determinar la orden de integración fue la convergencia entre el resultado del test KPSS y, por lo menos, uno de los otros dos tests (ADF o PP). Con base en los resultados de los tests, las variables a utilizar en las ecuaciones [6]-[9] son todas integradas de orden cero y serán utilizadas en niveles. Los resultados son presentados en la Tabla A.3 del Apéndice. Además, fueron realizados los test de Breusch-Godfrey (LM) y Breusch-Pagan-Godfrey (BPG) para evaluar correlación serial y heterocedasticidad. Según los resultados, los modelos no presentan problemas (ver Tabla A.4 del Apéndice).
Para realizar las estimaciones fueron utilizados dos métodos: el método de mínimos cuadrados ordinarios con matriz de corrección Newey-West (OLS) y el método GMM con matriz de ponderación y covarianzas Newey-West (GMM-HAC). Conforme indican Hansen (1982) y Wooldridge (2001), la principal razón para utilizar el método GMM se origina en que el estimador OLS puede perder confianza en presencia de autocorrelación serial en los errores, heterocedasticidad o problemas de no linealidad y endogeneidad típicos de series de tiempo que invalidan sus propiedades. En presencia de dichos problemas, el estimador GMM puede realizar mejores estimaciones porque no supone normalidad y trabaja bien en presencia de problemas de endogeneidad y muestras pequeñas.
Para un estimador GMM eficiente se deben tener en cuenta restricciones de so-breidentificación (Wooldridge, 2001). Por consiguiente, para evaluar las condiciones de sobreidentificación necesarias para implementar el método GMM, fue verificado el test J de sobreidentificación de Hansen (1982) y los instrumentos elegidos son las variables de la ecuación a estimar con rezagos.
En la Tabla 2 son presentadas las estimaciones de las ecuaciones [7]-[10] que evalúan los efectos de la comunicación del banco central y los desacuerdos en las expectativas de inflación y la tasa de cambio. Primero se estima la ecuación [7], que evalúa el rezago del desacuerdo y los desacuerdos entre los directores sobre las decisiones de tasa de interés de política. Luego se evalúan las ecuaciones [8], [9] y [10], en las cuales es agregada una nueva variable al tiempo.
Tabla 2 Determinantes de los desacuerdos en las expectativas de tasa de interés de política (OLS y GMM )
| Dep. variable dist pm : | OLS-HAC | GMM-HAC | GMM-Windmeijer | |||||||||
|---|---|---|---|---|---|---|---|---|---|---|---|---|
| Regressors | Eq.[7] | Eq.[8] | Eq.[9] | Eq.[10] | Eq.[7] | Eq.[8] | Eq.[9] | Eq.[10] | Eq.[7] | Eq.[8] | Eq.[9] | Eq.[10] |
| C | 0,0009*** | 0,0008** | 0,0004 | 0,0151** | 0,0010*** | 0,0009** | 0,0134** | 0,0164** | 0,0009** | 0,0009** | 0,0329** | 0,0146** |
| -0,0003 | -0,0003 | -0,0006 | -0,0062 | -0,0003 | -0,0003 | -0,006 | -0,0062 | -0,0004 | -0,0004 | -0,014 | -0,0066 | |
| [2,7130] | [2,5004] | [0,6574] | [2,4077] | [2,8383] | [2,5230] | [2,2136] | [2,6137] | [2,0717] | [2,2433] | [2,2495] | [2,2040] | |
| dis pm t-1 | 0,3034** | 0,3441*** | 0,3544*** | 0,3146** | 0,1757 | 0,2671 | 0,2875** | 0,2459** | 0,209 | 0,2582 | 0,2533 | 0,2896* |
| -0,1277 | -0,1257 | -0,1306 | -0,1254 | -0,2075 | -0,1916 | -0,1173 | -0,122 | -0,2312 | -0,2316 | -0,2007 | -0,161 | |
| [2,3744] | [2,7367] | [2,7132] | [2,5261] | [0,8468] | [1,3934] | [2,4502] | [2,0148] | [0,9043] | [1,1148] | [1,2616] | [1,7983] | |
| Dmint-1 | 0,0015*** | 0,0015*** | 0,0017*** | 0,0017*** | 0,0020*** | 0,0019*** | 0,0018*** | 0,0018*** | 0,0020*** | 0,0019*** | 0,0021*** | 0,0017*** |
