Introduction
In September 2015, the United Nations General Assembly launched the Sustainable Development Goals (SDGs) for 2030, grounded in that the principle that “no one will be left behind” (United Nations 2015). As part of a broader human development strategy under the 2030 Agenda, the SDGs lay out 17 interconnected goals aimed at eradicating poverty and addressing all forms of inequalities worldwide. This agenda promotes a comprehensive view of development that transcends traditional development metrics, emphasizing the multifaceted nature of poverty and well-being beyond simplistic measures like Gross Domestic Product (GDP). Recognizing that GDP fails to capture the nuances of quality of life (QoL), progress, or poverty, the SDGs adopt a multidimensional perspective, underscoring the need to comprehend the various deprivations and challenges faced by individuals across different contexts and regions.
Traditional global assessments often overlook the specific obstacles individuals encounter when converting resources into meaningful aspects of life, such as education or health. Instead, they rely heavily on indices that measure wealth and resources based on GDP, which often fail to account for contextual variations and different factors influencing people’s ability to utilize resources effectively (Nussbaum 2000). Amartya Sen and Martha Nussbaum developed the capability approach to overcome these limitations by focusing on how people convert resources into capabilities. Personal differences, environmental factors, social climates, and relative consumption patterns all shape this conversion process (Sen 2017). This approach strengthens the concept of human development and aligns with the SDGs’ people-centered strategy by the expansion of individuals’ freedoms to pursue meaningful goals (Fukuda-Parr and Cid-Martinez 2019).
The capability approach integrates well-being dimensions, social indicators, people-focused policies, and social norms evaluation (Robeyns 2017). It shifts focus from market performance to individuals’ lived experiences, prioritizing their freedom to attain valued outcomes (Sen 1999). Its primary goal is to assess individuals’ real opportunities, or capabilities, to achieve valuable “doings and beings” known as functionings (Sen 1985). Well-being depends on individuals’ quality of life and their accomplishments. This study builds on Sen’s capability approach (Sen 1985, 1992, 1999, and 2009 ) to identify and assign weights to poverty and well-being dimensions, while recognizing the challenge of capturing socially and personally significant aspects that enhance QoL.
A major challenge lies in identifying and assigning weights to intrinsically important value-objects (Sen 1992). Sen proposes participatory methods involving public scrutiny, arguing that individuals themselves best understand their lives and opportunities (Sen 2004). This participatory perspective aligns with Nussbaum’s central list of capabilities as a foundational guide (Nussbaum 2000 and 2011 ) and connects with the “constitutional approach” to selecting poverty and well-being dimensions, combining structured frameworks with insights from those experiencing poverty (Burchi, De Muro, and Kollar 2014 and 2018 , Burchi et al. 2021; Alkire 2002; Sen 2004). While assessing poverty within the capabilities framework offers greater accuracy (Sen 2009), measuring capabilities directly remains challenging, often prompting a shift toward assessing functionings. Still, identifying valuable dimensions remains crucial, aligning with the moral imperative to recognize deprivations that prevent people from leading dignified lives (Sen 1999; Robeyns 2017).
Empirical studies support the emphasis on participatory methods and context-specific evaluations. Sen (1992) and Townsend (1979) view poverty as relative deprivation influenced by socio-spatial realities, necessitating evaluations that incorporate individuals’ voices (Alkire 2013; Narayan et al. 2000; Shaffer 2002; Wisor et al. 2016). The SDGs promote participatory processes that foster collective empowerment (Frediani 2019a). A World Bank study (2018) with over 20,000 poor individuals in 23 countries identified ten poverty dimensions reflecting their perspectives (Narayan et al. 2000). Research by Biggeri et al. (2006) and Wisor et al. (2016) validated capability lists and identified gender-specific poverty dimensions, highlighting variability across contexts. Clark’s studies in South Africa (2000 and 2003) and Greco’s work in Malawi (2018) demonstrate the effectiveness of participatory methods, emphasizing the need for contextually relevant, inclusive approaches.
