Introducción
El dramático incremento de los cultivos de coca en Colombia durante el periodo 2013-2015 muestra contundentemente la ineficacia de mediano y largo plazo de la llamada guerra contra las drogas como eje central de las políticas antidrogas a nivel internacional (UNOCD, 2013, 2014, 2015, 2016). Si a esto se suma la presencia sostenida de grandes extensiones de tierra con cultivos ilegales en Perú y Bolivia, no quedan dudas de que el endurecimiento de las políticas de erradicación de los cultivos ilegales y de las políticas de interdicción a los estupefacientes fueron un fracaso en el largo plazo: éstas sirvieron como políticas de choque para contener la expansión de los cultivos en el corto plazo con altísimos costos financieros y ecológicos para su financiación, pero no lograron cortar su persistencia ni su difusión por zonas alejadas de los centros urbanos en el mediano plazo.
El balance para las últimas décadas es desalentador: los enormes recursos invertidos en la guerra contra las drogas, no solo no han logrado contener el consumo global de drogas duras en el mundo (UNOCD, 2015, 2016), sino que han disparado desde hace décadas intensos fenómenos de violencia y corrupción en países como Colombia y México (Salazar y Frasser, 2013; Garay y Salcedo-Albarán, 2012), ligados a las luchas por el territorio y los ajustes de cuentas inherentes a las lógicas de dominación territorial del narcotráfico.
Es Colombia, el principal país productor de cocaína en el mundo y en donde se implementó el Plan Colombia (en sus primeras y más intensivas etapas para el periodo 2000-2009), durante las dos últimas décadas se ha consolidado el tráfico y distribución de drogas a pequeña escala al nivel doméstico en las ciudades grandes y medianas, el cual se ha denominado microtráfico de drogas1. En Bogotá, su capital, los recientes esfuerzos de la Acaldía de la ciudad durante el periodo 2016-20182 para combatir el crimen y el tráfico de drogas en las llamadas "ollas"3, lograron con éxito acabar con la concentración de expendios y sopladeros4 en ollas como el Bronx y otros expendios satélites como San Bernardo, Cinco Huecos, el Amparo y María Paz. Pero no han logrado desarticular las bandas criminales y redes de tráfico que soportan el microtráfico en toda la ciudad (Escobedo, Ramírez y Sarmiento, 2017). Algo similar ha ocurrido en otras ciudades de este país como Cali y Medellín.
Si hace cuatro años se pensaba que la disminución de los cultivos ilegales correspondía a una baja en la tendencia de mediano o largo plazo de los cultivos de coca, ahora queda claro que solo se trataba de un efecto de corto plazo de naturaleza cíclica, pero insostenible en el mediano y largo plazos. ¿Qué explica la ineficacia de las políticas de represión a la oferta de drogas?, es una pregunta ineludible en el análisis del narcotráfico y de las políticas para combatirlo en la actualidad.
En este artículo se resuelve y simula el modelo analítico propuesto por Raffo (2015b) para estructuras de redes irregulares, que se aproximan más a las redes de tráfico y distribución reales. En Raffo (2015b) se expone la solución de este modelo en el contexto de estructuras de redes regulares. Este tipo de solución es interesante, ya que puede hallarse de manera relativamente sencilla, calculando los equilibrios simétricos de Nash de los mercados ilegales en un contexto con interacción estratégica. Además, en este tipo de estructuras es fácil detectar el impacto agregado que tienen algunos parámetros claves de la red como su densidad media y su grado medio. No obstante, se trata de casos idealizados que no permiten identificar la influencia de la estructura de las redes sobre el comportamiento particular de los individuos en distintas posiciones de la red. En este artículo se extiende el trabajo realizado por Raffo (2015b) para incorporar el análisis de redes con otro tipo de estructuras más realistas: redes irregulares, como estructuras tipo estrella y estructuras de grupo central5.
Algunos trabajos recientes (Calvó-Armengol y Zenou, 2004; Ballester, Calvó-Armengol y Zenou, 2006, 2009; Raffo y Segura, 2015; Raffo, 2015a, 2015b) han introducido el análisis de las redes criminales para entender el desarrollo y reproducción de las actividades delictivas, pero de ellos solo los trabajos de Raffo y Segura (2015) y Raffo (2015a, 2015b) se han enfocado en el análisis de los mercados de drogas ilegales. No obstante, hasta ahora ningún trabajo ha examinado en detalle la incidencia que tiene el funcionamiento de diversos tipos de estructuras de redes criminales sobre el funcionamiento de esta clase de actividades ilegales, de modo que existe un vacío analítico en la materia que lleva a preguntarse, ¿cómo influyen en la efectividad de las políticas de represión a la oferta las características estructurales de las redes ilícitas y los mercados ilícitos? Esta pregunta constituye un problema de investigación que hasta ahora no ha sido resuelta satisfactoriamente en el campo de la economía del crimen y, en particular, en el de la teoría económica de los bienes ilegales. Su planteamiento exige responder otras preguntas específicas: ¿cómo incide la estructura de los mercados ilícitos y de las redes de tráfico de drogas ilícitas en el funcionamiento de toda la cadena productiva de estupefacientes? ¿Cómo inciden en los niveles de ventas y precios de equilibrio de los estupefacientes los cambios en la densidad y tamaño de las redes en el contexto de algunas estructuras de redes irregulares pero estilizadas como la estrella y las redes de grupo central? ¿Cómo dependen los niveles de ventas de drogas de un traficante de su posición en la red?, y ¿cómo se afecta el precio de mercado de los estupefacientes por cambios en la densidad de las redes y en su tamaño (relacionado con la estructura horizontal de la industria)?
Para responder estas preguntas se requiere la solución del modelo de Raffo (2015b) bajo estructuras de redes irregulares. No se ha resuelto hasta la fecha ningún modelo formal con las potencialidades analíticas mencionadas. En ese sentido este trabajo hace una contribución en el campo de la economía del crimen y, en particular, en el de la teoría económica de los bienes ilegales. El análisis parte de una hipótesis que se ha defendido en trabajos recientes en la materia: el tipo de estructuras de mercado prevalecientes está íntimamente ligado al de las redes sociales que las soportan (Raffo, 2015a, 2015b).
De esta forma, el objetivo principal de este trabajo es exponer una explicación alternativa de la ineficacia de las políticas de represión a la oferta de dogas en el largo plazo centrada en el funcionamiento de las redes de tráfico de drogas y las ganancias esperadas crecientes de los narcotraficantes. Para lograr este propósito se plantean varios objetivos específicos: 1) Determinar cómo incide la estructura de las redes de tráfico de drogas ilícitas en el funcionamiento de la fase final de la cadena productiva de los estupefacientes. 2) Resolver el modelo desarrollado en Raffo (2015b) bajo diferentes estructuras de mercado y estructuras de red irregulares como la estrella y redes de grupo central. 3) Determinar cómo inciden las diferencias en los niveles de centralidad y de jerarquía de los traficantes en sus niveles de ventas individuales. 4) Entender la incidencia que tienen los cambios en la estructura y el tamaño de las redes de tráfico de drogas ilegales -que está ligado a la estructura horizontal de los mercados ilícitos- sobre el precio de mercado de los estupefacientes.
Esta investigación es de naturaleza inminentemente teórica, pero proporciona las bases para analizar redes de tráfico de drogas específicas en el futuro. No obstante, las simulaciones realizadas dan luces sobre el impacto de las estructuras de redes típicas del narcotráfico. De hecho, los modelos teóricos existentes y resueltos para redes irregulares podrían calibrarse para mercados de drogas y redes de tráfico de drogas concretas en Colombia. Por ello, pueden ser útiles para la Dirección de Antinarcóticos de la Policía Nacional en el diseño de políticas de seguimiento y persecución de redes concretas de microtráfico de drogas. Así, el análisis es útil para entender las dinámicas actuales de microtráfico de drogas que se desenvuelven en las urbes de países como Colombia, las cuales han engendrado expresiones dramáticas de la violencia, el crimen y la ilegalidad como las llamadas "ollas".