| -0,0005 | -0,0005 | -0,0006 | -0,0006 | -0,0006 | -0,0005 | -0,0004 | -0,0004 | -0,0006 | -0,0006 | -0,0005 | -0,0005 | |
| [2,7063] | [2,7481] | [2,7850] | [2,8504] | [3,2923] | [3,8013] | [4,3667] | [4,4799] | [3,1005] | [3,0443] | [4,0486] | [3,1194] | |
| F Min t-1 | -0,0001** | -0,0001* | -0,0002** | -0,0002* | -0,0002* | -0,0002** | -0,0002* | -0,0005** | -0,0002** | |||
| -9,67E-05 | -0,0001 | -0,0001 | -0,0001 | -0,0001 | -0,0001 | -0,0001 | -0,0002 | -0,0001 | ||||
| [-2,0281] | [-1,9197] | [-2,4627] | [-1,9665] | [-2,0000] | [-2,5758] | [-1,7245] | [-2,1602] | [-2,2098] | ||||
| Vol_nott-1 | 5,82E-05 | -8,88E-05 | -0,0001** | -0,0001** | -0,0004* | -0,0001* | ||||||
| -6,97E-05 | -8,43E-05 | -6,56E-05 | -6,29E-05 | -0,0002 | -5,74E-05 | |||||||
| [0,8348] | [-1,0531] | [-2,2438] | [-2,2842] | [-1,8848] | [-1,8923] | |||||||
| dis_inf e t-1 | 0,0006** | 0,0005*** | 0,0006** | |||||||||
| -0,0003 | -0,0002 | -0,0002 | ||||||||||
| [2,0238] | [2,9020] | [2,5746] | ||||||||||
| R2adj | 0,3 | 0,31 | 0,31 | 0,34 | 0,28 | 0,31 | 0,29 | 0,33 | 0,28 | 0,31 | 0,09 | 0,37 |
| F-statistic | 14,0328 | 10,9348 | 8,3353 | 7,8422 | ||||||||
| P(F-stat) | 0 | 0 | 0 | 0 | ||||||||
| J-Stat | 2,9756 | 2,4301 | 5,7844 | 5,1925 | 2,9231 | 2,425 | 0,4908 | 5,0623 | ||||
| p(J-stat) | 0,7037 | 0,9322 | 0,7612 | 0,8172 | 0,7118 | 0,9326 | 0,9209 | 0,9558 | ||||
| Instruments | 8 | 11 | 14 | 15 | 8 | 11 | 8 | 18 | ||||
| Observations | 70 | 70 | 70 | 70 | 70 | 70 | 70 | 70 | 70 | 70 | 70 | 70 |
Una primera inspección de los resultados encontrados permite identificar que el coeficiente asociado al rezago del desacuerdo es significativo y positivo en la gran mayoría de modelos. La literatura sobre los desacuerdos plantea que la persistencia del rezago a través del tiempo indica importantes diferencias en la construcción del pronóstico de cada uno de los agentes económicos (Mankiw & Reis, 2002; Sims, 2003). Las diferencias en el acceso y procesamiento de la información (por ejemplo, el uso de diferentes modelos econométricos) generan diferencias en la interpretación y, como resultado, diferencias en la velocidad para actualizar los pronósticos a lo largo del tiempo (Mankiw & Reis, 2002; Sims, 2003). Es decir, son confirmadas en el caso colombiano las diferentes posiciones en la formación de expectativas que existen entre los agentes.
Por su parte, es verificado que la comunicación, como herramienta de política monetaria, tiene la capacidad de influir sobre los desacuerdos en las expectativas de tasa de interés de política monetaria de los pronosticadores del mercado financiero. En particular, son tres las variables que miden los efectos de la comunicación en el desacuerdo. De forma inicial, la evidencia encontrada muestra que el coeficiente asociado a los desacuerdos entre los miembros de la junta del banco central registrados un periodo atrás es positivo y significativo al 1% en todos los modelos presentados. Este resultado señala que las discrepancias pasadas entre los miembros son importantes para el mercado. Además, que la información suministrada en las minutas, sobre las diferencias en las posturas en los cambios que debe tomar la tasa de interés, aumentan las discrepancias entre los pronosticadores. Por ende, los desacuerdos pasados entre los codirectores del banco central se trasladan hacia los desacuerdos entre los pronosticadores del mercado financiero.