While qualitative methods like focus groups effectively identify poverty dimensions, they often yield unstructured data that is difficult to analyze and scale consistently. To overcome this challenge, this study applies Natural Language Processing (NLP) techniques-specifically Topic Modeling-to automatically extract relevant insights from interview transcripts. This approach enhances the hybrid perspective by integrating unstructured qualitative data with machine learning, capturing nuanced opinions and experiences of poor individuals more effectively. Unlike manual qualitative analyses, NLP methods offer scalability and reproducibility across diverse settings.
To build meaningful multidimensional indicators, researchers must go beyond identifying poverty dimensions and assign weights that reflect the relative importance of each aspect (Alkire et al. 2015). The normative approach uses expert judgment or community evaluations, often assigning equal weights as in indices such as the MPI and HDI (Alkire and Santos 2013; Angulo et al. 2016; Bank 2018). While straightforward, this method assumes no hierarchy among dimensions, possibly overlooking context-specific priorities. The data-driven approach, in contrast, employs statistical techniques like principal components analysis (PCA) to derive weights from empirical data (Alkire et al. 2015), uncovering patterns for tailored, context-sensitive weightings. For instance, Medellín’s multidimensional QoL index uses weighted PCA (Alkire et al. 2015). However, purely data-driven methods may lack the contextual nuance and participatory insight of qualitative approaches.
The hybrid approach merges normative and data-driven perspectives, using statistical data and survey methods to capture individuals’ deprivations and priorities (Greco 2018). It balances empirical rigor with participatory relevance, ensuring indicators reflect both statistical trends and lived experiences. This study contributes to the hybrid perspective by proposing NLP techniques to analyze interviews from impoverished populations, hypothesizing that language models can encode individuals’ perceptions of poverty and well-being. Utilizing AI-based models, the approach integrates personal opinions with statistical data, enhancing poverty assessments. Advancements in AI, particularly NLP and text mining, allow patterns to be extracted from unstructured data (Eisenstein 2019), facilitating large-scale participation by generating models that reflect people’s words and prioritized concepts.
However, existing language models often reflect biases stemming from training data predominantly originating from affluent regions and mainstream media sources (Bender et al. 2021; Prabhakaran, Hutchinson, and Mitchell 2019; Salvatore, Biffignandi, and Bianchi 2021; Chiquito et al. 2019). As a result, these models may not accurately represent marginalized populations, leading to misrepresentations in poverty assessments (Muñetón-Santa et al. 2022). Researchers can mitigate these biases by incorporating data directly from poor individuals, ensuring that models genuinely reflect their realities. Previous work by Muñetón-Santa et al. (2022) demonstrated the potential of NLP techniques to model poverty levels based on poor individuals’ opinions but assumed that existing poverty dimensions were adequate, neglecting the identification and weighting of dimensions based on participants’ input. This study addresses these gaps by employing Topic Modeling to extract information from interviews, identifying dimensions that describe poverty and well-being from the perspectives of the affected individuals. It also introduces a zero-shot text classification strategy to assign weights to these dimensions. This NLP and AI technique enables models to categorize text into predefined classes without prior training on those specific categories. By leveraging this technique, the study integrates people’s opinions directly into the model, assigning weights to the identified dimensions based on the semantic content of the interviews, even in the absence of labeled training data. This approach enhances the model’s ability to accurately reflect the true perceptions and priorities of impoverished populations.