Hoy en día la Policía Nacional, la UNOCD y la DEA reconocen que las antiguas estructuras de las organizaciones criminales y/o terroristas dieron paso al funcionamiento de diversas estructuras de redes criminales, en la mayor parte de los casos transnacionales (Linares, 2008). Esto muestra la urgente necesidad de estudiar las redes criminales y, en particular, las de tráfico de drogas ilegales en diversos contextos. Esta investigación permite avanzar en esta urgente tarea resolviendo un modelo formal que permite estudiar dichas redes en casos concretos, así como analizar el impacto de la actividad delictiva de sus miembros sobre las ventas de drogas ilegales y sus precios de mercado.
El análisis permite inferir que en el contexto de las redes de tráfico y distribución de drogas (en adelante RTD según sus iniciales) reales, la intensificación de las políticas de represión a las drogas y, en concreto, de interdicción, pueden resultar contraproducentes a nivel agregado en el mediano o largo plazo, por cuanto no logran inducir bajas en las ganancias esperadas agregadas de las actividades ilegales. Esto, como se verá, se explica por el impacto heterogéneo que tiene la represión sobre las ganancias esperadas de los traficantes, que genera los incentivos económicos para la reproducción de las actividades ilegales en el tiempo.
El artículo se organiza de la siguiente manera. En la primera sección se explica la importancia de incorporar las redes de tráfico y distribución de drogas en el análisis. En la segunda se expone el marco teórico y la revisión de la literatura relevante. En la tercera se expone el modelo. En la cuarta se presenta su solución analítica en el caso sencillo de redes tipo estrella. En la quinta se presentan los resultados de las simulaciones del modelo bajo estructuras de redes de grupo central. Por último, se plantean algunas conclusiones.
Marco teórico y literatura relevante
Marco teórico
El marco teórico de este trabajo es la economía del crimen, Becker (1968) y Ehrlich (1973) son los trabajos pioneros canónicos en el campo, y más exactamente el estudio de los mercados ilegales, campo que Becker, Murphy y Grossman (2006) llamaron contundentemente la teoría económica de los bienes ilegales.
La literatura en que se inspira este trabajo se centra en los trabajos de Calvó-Armengol y Zenou (2004); Ballester, Calvó-Armengol y Zenou (2006, 2009), los cuales muestran que el nivel de la actividad criminal de un delincuente es directamente proporcional a su nivel de centralidad en la red delincuencial en que se desenvuelve. También prueban que, a nivel agregado, redes más grandes (con más nodos) y/o más densas, dan lugar a un mayor nivel agregado de actividad criminal (Calvó-Armengol y Zenou, 2004; Ballester et al., 2006, 2009). Pero esto lo hacen en el contexto general de actividades criminales de diversa índole, sin incorporar ninguna estructura de mercado concreta en sus modelos. En este artículo se pretende poner a prueba sus resultados en el contexto específico de las actividades de tráfico y distribución de drogas.
La literatura relevante incluye dos conjuntos de trabajos distintos. En primer lugar, trabajos en su mayoría empíricos, que han analizado le efectividad de la lucha contra las drogas. En segundo lugar, trabajos que reconocen la importancia de las redes criminales en el estudio de los mercados ilegales o el narcotráfico, o que aplican la teoría de redes sociales para analizar las actividades ilegales.
Literatura sobre los resultados de la guerra contra las drogas
Durante las dos últimas décadas se han desarrollado diversos trabajos: Moreno-Sánchez, Kraybill y Thompson (2003), Arce y Reales (2006), Mejía y Restrepo (2008), Thoumi (2009), Rozo (2012), Botero (2013), Abadie, Acevedo, Kugler y Vargas (2013), Gallego y Rico (2014), Mejía (2015), Raffo, Castro y Díaz (2016), entre otros, que analizan la efectividad de la lucha contra las drogas en la Región Andina, en el contexto de las políticas de represión a la oferta y del Plan Colombia.
Arce y Reales (2006) aducen que las políticas de los gobiernos de los países productores de drogas ilícitas generalmente no logran eliminar las actividades de producción y tráfico en los mercados ilegales, sino que por el contrario y de forma paradójica, inducen a los agentes ilegales a diseñar estrategias encaminadas a relocalizar los cultivos ilegales, los laboratorios y centros de acopio de los estupefacientes, a reducir y descentralizar la producción, e incrementar la violencia o el amedrentamiento de las instituciones.
Sin embargo, Rozo (2012) muestra que existen efectos positivos de la erradicación forzada de cultivos de coca sobre la manufactura potencial de cocaína y el descenso de la productividad de los cultivos. Abadie et al. (2013) sugieren que las campañas de erradicación conducen a los cultivos ilícitos hacia regiones alejadas y a la expansión de la frontera agrícola, en donde se tiende a desarrollar producción de menor escala.
Daniel Mejía y Pascual Restrepo (2008) han hecho interesantes análisis sobre el narcotráfico y la eficacia de la guerra contra las drogas con base en la economía del crimen y el análisis económico de los mercados ilegales. En el contexto de las primeras etapas de Plan Colombia (2000-2007), Mejía y Restrepo (2008) concluyen que las políticas antidrogas en Colombia en el contexto de la primera etapa del Plan Colombia fueron poco eficaces y costosas. Concluyen que mientras EE.UU. -según sus propios intereses- debería financiar únicamente los esfuerzos de interdicción del gobierno colombiano, Colombia, por su parte, preferiría que EE.UU. orientara toda la asistencia militar del Plan Colombia a la erradicación de los cultivos ilícitos y el control territorial (Mejía y Restrepo, 2008).
Botero (2013) examina algunas consecuencias negativas del Plan Colombia y la política antidrogas durante la década pasada. Este autor muestra que el endurecimiento de la política antidrogas en Colombia jalonó un ascenso en la tasa de homicidios y el desplazamiento forzado para el periodo de 1999 a 2010.
Otra forma de examinar el impacto de las políticas de represión es analizar su efecto sobre los precios de los estupefacientes, de sus derivados o de los insumos requeridos para producirlos. Gallego y Rico (2014) analizan empíricamente el efecto de la aspersión aérea y la erradicación manual de los cultivos ilegales sobre el precio de la coca en sus diferentes etapas de producción. Para ello, estiman un modelo con datos de panel para Colombia durante el periodo 2005-2011, utilizando estimadores de efectos fijos y variables instrumentales. Los autores encuentran que el precio es relativamente inelástico a las acciones de erradicación. ¿Qué explica este resultado? Gallego y Rico (2014) consideran que en buena medida este resultado se explica por el carácter monopsónico de los cultivos ilegales. En sus propias palabras:
This price inelasticity of the leaf, coca paste and base would be the result of monopsony power enjoyed by illegal armed groups and the main posters. Territorial control and enforcement capacity of these organizations enables them to set the prices of these products, so that the potential negative impact that may have eradication campaigns must be absorbed by the small farmers. (p. 23)
Los autores sugieren como recomendación de política, que sería conveniente suspender tanto la aspersión aérea como la erradicación manual de los cultivos, y poner mayores esfuerzos en otras acciones como la interdicción de las embarcaciones. Y, adicionalmente, dado que la inflexibilidad de los precios es una consecuencia del poder de mercado y el control territorial de los grupos armados ilegales, las acciones gubernamentales deberían ir de la mano de esfuerzos por recuperar el territorio y reducir la capacidad coercitiva de los grupos al margen de la ley.