Con respecto al parámetro asociado a la claridad, los resultados reportados indican que es negativo y significativo en todos los modelos estimados. Este hallazgo permite afirmar que un incremento de la legibilidad tiene la capacidad de reducir los desacuerdos en las expectativas de tasa de interés. Esto significa que los mayores esfuerzos del banco central para redactar de forma más compresible las discusiones y decisiones tomadas entre los directores permite una mejor compresión de los agentes del mercado, que se materializan en una menor dispersión sobre los futuros movimientos de la tasa de política en el caso colombiano. Resultados similares fueron encontrados por Jansen (2011), Bulíf et al. (2013) y Montes et al. (2016), investigadores que señalaron que los beneficios de una mayor claridad en los instrumentos de comunicación facilitan la administración de las expectativas del mercado hacia los objetivos deseados por el banco central.
El coeficiente asociado con el volumen de noticias y publicaciones anunciadas en el portal web es negativo, aunque no parece ser significativo en varios de los modelos estimados, y en algunos casos solo es significativo al 10%. Este resultado señala de forma parcial que los mayores esfuerzos del banco central para aumentar la oferta de noticias y anuncios publicados en su portal web podrían reducir en algo los desacuerdos entre los agentes del mercado financiero. La estrategia de aumentar el volumen de noticia había sido sugerida por Sims (2005) desde una perspectiva teórica, y por Coenen et al. (2017) desde una perspectiva empírica como estrategia de comunicación de política monetaria en los países de la comunidad del euro. No obstante, parece ser que en el caso colombiano no es una herramienta tan potente para guiar las expectativas.
Por su parte, la evidencia encontrada en los desacuerdos en las expectativas de inflación señala que existen efectos importantes sobre los desacuerdos en la tasa de interés de política monetaria. El coeficiente encontrado es positivo y significativo en la gran mayoría de modelos presentados. Este resultado evidencia que los mayores desacuerdos sobre el futuro comportamiento de la inflación provocan incrementos en los desacuerdos en la tasa de interés. La relación directa entre estas dos variables muestra que la dispersión en las expectativas de inflación de los pronosticadores profesionales se materializa en incertidumbre sobre las próximas decisiones de tasa de interés de política. Este resultado corrobora el uso de una regla de Taylor por parte de los agentes del mercado, para predecir el comportamiento de las variaciones de la tasa de interés de política, tal y como fue sugerido por Dráger y Lamla (2017).
Estimaciones VAR y análisis de impulso respuesta
Esta sección tiene como objetivo realizar una estimación de vectores autorregresivos (VAR) para evaluar la dinámica a través del tiempo del conjunto de variables de análisis. En general, este tipo de análisis macroeconométrico es evaluado a través de las funciones impulso-respuesta para identificar los choques o efectos sobre las variables de interés (Sims, 1980). De acuerdo con Lutkenpohl (1991), el método convencional supone ortogonalidad y, por lo tanto, el resultado cambia con el orden de las variables establecido en el VAR. Para eliminar el problema del orden de las variables, Koop, Pesaran y Potter (1996) y Pesaran y Shin (1998) proponen el uso de la función impulso-respuesta generalizada.
La naturaleza de las variables definidas en este estudio son medidas de expectativas que están correlacionadas contemporáneamente. Esta característica hace posible su adaptación al método de la función impulso-respuesta generalizada, metodología deseada porque las estimaciones se realizan independientemente del orden de las variables consideradas en el VAR. Por lo tanto, se realizan las estimaciones y el análisis a través del método impulso-respuesta generalizado para el siguiente conjunto de variables: dis pm , Dmin t , F^, Vol_n t , disjnf". El orden del rezago en el VAR es uno y fue elegido con base en el criterio de información de Hannan-Quinn (HQ), que es consistente y adecuado para muestras pequeñas (ver Tabla A.5 en el Apéndice). Además, las raíces del VAR respetan la condición de estabilidad (ver la Figura A.1 en el Apéndice).