This paper advances the capability approach by leveraging NLP and Topic Modeling to systematically identify and assign weights to dimensions of poverty and well-being based on direct input from both impoverished individuals and the general population in Medellín, Colombia. By analyzing interview data from these diverse groups, we capture a comprehensive spectrum of perspectives on quality of life and poverty. We introduce a methodology that semi-automatically extracts relevant dimensions using Topic Modeling, and we employ Zero-Shot Text Classification to quantify the weight of each dimension, integrating people’s opinions directly into the model. Our framework merges participatory insights with statistical robustness, addressing limitations of traditional qualitative and quantitative methods. By combining NLP methods with social science theories, we enable modern computational techniques to quantify aspects traditionally considered qualitatively. This approach aims to create more accurate, scalable, and contextually relevant indicators of poverty and well-being that genuinely reflect the lived experiences and priorities of the affected populations, contributing to more effective, inclusive, and SDG-aligned policy development.
Participants and Data Collection
Poverty Database
This is the same corpus from our previous study (Muñetón-Santa et al. 2022), based on data collected in Medellín, Colombia. Interviews were conducted with families participating in Medellín Solidaria: Familias Medellín, a social program aimed at combating extreme poverty. Families were selected using three main inclusion criteria: (i) a low score in the Sisben index-a public policy tool used to identify vulnerable and poor individuals in Colombia; (ii) participation in the program for at least three consecutive years; and (iii) evidence of setbacks in their efforts to overcome poverty.
Data Collection Process
A team of 16 trained social science professionals conducted semi-structured interviews with 367 of 431 families participating in a social program that monitors poverty conditions. These professionals, who visited each family twice a month, interviewed a primary household decision-maker, focusing on four main themes: general definitions of poverty, deprivations, causes, and opportunities. Each theme included guiding auxiliary questions, and responses were consolidated into individual texts per participant. The interviews aimed to capture participants’ perceptions of poverty by exploring the causes they identified, the difficulties they faced, how they obtained resources, their aspirations, and their approaches to decision-making.
Each interview generated a text with a median length of 55 words per participant (ranging from 14 to 609). After pre-processing-which involved removing stop words, punctuation marks, and numerical digits, the median dropped to 27 words (with a range from 8 to 247). This word count excluded anything said by the interviewer. Further details about this corpus can be found in Muñetón-Santa et al. (2022).
The four themes and their corresponding auxiliary questions included in the semi-structured interviews are included in Table 1.
Table 1. Themes and questions included in the semi-structured interviews
| Theme | Questions |
|---|---|
| General definition of poverty | What does poverty mean to you? |
| How would you describe it? | |
| Do you consider yourself poor? Why? | |
| Deprivations | What do you feel you are missing in your life? |
| What would you like to have or experience, but currently can’t? | |
| Causes | Why do you think you are living in your current conditions? |
| Opportunities | What do you believe needs to happen for you to improve your situation? |
Source: The authors.
Quality of Life (QoL) Database
This corpus was collected by the public administration of Medellín, Colombia in 2021 as part of the quality-of-life survey conducted each year in the city. The survey is divided into 18 domains related to quality of life, and is used to guide the public policy in the city. Survey respondents-referred to as qualified informants-were chosen for their ability to provide information about the household, they were called qualified informants.
The 2020 version of the survey included two optional open-ended questions intended to obtain information about people’s idea of the meaning of QoL and that of poverty. These questions appeared at the end of the questionnaire and were posed only to those who agreed to participate. Out of 9,400 participants, 849 responded. The survey was conducted by a call-center and the answers to the open-ended questions were recorded and transcribed by the project’s research assistants.
Before pre-processing the corpus, the median value of the number of words per person was 62 (ranging from 4 to 626). After pre-processing, the median value dropped to 21 (ranging from 1 to 251). The counting excluded the interviewer’s words. A total of five samples with less than 4 words were removed from the dataset.
Questions considered in this study: What does quality of life mean? How do you define a poor person and a non-poor person?
Descriptive Analysis
The database contains approximately 190 variables related to household QoL. Demographic variables help characterize both the informants and their households. Respondents to the open-ended questions came from 19 of the city’s 21 districts. Of these respondents, 77% were women and 22.3% were men-a distribution commonly observed in household surveys, as women are more likely to be responsible for domestic tasks. This proportion also closely mirrors that of the broader sample included in the full QoL survey.