En un artículo reciente Raffo, Castro y Díaz (2016) ponen a prueba empíricamente la presencia de efectos globo6 en los cultivos de coca en el territorio geográfico correspondiente a los principales países productores de cocaína en la Región Andina (Colombia, Perú y Bolivia) durante el periodo 1990-2009. Esto lo hacen estimando un modelo de regresiones aparentemente no relacionadas (SUR) que permite explicar el comportamiento de los cultivos con coca en función de un conjunto de determinantes. Los autores concluyen que hay evidencia empírica a favor de la presencia de efectos globo en la Región Andina a lo largo del periodo estudiado, lo que explica en parte por qué las políticas de represión a la oferta de drogas implementadas en el contexto del Plan Colombia no dieron los resultados esperados a pesar de los enormes esfuerzos realizados en materia de erradicación de los cultivos e interdicción de los estupefacientes en el territorio colombiano.
Aparte del trabajo de Moreno-Sánchez, Kraybill y Thompson (2003) ningún otro trabajo había realizado análisis estadísticos para poner a prueba la existencia de efecto globos. Estos últimos lo hicieron para el caso de los cultivos de coca en Colombia durante el periodo 19872001, previo al Plan Colombia. En el contexto de un modelo de mínimos cuadrados ordinarios (MCO), los autores encuentran que la elasticidad de las hectáreas cultivadas con coca en Colombia con respecto a las de Perú y Bolivia es cercana a uno, de modo que un cambio de un 1% en las hectáreas cultivadas con coca en Perú y Bolivia disminuye en un porcentaje cercano al 1% las hectáreas cultivadas con coca en Colombia. Esto también proporciona evidencia a favor de la presencia de efectos globo en la región.
Cabe agregar que, en el caso de Colombia, aunque los cultivos bajaron según los datos de UNOCD durante el periodo 2000-2009, también hay evidencia del cumplimiento del efecto globo dentro del país: se presentaron procesos de relocalización geográfica de los cultivos de unas regiones del país a otras como resultado de las políticas de erradicación aplicadas (Thoumi, 2009). Esto llevó a una expansión de los cultivos a una mayor cantidad de departamentos del país, a pesar de la disminución en el número de hectáreas registradas con coca. En palabras de Thoumi:
Cuando bajo el Plan Colombia, que comenzó en 1999, se inició un método intensivo de erradicación, había plantaciones de coca en 12 departamentos. En 2003 se habían extendido a 23 de los 32 departamentos (UNOCD 2004, p.15). De manera simultánea, el tamaño promedio de las plantaciones ilegales descendió debido a que los campesinos buscaban evitar la fumigación aérea. (Thoumi, 2009, p. 85)
En un trabajo posterior, Mejía (2015) concluye que Colombia debería parar las campañas de erradicación aérea y concentrar sus esfuerzos en las etapas de la producción y al tráfico en donde los grupos de crimen organizado obtienen las mayores ganancias. Advierte que:
Evidencia abrumadora indica que las campañas de aspersión aérea tienen muy poco o ningún efecto sobre la reducción de los cultivos de coca, pero en cambio han producido altos costos directos e impactos negativos secundarios sobre la salud humana, el entorno y el capital político del estado. En cambio, es la interdicción de cocaína y de la infraestructura para el procesamiento de la cocaína lo que en su conjunto parece haber tenido efectos significativos sobre la producción y el tráfico de cocaína y aun sobre los cultivos de coca. (Mejía, 2015, p.14)7
No obstante, el vertiginoso repunte de los cultivos durante los últimos años, revela que ni las políticas de represión aplicadas en Colombia durante los últimos años, centradas en mayor medida en los procesos de interdicción; como el propio Mejía (2015) lo reconoce, ni las políticas de seguridad en las grandes ciudades del país han logrado frenar el microtráfico de drogas, ni tampoco desarticular las redes criminales que lo soportan.
El modelo propuesto -como se verá- revela uno de los mecanismos que permiten entender por qué las políticas de interdicción también pueden ser ineficaces, el cual está ligado a las características de las redes criminales y, en particular, a la influencia de las RTD. De ahí la importancia de incorporarlas en el análisis.
La Literatura sobre redes criminales y su importancia
Escasos trabajos mencionan la importancia del análisis de las redes de contactos en que se desenvuelven en las actividades de tráfico y distribución de drogas (Mejía y Restrepo, 2008; Costa y De Grauwe, 2008). Los primeros señalan que "las actividades de tráfico de drogas requieren redes verticalmente integradas que operan no solamente en Colombia, sino también a lo largo de rutas hacia los países consumidores de drogas en Norteamérica y Europa" (Mejía y Restrepo, 2008, p. 33)8. No obstante, solo mencionan esto al calibrar el modelo, pero no analizan sus implicaciones analíticas en el contexto del modelo propuesto.
Costa y De Grauwe (2008), en cambio, sí reconocen la importancia de las redes criminales en el análisis de los mercados ilegales. Plantean que los mercados de drogas al detal se caracterizan por la existencia de competencia monopolística en presencia de muchos oferentes de drogas, cada uno de los cuales tiene un poder de mercado limitado. Aducen que la presencia de competencia monopolística está ligada a la existencia de información asimétrica entre compradores y vendedores, lo cual configura una falla de mercado: la calidad de las drogas tiende a ser baja. Lo interesante es que según los autores la falla puede ser parcialmente superada cuando los compradores y los vendedores establecen una relación basada en la confianza, la cual puede ser alcanzada por transacciones repetidas entre ellos mismos. Una vez alcanzada la confianza, el mercado puede imponer un premio de calidad (quality premium). Así que el carácter ilegal de estos mercados lleva a que la falla de mercado sea superada por la activación y consolidación de redes de contactos personales, en donde la confianza en la reputación del vendedor es crucial.
Pero son también pocos los trabajos que han abordado de forma innovadora la temática de las redes de tráfico de drogas, utilizando la teoría de las redes sociales en el contexto del análisis empírico de redes concretas de narcotráfico (Garay y Salcedo-Albarán 2012; Salazar y Restrepo, 2011). Los últimos estudian la evolución de la red de tráfico correspondiente al Cartel del Norte del Valle. Por su parte, Garay y Salcedo-Albarán (2012) analizan las características y procesos clave de una red transnacional colombo-mexicana conformada por colombianos pertenecientes al Cartel del Norte del Valle y por mexicanos de los Carteles de Juárez y del Cartel de Sinaloa. Sin embargo, ninguno de estos trabajos propone un modelo analítico formal para estudiar los mercados de drogas ilegales.
Raffo (2015a) hace un primer intento para incorporar la incidencia de las redes de tráfico de drogas, exponiendo un modelo formal del mercado de drogas ilícitas que se basa en el trabajo de Poret y Téjédo (2006). En este trabajo se analiza la influencia de las redes de tráfico de drogas. Sin embargo, este modelo únicamente se resuelve para redes regulares, debido a la imposibilidad de encontrar una solución analítica para redes irregulares por la complejidad del modelo. En otro trabajo (Raffo, 2015b), el mismo autor expone un segundo modelo analítico bajo una hipótesis de partida diferente sobre la probabilidad de detección y arresto (en adelante PDA) de los traficantes. En este artículo también se resolvió el modelo para redes regulares, pero tampoco para redes irregulares. En la tercera sección se expone el modelo de Raffo (2015b), el cual se resuelve en este artículo para redes irregulares.
La importancia analítica de las redes de tráfico de drogas
El punto clave es que el funcionamiento de las actividades ilegales del narcotráfico depende del funcionamiento de una serie de redes de contactos sociales que constituyen la base social para su funcionamiento. Debido a la ilegalidad de estas organizaciones, generalmente se trata de vínculos fuertes (Granovetter, 1973) de amistad o parentesco, los cuales constituyen el soporte para la generación de la confianza suficiente que se requiere para el funcionamiento de estas organizaciones ilegales al margen de la ley. Las RTD constituyen una clase particular de estas redes. No obstante, en las actividades criminales ligadas al narcotráfico también funcionan otras clases de redes: por ejemplo, las redes de defensa, las cuales se encargan de proporcionar seguridad y mecanismos de coerción para garantizar la apropiación y defensa por la fuerza de las propiedades y recursos requeridos para el desarrollo de las organizaciones, así como para evadir las acciones de las autoridades de control. No obstante, esta clase de redes no se analiza en este artículo por las limitaciones de espacio9.