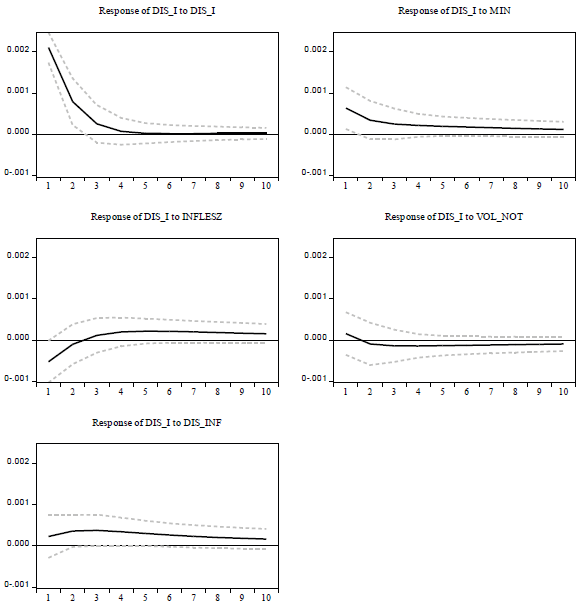
De acuerdo con la Figura 8, la respuesta del desacuerdo a un choque del rezago dis p _1 es positiva y significativa. Esto significa que a través del tiempo se mantienen las diferencias en la velocidad de ajuste de las expectativas sobre el comportamiento futuro de la tasa de interés de política monetaria. Además, plantea la necesidad de aumentar la comunicación para mitigar el problema de la rigidez de la información entre los agentes. Este resultado corrobora el hallazgo presentado en la Tabla 2, en el cual el desacuerdo tiene efectos en todos los modelos presentados.
Con relación a las medidas de comunicación de política monetaria, se observa que una innovación positiva de los desacuerdos entre los directores del banco central (DMIN) aumenta los desacuerdos de los agentes y se corrobora así el resultado encontrado antes. Además, la legibilidad (INFLESZ) contribuye con una reducción, lo que demuestra que mayores esfuerzos para explicar las decisiones en las minutas si permite reducir la incertidumbre sobre los futuros cambios en la tasa de interés. Por su parte, el efecto de una innovación en el volumen de noticias (VOL_N) sobre el desacuerdo no fue significativo y se confirma, entonces, que la mayor publicación de información por parte del banco central no garantiza menores desacuerdos. Por último, con respecto a la respuesta del desacuerdo a una innovación de los cambios en los desacuerdos en las expectativas de inflación (DIS_INF), se encuentra que es positiva y significativa, aunque el efecto se siente luego de 3 a 4 periodos. En suma, los resultados corroboran casi todos hallazgos iniciales de la Tabla 1 y refuerzan que la transparencia en la comunicación y la unanimidad entre los codirectores del banco sobre las decisiones si pueden servir como herramientas de política monetaria para mitigar las discrepancias entre los pronosticadores mercado del financiero.
CONCLUSIONES
Este estudio analizó los determinantes de los desacuerdos en las expectativas de la tasa de interés de política monetaria para Colombia, una economía emergente representativa de América Latina. A través de un análisis macroeconométrico, fueron evaluados los efectos de la comunicación de política monetaria sobre el desacuerdo de la tasa de política monetaria.
Cuatro importantes aspectos fueron encontrados a través del análisis empírico propuesto. En primera instancia, los resultados confirman que la comunicación de política monetaria es una herramienta que tiene la capacidad de reducir la incertidumbre entre los agentes acerca de las futuras variaciones de la tasa de interés. Así, los esfuerzos encaminados a mejorar la redacción de los informes comunicados hacia el público sirven para gestionar las expectativas.
En segundo lugar, los agentes prestan atención a los desacuerdos entre los directores del banco central, lo que refleja el potencial de estas decisiones sobre la formación de expectativas. Tercero, los desacuerdos de la tasa de interés están influenciados por la incertidumbre de precios de la economía. En particular, la incertidumbre asociada con el control de la inflación aumenta las discrepancias sobre la tasa de interés. Por último, se evidencia fuerte inercia en el desacuerdo, lo cual confirma la existencia de rigidez en la información macroeconómica y, como resultado, diferencias en la velocidad de ajuste en las expectativas que es persistente a través del tiempo.
Para futuros estudios se recomienda evaluar el alcance de la comunicación del banco central sobre los desacuerdos en las expectativas de tasa de interés de empresarios del sector real y de consumidores, agentes con menor especialización en asuntos económicos, pero con mucha influencia en la dinámica de la demanda agregada


