The average age of the respondents was 55 ± 16 years. Of those surveyed, 52.3% identified as the head of household. The remaining 47.7% included spouses or permanent partners of the head of household (26%), children of that union (11.8%), siblings of the head of household (3.1%), parents (3%), and other relatives (3.8%).
In Colombia, socioeconomic status is typically measured using a stratification system called estrato, which groups the population into six hierarchical levels. Level one represents the lowest socioeconomic status and level six represents the highest. Of the respondents, 53.9% belongs to the two lowest levels; 31.9% to the third level; and the remaining 14% to the next three levels; with level six, representing only 0.94%. Further details are shown in Table 2. Figure 1 illustrates the distribution of survey participants according to their estrato. It is worth noting that this distribution is very similar to the one observed in the city’s full QoL survey. To further assess this, we ran a simulation comparing the proportions, then calculated the Highest Density Intervals (HDI) for the 849 respondents who answered the open-ended questions and the remaining survey participants. The results showed no statistically significant difference in the proportion of women (95% HDI: [-0.02, 0.03]) or in the proportion of those with their own housing (95% HDI: [-0.02, 0.04]). However, the proportion of respondents from lower socioeconomic strata (1, 2 and 3) was slightly lower in the open-ended question sample (95% HDI: [-0.06, -0.01]), indicating a potential underrepresentation of these groups in the analyzed texts.
Note that 9.7% of the respondents reported having no formal education, 30.2% completed primary school, and 33.4% reached high school. Another 26% received technical training, while only a small number had university degrees (Table 2). The figures indicate that there is no evident bias, as the respondents to the two open-ended questions show similar educational patterns to those who answered the full survey.
Table 2. Demographic profile of the respondents in the QoL database.
| Head of household | Spouse or partner | Children | Other | Overall | |
|---|---|---|---|---|---|
| (N=444) | (N=221) | (N=100) | (N=84) | (N=849) | |
| Sex | |||||
| Men | 140 (31.5%) | 3 (1.4%) | 31 (31.0%) | 15 (17.9%) | 189 (22.3%) |
| Women | 304 (68.5%) | 218 (98.6%) | 69 (69.0%) | 69 (82.1%) | 660 (77.7%) |
| Age | |||||
| Mean (SD) | 59.3 (13.6) | 56.0 (13.4) | 36.4 (15.4) | 54.0 (20.0) | 55.2 (16.1) |
| Median (Min, Max) | 60.0 (24.0, 89.0) | 57.0 (18.0, 86.0) | 31.5 (18.0, 73.0) | 60.0 (18.0, 94.0) | 58.0 (18.0, 94.0) |
| Education | |||||
| None | 53 (11.9%) | 16 (7.2%) | 3 (3.0%) | 10 (11.9%) | 82 (9.7%) |
| Primary School (1º to 5º) | 156 (35.1%) | 72 (32.6%) | 6 (6.0%) | 22 (26.2%) | 256 (30.2%) |
| High School (6º to 9º) | 47 (10.6%) | 28 (12.7%) | 6 (6.0%) | 6 (7.1%) | 87 (10.2%) |
| High School (10º to 13º) | 79 (17.8%) | 51 (23.1%) | 42 (42.0%) | 25 (29.8%) | 197 (23.2%) |
| Technical (Two years) | 27 (6.1%) | 14 (6.3%) | 17 (17.0%) | 4 (4.8%) | 62 (7.3%) |
| Technological | 28 (6.3%) | 20 (9.0%) | 5 (5.0%) | 1 (1.2%) | 54 (6.4%) |
| Undergraduate | 36 (8.1%) | 15 (6.8%) | 17 (17.0%) | 11 (13.1%) | 79 (9.3%) |
| Postgraduate | 18 (4.1%) | 5 (2.3%) | 4 (4.0%) | 5 (6.0%) | 32 (3.8%) |
| Socioeconomic status | |||||
| 1 | 37 (8.3%) | 20 (9.0%) | 6 (6.0%) | 7 (8.3%) | 70 (8.2%) |
| 2 | 207 (46.6%) | 100 (45.2%) | 44 (44.0%) | 37 (44.0%) | 388 (45.7%) |
| 3 | 133 (30.0%) | 70 (31.7%) | 40 (40.0%) | 28 (33.3%) | 271 (31.9%) |
| 4 | 36 (8.1%) | 14 (6.3%) | 6 (6.0%) | 3 (3.6%) | 59 (6.9%) |
| 5 | 30 (6.8%) | 12 (5.4%) | 4 (4.0%) | 7 (8.3%) | 53 (6.2%) |
| 6 | 1 (0.2%) | 5 (2.3%) | 0 (0%) | 2 (2.4%) | 8 (0.9%) |
Source: Authors based on collected data.