Las redes irregulares, como estructuras tipo estrella y estructuras de grupo central son importantes en el análisis de las redes criminales y, en particular, de las redes de narcotráfico. Según la tipología de grupos criminales de UNOCD (2002), las estructuras de las redes de narcotráfico pueden concebirse como organizaciones criminales de "jerarquía agrupada" (clustered hierarchy) o de organizaciones de "grupo central" (core group). Las organizaciones criminales de "jerarquía agrupada" dependen de la asociación de varias organizaciones criminales, con un ente coordinador de carácter central. Cada una de las organizaciones constituyentes tienen por su parte estructuras de "jerarquía estandarizada". Este último tipo de organización alude a estructuras con un solo líder y jerarquías rigurosamente definidas y estables. Las organizaciones criminales de "grupo central", se componen por un grupo cerrado y estructurado de individuos que organizan las actividades criminales, y por un número grande de asociados que trabaja para la organización bajo el mando de los agentes centrales (UNOCD, 2002; Observatorio del Programa Presidencial de Derechos Humanos y DIH de la Vicepresidencia de la República, 2006).
Por lo tanto, en este trabajo, se hace un primer intento por modelar y simular este tipo de estructuras en red. Las redes tipo estrella se aproximan a las redes de "jerarquía estandarizada" o jerárquicas que caracterizaban las estructuras de las redes de narcotráfico en el llamado periodo "clásico" del narcotráfico en que operaban grandes organizaciones como el Cartel de Medellín o el Cartel de Cali (Observatorio del Programa Presidencial de Derechos Humanos y DIH de la Vicepresidencia de la República, 2006; Duncan, 2005; Tickner, García y Arreaza, 2011). Entre tanto las redes grupo central se aproximan a las redes de narcotráfico que emergieron luego de la desaparición de los grandes carteles, y constituyen una primera aproximación analítica al estudio de redes más complejas de jerarquía agrupada. En efecto al desarticularse los grandes carteles, emergieron organizaciones de "grupo central", pero con estructuras menos visibles y más atomizadas (Observatorio del Programa Presidencial de Derechos Humanos y DIH de la Vicepresidencia de la República, 2006; Duncan, 2005).
El modelo
El modelo se basa en el trabajo de Poret y Téjédo (2006) pero incorpora al análisis la incidencia de las redes de tráfico y distribución. Al igual que en los modelos de Poret y Téjédo (2006) y Raffo (2015b) en este modelo se parte de que el comportamiento de los mercados de ventas finales de drogas ilegales puede concebirse como una estructura de mercado oligopólica con fuertes barreras de entrada. En este caso el modelo es útil para entender el funcionamiento de los mercados de drogas a nivel doméstico y, en particular, en el contexto del microtráfico de drogas en Colombia y las redes de tráfico y distribución a nivel urbano10.
Supuestos del modelo11
El punto de partida es que en el mercado de estupefacientes interactúan tres tipos de agentes: n ≥ 1 traficantes o distribuidores de drogas, las autoridades de control y los consumidores de drogas. Se supone que vender una unidad de drogas es equivalente a realizar una transacción ilegal.
Los traficantes están conectados entre sí a través de una red de tráfico y distribución (RTD), denotada por g. En este contexto, si el traficante i tiene un vínculo social con otro traficante j, se tiene que gg, = 1 en otro caso gg, = 0. g representa un grafo no dirigido, de manera que
. Adicionalmente, se supone por convención que
.
Es importante entonces tener en cuenta que los traficantes no constituyen vendedores atomizados, sino que se encuentran conectados entre sí a través de lazos de lealtad y de confianza, en algunos casos vínculos fuertes de parentesco o amistad que garantizan el sostenimiento de relaciones laborales informales al margen de contratos legales y formales, y en la clandestinidad.
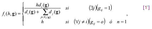
Siguiendo a Poret y Téjédo (2006) se parte de que las autoridades de control utilizan dos instrumentos diferentes para ejercer represión contra la oferta de drogas: Por una parte, sus esfuerzos para detectar y arrestar a los traficantes. En segundo lugar, una multa que tienen que pagar los vendedores de estupefacientes cuando son arrestados y sentenciados por su delito. El primer instrumento es captado por la PDA que enfrenta cada traficante, hi tal como se define a continuación:
en donde ci(g) corresponde a la centralidad de grado del agente i en la red g12.
Esta hipótesis se fundamenta en el campo de la criminología: trabajos en ese campo han revelado que la PDA de un delincuente suele estar correlacionada positivamente con su nivel de centralidad en las redes criminales en que se desenvuelve (Calderoni, 2011; Baker y Faulkner, 1993; Morselli, 2009, 2010).
Es importante observar que las probabilidades de detección y arresto de los agentes no son independientes entre sí, puesto que el segundo término de la expresión en el denominador de la ecuación (1) implica que la probabilidad de un agente también depende de los vínculos de los agentes con los que están conectado, que a su vez determinan las probabilidades de detección y arresto de estos últimos. Por ende, en general la red implica que las probabilidades de detección y arresto se correlacionan entre sí. Naturalmente en el caso particular de las redes tipo estrella o de grupo central -como se verá- esta correlación es fija y está predeterminada según el tipo de agente: en el caso de la estrella depende de si se trata de la "estrella" o "el resto", mientras en el caso de las redes de grupo central depende de si se trata de los traficantes que pertenecen al core o a la periferia de la red. Con estas estructuras de red se marca claramente una heterogeneidad fuerte entre las PDA de cada tipo de agente.
Siguiendo a Calderoni (2011) y por parsimonia, se supone que la medida de centralidad relevante en el modelo es la centralidad de grado, de modo que
en donde
es el grado del traficante i en g y n es el número de traficantes en ella. Aquí se d
¡
y n en principio son variables discretas en
; Sin embargo, más adelante se trata a d¡ como una variable continua para facilitar las pruebas de algunos de los resultados del modelo bajo estructuras de redes de tipo estrella.
Sea
la vecindad de i en g . Con esto, simplificando, la PDA de i se puede definir así:
El parámetro h capta la probabilidad de detección de una sola transacción ilegal, por ende, está acotado entre cero y uno.
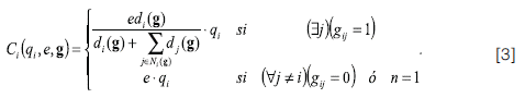
La multa que pagan los traficantes capturados es una función lineal de la cantidad de drogas vendida por los traficantes (Burrus, 1999; Poret, 2002, 2006). Ésta viene dada por:
en donde s es un parámetro positivo.
A partir de los parámetros s y h se puede definir la sanción unitaria (por transacción) esperada para un monopolio (n = 1) o para un agente aislado, como e = hs>0; éste parámetro mide la intensidad de la represión que ejercen las autoridades de control. Conjugando estos dos instrumentos de control, se definen los costos esperados derivados de la represión que enfrenta un vendedor i:
Esta es una función lineal en q ¡ . Por parsimonia, se asume que los traficantes no enfrentan ningún otro costo asociado a sus ventas ilegales.
Por último, la función inversa de demanda de drogas se supone lineal:
en donde a y b son parámetros positivos que se suponen constantes a lo largo de todo el análisis, y
. es la cantidad total de drogas vendida en el mercado.
Solución general del modelo
El problema que enfrenta cada vendedor ilegal es
en donde
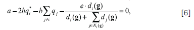
denota el vector de cantidades de drogas vendidas por los demás traficantes en el mercado. Su condición de primer orden es:
Puede observarse que para cada i se cumple la condición de segundo orden para un máximo, ya que
Despejando qi
* de (6) se halla la función de reacción de las ventas de i en función de las cantidades vendidas por el resto de agentes:
La solución del modelo corresponde a la de un modelo lineal a la Cournot con RTD. Juntando las condiciones de primer orden de todos los traficantes se obtiene un sistema de n ecuaciones lineales simultáneas que tiene una única solución debido a la concavidad estricta de las funciones de ganancias de todos los traficantes. Este sistema puede expresarse así:
Aquí
es el vector de cantidades de drogas de equilibrio de Nash vendidas por cada agente, así que (q*)T es el mismo vector transpuesto; A
nxn
es una matriz con el número dos en la diagonal principal y unos por fuera de ella; gi es el vector fila i-ésimo de la matriz de adyacencia G correspondiente a la red
es el vector de grados de cada uno de los traficantes. Cada término
representa la PDA de i=1,..,n.; finalmente 1nx1 representa un vector de unos. Despejando (q*)T se obtienen los niveles de ventas de drogas de equilibrio de Nash:
Aquí F1x1 representa el vector de PDAs para cada traficante. Esta ecuación implica que la solución de equilibrio de Nash depende de los parámetros de la red g, expresados por el número de nodos (n) y el vector d, y también del parámetro de política de represión drogas, e.
Solución para redes tipo estrella
Una red tipo estrella constituye una primera aproximación estilizada para entender el comportamiento de una red jerárquica o de jerarquía estandarizada, en donde un único agente tiene un papel central en la organización. En este caso se supone que un traficante ocupa una posición central en la RTD, de modo que está conectado con todos los demás traficantes en la red: este sería el traficante con mayor centralidad en este tipo de red, y se denomina el traficante "Estrella", y se denota con el subíndice 1. El resto de agentes ilegales J = 2,...,n. se encuentra conectado únicamente con "la Estrella". Para que pueda tenerse una estructura con estas características debe tenerse que n ≥ 3. El gráfico 1 ilustra este tipo de red para un caso con un total de 12 agentes.
Este tipo de estructuras resulta más realista que las redes regulares, pues generalmente en las redes criminales reales algunos agentes ocupan lugares más centrales, debido a que ocupan posiciones de mayores niveles de jerarquía o simplemente porque tienen más vínculos. No obstante, como aclaran diversos autores desde una perspectiva criminológica, tener un número alto de contactos directos y, por ende, una alta centralidad de grado, no necesariamente implica para un delincuente tener una mayor jerarquía en la organización, sino que lo hace más visible ante las autoridades de control (Baker y Faulkner, 1993; Morselli, 2010; Calderoni, 2011). Altos niveles en la centralidad de intermediación, en cambio, sí tienden a captar de forma más precisa qué tan estratégicamente ubicado se encuentra un delincuente en su red criminal, de manera que los capos o agentes de mayor jerarquía en las organizaciones criminales, tienden a tener mayores niveles de centralidad de intermediación (Baker y Faulkner, 1993; Morselli, 2010)13 y no necesariamente de centralidad de grado.
Como el jugador estrella está conectado con los demás agentes, su centralidad de grado en g es
de modo que su PDA es
. Entre tanto la PDA del resto de agentes corresponde a
, ya que tienen una centralidad de grado de
Así el problema que enfrenta 1 corresponde a:
La condición de primer orden permite obtener la función de reacción de "la Estrella" en función de las ventas drogas de los demás traficantes.
El problema que resuelve el resto de agentes es:
La correspondiente condición de primer orden permite obtener la función de reacción de cada uno de los agentes de "la periferia" de la red en función de las ventas drogas de "la Estrella" y del resto de "agentes de la periferia":
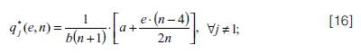
El equilibrio asimétrico de Nash del juego arroja los siguientes resultados:
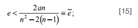
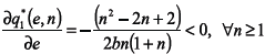
una expresión que es positiva sí y solo si
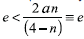
puede interpretarse como un umbral del parámetro de intensidad de la represión, e, por encima del cual al agente 1 no tiene incentivos para vender drogas. Dado el alto costo de la represión a las drogas, tiene sentido suponer que
(Poret y Téjédo, 2006).
Por otro lado, la cantidad de drogas que venden los demás traficantes de la red en equilibrio es:
expresión que arroja valores positivos
. En el caso particular en que n=3 debe cumplirse que
Con (13) y (15), teniendo en cuenta que
se pueden calcular las ventas agregadas de drogas de equilibrio:
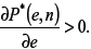
expresión que arroja valores positivos sí y solo si
también puede interpretarse como un umbral del parámetro de intensidad de la represión, e, por encima del cual no existirían ventas de estupefacientes. De nuevo, siguiendo a Poret y Téjédo (2006), por el alto costo de la represión a las drogas, tiene sentido suponer que
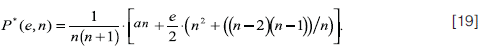
. (Poret y Téjédo, 2006). Ahora, de (17) en (4) se halla el precio de equilibrio de los alucinógenos:
El cumplimiento de (18) garantiza que el precio de las drogas es positivo en equilibrio. Reemplazando
y
en la función de ganancias de "la Estrella" se pueden calcular las ganancias de equilibrio para este agente:
las cuales pueden expresarse de forma sintética como
Se trata de una expresión positiva como era de esperarse. De manera análoga, con
y
pueden calcularse las ganancias esperadas de equilibrio de cada uno de los demás traficantes:
Éstas también pueden expresarse como
Por último, pueden calcularse las ganancias esperadas agregadas, que corresponden a
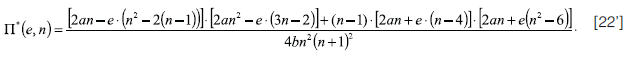
que tras un poco de algebra queda como
Algunos Resultados Relevantes
La solución del modelo permite obtener varios resultados interesantes. En primer lugar, con respecto a las ventas agregadas de drogas, al igual que en el modelo con redes regulares (Raffo, 2015b) se cumple la proposición 1 de Poret y Téjédo (2006): mientras las ventas agregadas de drogas se incrementan el crecer el número de traficantes (n) ceteris paribus, éstas descienden al incrementarse el parámetro de intensidad de la represión (e). La proposición 1 establece esto formalmente. Para las pruebas de esta proposición y las siguientes se trata a n como una variable continua para facilitar los cálculos, dada la complejidad de las expresiones que definen los niveles de equilibrio de las variables endógenas.
Proposición 1: si g corresponde a una estrella y
, se cumple que:
i) Dado el valor de n, un incremento (descenso) en la intensidad de la represión (e) causa una disminución (un incremento) en las ventas agregadas de drogas.
ii) Dado el valor de e, las ventas agregadas de drogas crecen (bajan) al incrementarse (disminuir) n.
Prueba:
Como
, esta expresión es positiva.
La primera parte de la proposición se explica por el efecto positivo que tiene una intensificación de la represión sobre los costos marginales y totales de la represión, lo que induce a contraer las ventas agregadas de drogas. El gráfico 2 muestra que las ventas de drogas decrecen linealmente con e. Esto se hace para una red tipo estrella simulada con a = b = 1, n=120, y un e variando entre 0.005 y 0.06.
La segunda parte de la proposición 1 se explica por qué la entrada de más traficantes al mercado, genera una mayor competencia (Poret y Téjefo, 2006; Raffo, 2015). Es importante observar que este resultado se cumple a pesar de que, al crecer n, disminuyen las ventas individuales del agente 1 ("la Estrella") y también del resto de agentes. La siguiente proposición formaliza estos hallazgos.
Proposición 2: si g corresponde a una estrella y
, se cumple que:
i) Dado el valor de e, las ventas individuales del agente 1 descienden (se incrementan) al incrementarse (disminuir) n.
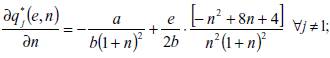
ii) Dado el valor de e, las ventas individuales de los demás agentes descienden (se incrementan) al incrementarse (disminuir) n para valores relativamente grandes de n o de a.