Methodology
General Approach
This study analyzes two corpora on poverty and QoL as illustrated in Figure 1. Interview recordings were transliterated, and responses concatenated. Three topic modeling methods were employed: a counting-based model, Correlation Topic Model (CTM), and BERTopic (Grootendorst 2020). The hypothesis posits that the identified topics relate to poverty dimensions, leading to the selection of categories that best represent dimensions of poverty and QoL. Subsequently, the Zero-Shot Text Classification (0Shot-TC) strategy (Yin, Hay, and Roth 2019) was employed to assign weights to the topics via probabilities, reflecting the importance placed on each category by interviewees. The following sections present the methodology in detail.
Topic Modeling Algorithms
Topic modeling extracts latent topics from a corpus of documents, defining each topic as a multidimensional distribution over corpus words (Blei, Ng y Jordan 2003). By applying clustering methods, it condenses extensive text into manageable segments. The method assumes that the same set of topics appears across all participants, making it possible to identify consistent weights for each dimension. Topic models encompass three primary approaches: (i) counting-based algebraic transformations, (ii) probabilistic techniques such as CTM, and (iii) neural network methods like BERTopic (Grootendorst 2020). This study draws on all three to offer a comprehensively analysis of the information distribution from the interviews.
Counting and Algebraic Transformation Methods
The bag-of-words approach represents documents as vectors of word counts, ignoring word order. While Term-Frequency Inverse-Document-Frequency (Tf-Idf) (Salton and Buckley 1988) is another common method, we chose not to use it. Tf-Idf depends on speakers using distinct vocabularies-a condition unlikely given our participants’ low levels of formal education. As a result, Tf-Idf scores tended to approach zero. To overcome this “vanishing score” issue, we applied the weighted log-odds ratio with an informative Dirichlet prior (Monroe, Colaresi, and Quinn 2017) and standardized word statistics using z-scores of the log-odds ratio (Silge and Robinson 2017).