Prueba:
i) De [14]
como
el término entre corchetes es positivo, esta expresión es negativa.
el término entre corchetes es negativo, luego esta expresión es negativa.
, el término entre corchetes es positivo, luego el signo de la expresión en principio es ambiguo. Sin embargo, aun en este caso la expresión sigue siendo negativa para valores suficientemente grandes de α.
También puede probarse que las ventas de drogas del agente central ("la Estrella") son menores que las cualquiera de los demás agentes. La siguiente proposición establece esto formalmente. Esta diferencia se explica por el hecho de que la Estrella enfrenta una mayor PDA que los demás agentes, debido a que ocupa un lugar "más central" en la red. Es necesario recalcar que mayor centralidad en este caso no necesariamente implica tener un rol de bróker en la organización, debido a qué se utiliza una medida de centralidad de grado y no una medida de centralidad que logre captar el rol estratégico de los agentes al transmitir la información relevante en la red. Por lo tanto, en este caso los agentes más centrales no corresponden a los "capos" detrás de las organizaciones, sino a los traficantes (distribuidores al por menor) más visibles ante la ley, los cuales ocupan rangos intermedios en la organización delictiva, y son los que se exponen más ante las autoridades de control en fase final de la cadena.
Proposición 3: si g corresponde a una estrella,
, se cumple que:
Las ventas de drogas equilibrio del agente central son menores que las del resto de agentes.
Prueba: con [14] y [16] simplificando se tiene que
como
, se tiene que
El gráfico 3 ilustra este hallazgo para una simulación calibrada con una red tipo estrella con α = b = 1, e = 0.05, para un n variando entre 2 y 25 nodos (agentes).
Queda claro que en ambos casos se trata de funciones convexas en n. El mismo resultado obtiene Raffo (2015b) para el modelo con redes regulares.
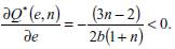
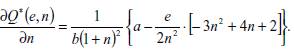
Como resultado de la proposición 1 los precios de equilibrio de los estupefacientes descienden al crecer n ceteris paribus, y crecen cuando se incrementa e ceteris paribus. La siguiente proposición establece esto formalmente:
Proposición 4: si g corresponde a una estrella y
, se cumple que:
i) Dado el valor de n, un incremento (descenso) en la intensidad de la represión (e) causa un incremento (descenso) en el precio de equilibrio de las drogas.
ii) Dado el valor de e, un incremento (un descenso) en n causa una baja (un incremento) en los precios.
Prueba:
i) De la primera parte de la Proposición 1, con [4] se tiene que
ii) De la segunda parte de la Proposición 1, con [4] se tiene que
El gráfico 4 muestra que Q* es una función cóncava creciente en n, al tiempo que P es un función convexa decreciente en la misma variable. Esto se ilustra de nuevo para una simulación calibrada para un red tipo estrella con a = b = 1, e = 0.05, para un n variando entre 2 y 25 nodos (agentes).

Fuente: elaboración propia.
Gráfico 4 Ventas agregadas de drogas y precios de equilibrio en función de n
A pesar de que las ventas agregadas de drogas descienden al intensificarse la represión, es preciso observar que su impacto sobre los dos tipos de agentes, "la Estrella" y el resto es heterogéneo: mientras que las ventas de "la Estrella" descienden las de los agentes de "la periferia" crecen. La proposición 5 formaliza este resultado.
Proposición 5: si g corresponde a una estrella,
, se cumple que:
i) Dado el valor de n, un incremento (descenso) en la intensidad de la represión (e) induce al agente central a vender menos (más) drogas.
ii) Dado el valor de n, un incremento (descenso) en la intensidad de la represión (e) induce a los "agentes de la periferia" a vender más drogas.
Prueba:
ii) De [16]
expresión que es positiva
Este resultado revela que las políticas antidrogas tienden a ser contraproducentes en el caso de los agentes con menos contactos directos y, por ende, menos centrales y visibles frente a las autoridades de control en las redes criminales. Lo que explica este resultado es que, debido a la heterogeneidad de los dos tipos de agentes en la red, una intensificación de la represión afecta negativamente y de forma significativa al traficante central de la red, pero no al resto; los agentes de "la periferia" reaccionan estratégicamente vendiendo más drogas, debido a la sustituibilidad estratégica que existe entre sus ventas y las del agente central, y a su posición menos visible en la red. El gráfico 5 ilustra estos hallazgos en el caso de una red tipo estrella simulada para 120 agentes y un parámetro e variando entre 0.005 y 0.06. No obstante, como ya se mostró, la cantidad total decrece al intensificarse la represión, aunque por la relación convexa que existe entre Q y e, el impacto de mayores niveles de represión sobre las ventas totales es mínimo para nivel es relativamente altos de e (gráfico 4).

Fuente: elaboración propia.
Gráfico 5 Ventas individuales de drogas por tipo de agente en función de e14
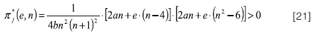
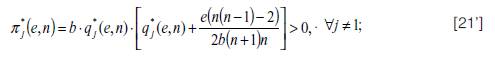
Como resultado de lo anterior, teniendo en cuenta que todos los traficantes enfrentan la misma función inversa de demanda y las mismas funciones de costos, las ganancias esperadas de los traficantes también responden de forma heterogénea ante los cambios en la intensidad de la represión. La proposición 6 formaliza este resultado.
Proposición 6: si g corresponde a una estrella,
se cumple que:
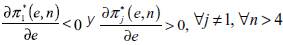
i) Dado el valor de n, las ganancias esperadas de equilibrio del traficante central son una función decreciente del parámetro de intensidad de la represión (e).
ii)
, las ganancias esperadas de equilibrio de los demás traficantes son una función creciente del parámetro intensidad de la represión (e).
Prueba:
i) De [20]
en la proposición 5 se
probó que
así mismo, en la proposición 1 se probó que
Con estos dos resultados queda claro que
Como en la proposición 5 se probó que
y adicionalmente,
,
, se infiere que
El gráfico 6 ilustra estos hallazgos en el caso de una red tipo estrella simulada para 120 agentes y un parámetro e variando entre 0.005 y 0.06. En todas las simulaciones calibradas se encontró que las ganancias esperadas individuales de cada uno de los agentes de "la periferia" son mayores que las del agente central.
Los anteriores resultados revelan que, contrariamente al punto de vista convencional de la política antidrogas y a los resultados obtenidos en algunos modelos con agentes homogéneos (Becker et al., 2006; Poret, y Téjédo, 2006; Raffo, 2015b, entre otros), una intensificación de las políticas de represión puede llevar a que algunos traficantes produzcan o vendan más drogas y a que obtengan ganancias esperadas mayores. Esto se puede constatar cuando se introducen heterogeneidades en el de análisis, en el contexto de modelos que tienen cuenta las estructuras sociales que soportan las actividades criminales. Estos resultados se explican por el efecto que la mayor represión tiene sobre sus ventas de drogas (proposición 5), teniendo en cuenta que para los dos tipos de agentes un incremento en el parámetro de represión, e, incrementa sus costos derivados de la represión, y también jalona alzas en los precios de mercado. Sin embargo, el impacto de los cambios en e es proporcional a su efecto sobre las ventas individuales. Aunque el impacto de una mayor represión sobre los precios de mercados es igual para ambos agentes, su impacto marginal sobre los costos es mayor para el agente central, debido a que su PDA, e/2, es mayor que la enfrentada por el resto de traficantes e/n; esto último también coadyuva a que las ganancias esperadas de los agentes de "la periferia" crezcan al intensificarse la represión, en oposición a lo ocurrido para el agente central.
¿Pero qué sucede a nivel agregado? Aunque las ventas agregadas del mercado bajan al intensificarse la represión (proposición 1), las ganancias esperadas agregadas pueden llegar a incrementarse, si en el contexto de redes criminales con estructuras jerárquicas como la estrella, el número de agentes ilegales es grande. La siguiente proposición formaliza ese resultado.
Proposición 7: si g corresponde a una estrella y
se cumple que:
Dado el valor de n, las ganancias esperadas agregadas de equilibrio se reducen como resultado de una intensificación de la represión cuando n es pequeño, pero se tienden a incrementar cuando n es grande.
Prueba: de [22] se tiene que
En la proposición 6 se probó que
. Así que el balance neto para el conjunto de todo el mercado depende del el tamaño relativo de los dos términos a la derecha de [23]. Por lo tanto para n grande tiende a ser más grande el segundo término a la derecha de [23], por lo que
tiende a ser positivo. Este resultado también se corroboró mediante simulaciones para estructuras de red tipo estrella.■
Este hallazgo es central y revela que cuando se hace un análisis más realista, teniendo en cuenta la presencia de heterogeneidades en los mercados ilegales -derivadas de las conexiones sociales entre los criminales y sus posiciones concretas en las redes-, una intensificación de la represión a las drogas puede resultar contraproducente. Esto se explica, porque al haber mayor represión, descienden las ganancias esperadas del agente central, pero crecen las del resto de agentes. Como las ganancias individuales esperadas del resto de agentes son mayores que las del agente central, el impacto agregado sobre las ganancias esperadas es positivo, en especial cuando el resto de agentes constituye un número alto. El resultado de esto es que, aunque la represión a las drogas a nivel agregado logra contener las ventas agregadas de drogas en el corto plazo, no logra doblegar las ganancias agregadas de los negocios ilegales, fomentando nuevas expansiones de las ventas en el futuro.
Por lo tanto, la represión a las drogas no logra contener los incentivos para la realización de las actividades ilegales, pues incita a que los traficantes menos visibles y con menos conexiones directas vendan más drogas. Como consecuencia, en el mediano plazo cambia la configuración de las redes criminales, dando lugar a un nuevo ciclo de ventas. Aunque esto último, no lo capta el modelo por ser de naturaleza estática, un análisis dinámico debería dar cuenta de los ciclos de ventas que se producen en el mediano plazo como resultado de los cambios -endurecimientos o relajamientos- en las políticas de represión a las drogas.
El gráfico 7 ilustra estos hallazgos en el caso de una red tipo estrella simulada para 120 agentes y un parámetro e variando entre 0.005 y 0.06.
Por último, puede probarse que las ganancias esperadas individuales de los dos tipos de agentes, son funciones convexas decrecientes del número del número total de traficantes en la red. Lo mismo sucede con las ganancias agregadas de la industria. Las pruebas se obvian por las limitaciones de espacio.
Estos resultados coinciden con lo obtenido por Raffo (2015b) para redes regulares, y se explican por la mayor competencia que se genera como resultado de la entrada de más agentes al mercado: con la proposición 2 se probó que las ventas individuales de los dos tipos de agentes también son decrecientes en n. Como consecuencia, sucede lo mismo con las ganancias esperadas de los dos tipos de agentes, ya que aparte de que todos los traficantes venden menos, el precio de mercado también está bajando como resultado de la mayor competencia (ver proposición 4). Al crecer n no se afectan los costos derivados de la represión enfrentados por el agente central, ya que su PDA no depende de esta variable; los de los demás agentes, en cambio, sí disminuyen al crecer n, porque su PDA es e/n; no obstante, esto último no logra compensar los efectos negativos que se producen en las ventas y en el precio de equilibrio al crecer n.
Soluciones numéricas para redes de grupo central
En esta sección se exponen los principales hallazgos obtenidos simulando el modelo para una serie de redes de grupo central. Por las limitaciones de espacio solo se presenta un par de simulaciones obtenidas que consideramos ilustrativas de los principales hallazgos. La solución analítica del modelo para este tipo de redes no se presenta en este artículo por limitaciones de espacio16.
Este tipo de redes posee una estructura constituida por un centro, en donde desarrollan sus actividades delictivas una serie de agentes centrales con una mayor importancia en los procesos de distribución y comercialización de los estupefacientes, y una periferia, compuesta por un conjunto de agentes que trabajan para los primeros. Los agentes centrales al igual que en el caso del agente central en las redes tipo estrella corresponden a los traficantes con un mayor número de contactos de las RTD, mientras los de la periferia representan a distribuidores de menor importancia de las organizaciones. Aunque, como se advirtió antes, los agentes con más conexiones directas, no corresponden a los capos o agentes de mayor jerarquía en las organizaciones ilegales.
Por esta conformación, las redes de grupo central constituyen una aproximación estilizada para entender el comportamiento de las redes de jerarquía agrupada. En adelante se supone que los agentes del core constituyen un clique, de forma que este subgrafo de la red representa una red completa, en donde todos sus nodos están conectados de forma directa entre sí. Esto tiene sentido, pues generalmente los narcotraficantes que dirigen las operaciones de tráfico y distribución tienen vínculos estrechos entre sí (Raffo y Segura, 2015; Raffo, 2015b; Silva, 2004). Los agentes de la periferia no tienen vínculos entre sí: cada uno de ellos posee al menos un vínculo con uno de los agentes del core. El gráfico 8 ilustra la estructura de una red de grupo central.
La solución del modelo bajo este tipo de estructuras de redes permitió obtener los mismos resultados obtenidos para redes de tipo estrella.
Para ver el impacto de los cambios en el número de traficantes, se ilustran los resultados obtenidos para una simulación en donde se mantuvo constante el número de agentes del core (10), al tiempo que el número de agentes de la periferia se fue incrementando progresivamente de 10 en 10, de modo que todos los agentes del centro mantuvieran siempre el mismo número de vínculos. Esto se hizo para mantener estable la configuración de las redes, y de este modo captar el impacto de los cambios en n manteniendo contante su estructura. El número total de agentes pasa de 20 a 90. El gráfico 9 muestra la secuencia de redes simuladas.
El Gráfico 10 ilustra los principales resultados de las simulaciones.

Fuente: elaboración propia.
Gráfico 10 Principales resultados de los cambios en n para redes de grupo central con (n (entre 20 a 90)
Puede corroborarse que los cambios en n producen exactamente los mismos resultados obtenidos en el caso de redes de tipo estrella. El cuadro 1 resume las relaciones obtenidas con respecto a n.
Cuadro 1 Resultados de los cambios en n para redes de grupo central con An (entre 20 a 90)

Fuente: elaboración propia.
Cabe observar que, aunque las ventas individuales tienen una relación inversa con respecto al número de agentes, aquellas de los agentes de la periferia se mantienen por encima de las de los agentes del core en todas las simulaciones que se realizaron, al igual que en el caso de las redes de tipo estrella. Esto parecería un poco contradictorio si se considera que los agentes de la periferia podrían tener una menor jerarquía en la estructura de grupo central. Sin embargo, hay que tener en cuenta que se está desarrollando un modelo a la Cournot donde los dos tipos de agentes interactúan de manera paralela. En un modelo a la Stackelberg, en donde se distingue claramente entre líderes y seguidores, se captarían mejor las implicaciones de las diferencias en las posiciones de los agentes en las redes sobre la estructura de los mercados ilegales. De la misma manera se podría interpretar que si cada agente del core se apropiara de la producción de los agentes de la periferia -lo que puede tener sentido en una red real-, entonces la producción de los agentes del core terminaría siendo mayor.
Para apreciar el impacto de los cambios en parámetro de represión, se ilustran los resultados obtenidos para una simulación con un número fijo de 20 traficantes y un valor de e variando de 0,05 a 0,5. El gráfico 11 ilustra este grafo.
El gráfico 12 ilustra los principales resultados obtenidos.

Fuente: elaboración propia.
Gráfico 12 Principales resultados red de grupo central con n=20, Δe (entre 0,05 y 0,5)
Puede corroborarse que los cambios en e producen en general los mismos resultados obtenidos en el caso de redes de tipo estrella. Esto se da porque hay gran similitud entre ambas; la diferencia estriba en que en las de grupo central hay varios agentes en el centro, mientras que en la estrella solo se encuentra un agente central. La única diferencia importante radica en que las ganancias exhiben primero un tramo convexo decreciente y luego uno convexo creciente. El cuadro 2 resume las relaciones de las variables endógenas con respecto a e.
Cuadro 2 Resultados de los cambios en e para redes de grupo central con n=20, (e (entre 0,05 y 0,5)

Fuente: elaboración propia.
Por último, se muestra aparte en el gráfico 13 la relación hallada entre las ganancias agregadas esperadas y e.

Fuente: elaboración propia.
Gráfico 13 Ganancias esperadas red de grupo central con n=20, (e (entre 0,05 y 0,5)
De esta forma, los principales perjudicados con el aumento de la represión son los agentes más visibles -en este caso los del Core-, pues los lleva a reducir sus ventas y, por ende, sus ganancias esperadas disminuyen. Lo contrario sucede para los agentes de la periferia, quienes son los menos visibles dentro de la red; porque el aumento de la represión los induce a vender más y, como consecuencia, sus ganancias esperadas crecen por la vía de mayores ventas a precios mayores. Esto se explica por el hecho que la efectividad de la represión ocasionará arrestos y detenciones sobre todo en los agentes del Core, y al existir una demanda constante, es de esperar que los agentes que queden activos (en su mayoría agentes de la periferia) suplan esa demanda aumentando sus ventas e ingresos. Esa demanda constante y al mismo tiempo una oferta disminuyendo por la mayor represión, es lo que jalona el aumento en los precios y, por consiguiente, un mayor beneficio esperado para los agentes que aún están activos en la red, o sea quienes se ubican en "la periferia".
Otro aspecto similar a las simulaciones de las redes tipo estrella, es el comportamiento convexo de los beneficios totales frente al aumento de la represión, lo que revela que, aunque la producción total disminuye, pueden existir periodos en que las ganancias esperadas agregadas crecen, y esto ocurre cuando la represión es lo suficientemente alta como para provocar que los precios sean muy elevados y tengan mayor peso que las ventas en los ingresos de los agentes de la red. Es así como una represión relativamente pequeña hace disminuir los beneficios esperados, mientras una relativamente alta provoca su aumento.
Conclusiones
El modelo da nuevas luces para entender por qué la lucha contra las drogas, centrada en las políticas de represión a la oferta ha sido infructuosa: el impacto de la intensificación de las políticas de represión no logra contener los incentivos para la reproducción y el crecimiento de las actividades ilegales, porque paradójicamente las ganancias esperadas agregadas de los agentes ilegales pueden crecer como resultado de su aplicación, especialmente cuando la represión ya ha alcanzado niveles relativamente altos. Este resultado se explica por el impacto heterogéneo que tienen las políticas de represión sobre las ventas individuales de drogas y las ganancias esperadas de los traficantes, dependiendo de las posiciones específicas que ocupan en las redes criminales.
La solución del modelo de Raffo (2015b) bajo estructuras de redes tipo estrella y de grupo central, permitió obtener varios resultados importantes: en primer lugar, se corroboró de nuevo la validez de los resultados fundamentales de Poret y Téjédo (2006), también constatados por Raffo (2015a, 2015b) para redes regulares. Por una parte, un incremento en el número de traficantes en las RTDs, lo que constituye su expansión y, al mismo tiempo, un incremento en la estructura horizontal de la industria, conduce inevitablemente a un incremento en las ventas agregadas de la industria. Por otro lado, las ventas agregadas de drogas, disminuyen al intensificarse la represión a las drogas.
En tercer lugar, como resultado de lo anterior -y como también se prueba en Poret y Téjédo (2006) y Raffo (2015a, 2015b)-, los precios de los estupefacientes bajan al crecer el número de traficantes, y repuntan al intensificarse la represión.
En cuarto lugar, la entrada de un mayor número de traficantes a los mercados, lleva a que las ventas individuales de los traficantes desciendan, a pesar del incremento general de las ventas. Este hallazgo también es consistente con los resultados de trabajos anteriores, y se explica por la mayor competencia generada por la entrada de más traficantes al mercado, y la consecuente transformación de la estructura del mercado hacia otra más competitiva y, al mismo tiempo, soportada por RTD más grandes (con más nodos). Pero, también se probó que las ventas individuales de los agentes centrales en las redes son menores que las de los agentes con menos contactos directos que se desenvuelven en la "periferia" de las redes.
En quinto lugar, a pesar de que las ventas agregadas de drogas bajan al intensificarse la represión, su impacto a nivel micro es heterogéneo: mientras las ventas individuales de los agentes centrales y más visibles ante la ley descienden, las de los agentes menos centrales y "visibles" se incrementan. Este hallazgo es de gran importancia para la política antidrogas y se explica por las reacciones estratégicas asimétricas de los distintos tipos de traficantes ante las acciones de las políticas de control: los agentes con un mayor número de contactos directos enfrentan un incremento en la PDA mucho mayor que para los demás agentes. Y, como la demanda agregada de drogas no se altera, y al tiempo los precios de equilibrio suben como resultado de la mayor represión, los agentes menos visibles tienen ahora incentivos para vender más drogas.
En sexto lugar, y como resultado de lo anterior, al intensificarse la represión a las drogas, las ganancias esperadas de los traficantes más centrales bajan, pero las de los menos visibles crecen, lo que paradójicamente puede llevar a que las ganancias esperadas agregadas de la industria crezcan. En consecuencia, se activa una dinámica constante de reconfiguración de las redes criminales que conlleva a la resiliencia de las organizaciones ilegales como unidades criminales en el largo plazo.
Para entender este resultado es fundamental tener presente que una intensificación de la represión lleva a incrementos en los precios de los estupefacientes en la fase final de la cadena productiva, lo que tiende a inducir bajas en la demanda de drogas. Pero la intensidad de lo último dependerá de la elasticidad precio de la demanda: si la demanda es inelástica -como es de esperarse para esta clase de mercados al menos en el corto plazo-, la disminución de las ventas de drogas por traficante no será lo suficientemente grande como propiciar descensos en las ganancias esperadas del negocio, o incluso, en algunos casos en las ventas agregadas de drogas (Becker et. al, 2006; Ortiz, 2002, 2009; Raffo, 2010).
Por último, aunque esto no se probó por las limitaciones de espacio, se encontró que las ganancias individuales esperadas de los tipos de agentes, así como las ganancias esperadas agregadas de la industria disminuyen al entrar más traficantes al negocio.
Como consecuencia de todo lo anterior, las políticas de represión contienen las semillas de su propio fracaso: la caída de un capo o un "pez gordo", induce bajas en sus ventas de drogas, pero al mismo tiempo revitaliza las ventas y ganancias esperadas de otros agentes inicialmente menos visibles. Consiguientemente, los últimos pueden ascender en la jerarquía de las organizaciones ilegales, y así en el futuro el ciclo se repite. Esta dinámica cíclica que podría analizarse mejor en un modelo dinámico, explica en parte también el desarrollo de ciclos de violencia que se desatan cuando en determinados momentos el orden y la estabilizad de las redes criminales se quebranta como resultado de la caída de un "pez gordo", ya sea como resultado de su captura, o dada de baja por parte de las autoridades de control u otros narcotraficantes rivales. Lo que lleva a una pugna de poderes en las organizaciones ilegales que culmina con la consecución de un nuevo orden, y así en un proceso progresivo de reconfiguración constante en el tiempo de las estructuras criminales, se garantiza la reproducción de las actividades ilegales. Si, además, la demanda agregada de alucinógenos se amplía -como es de esperarse con poblaciones crecientes- las actividades ilegales indefectiblemente terminan expandiéndose.





















