The model treats the word counts y in the corpus as a multinomial distribution, i.e.,
, where represents the total word count across the lexicon W, and 𝜋 is a vector with the mutually exclusive probabilities associated to different groups of words. If we define the baseline log-odds-ratio between the word 𝑤 and the first one as, then the likelihood function of the log-odds-ratio can be expressed as:
Although the analytical solution for the maximum likelihood
of the word 𝑤 in the 𝑖-th document can be simplified as , where , the typical and robust approach assumes a Dirichlet prior for the distribution of 𝜋, i.e., , where is a W-vector with elements that can be defined arbitrarily as (Monroe, Colaresi, and Quinn 2017).The Bayesian estimate for the analytical solution of the likelihood is now
,where .The resulting model enables the estimation of uncertainty in word usage odds. If we denote the odds of a word w, as
. By using the log-odds-ratio defined as it is possible to identify how the use of a word 𝑤 in the document 𝑖 differs from its use in all documents. To compare between documents 𝑖 and 𝑗, the log-odds-ratio of word 𝑤 is defined as . Further details of the mathematical procedure can be found in (Monroe, Colaresi, and Quinn 2017). This approach is recommended for comparing groups of documents that likely discuss similar topics, as in scenarios where everyone discusses poverty and quality of life. The metric is easy to interpret: positive log-odds indicate a stronger tendency to use a word, negative log-odds indicate the opposite (Silge and Robinson 2017).Correlated Topic Model (CTM)
There are two main algorithms based on statistical distributions to identify topics as latent variables. LDA is widely used in topic modeling, employing the bag-of-words approach without considering temporal context (Blei, Ng y Jordan 2003). CTM is an extension that replaces the Dirichlet distribution with a logistic normal one, allowing correlations between topics (Lafferty and Blei 2006). We chose to use CTM since the topics of interest, such as poverty and quality of life, are highly correlated; thus, each document is represented as a vector of topic proportions.
The topics in a text are defined as 𝛽, therefore a set with K topics can be denoted as
. Additionally, each document 𝑑 is associated with a topic proportions , i.e., it is the distribution over topic indices and reflects the probability for the corresponding set of words to be drawn from each topic in the collection. The logarithmic quotient between the proportion of the i-th document with respect to the proportion over the whole K documents is given by .Correlations among topics are included in the CTM model by using a logistic normal distribution as the distribution of topic proportions. Notice that 𝜂 considers the logarithm of the distribution of topic proportions per document, while
represent the mean vector and covariance matrix over the topics.Thus, according to the CTM model, an 𝑁−word document arises from the following stages:
? Draw
.? For
:?Draw topic assignment
from .Where is a function that maps a natural parameterization of the topic proportions to the mean parameterization given by .?Draw the word
fromTo estimate the parameters of the CTM model, the posterior distribution of the latent variables have to be computed for each document. However, this leads to an intractable problem because the distribution of the topic proportions
does not conjugate with the distribution of the topic assignments . To address this limitation, the authors in (Blei and Lafferty 2007) proposed the use of a variational method to optimize free parameters of the distribution over the latent variables.We deliberately chose not to lemmatize the terms, as preserving the exact forms of expression was crucial for our bigram analysis. In this analysis, context and specific forms of expression (such as casa propia versus tener casa) are critical for understanding the dimensions prioritized by participants. Although lemmatization might have increased term frequencies by clustering morphological variants, it would also have diluted the semantic nuances that are relevant to our contextual analysis, resulting in less consistent clusters (Schofield et al. 2017). It is also important to note that transformer-based models such as BERTopic, which were used in later stages of our analysis, can process morphological variants efficiently without requiring prior lemmatization thanks to their contextual embedding architecture.
BERTopic
The BERTopic algorithm (Grootendorst 2020) illustrated in Figure 2 addresses the limitations of the bag-of-words approach by leveraging BERT-based contextual embeddings (Devlin et al. 2019) combined with average pooling, dimensionality reduction via UMAP, cluster analysis using HDBSCAN, and an adapted Tf-Idf method (Salton and Buckley 1988). It uses Sentence-BERT (Reimers and Gurevych 2019) to create a single vector per document through mean pooling. This approach facilitates the extraction of meaningful clusters, including the identification of outliers. For cluster interpretation, BERTopic implements cluster Tf-Idf (c-Tf-Idf) to identify key tokens within each cluster. Notably, BERTopic does not need to predefine the number of clusters, increasing its generality and reducing bias.
In BERTopic implementation, we used the multilingual XLM-RoBERTa model alongside UMAP for dimensionality reduction and HDBSCAN with its default configuration. We observed overlapped terms between different clusters-an expected outcome when working with corpora that exhibit limited semantic variability. Rather than viewing this overlap as noise, we interpreted it as evidence of the cross-cutting relevance of certain bigraphs, which strengthens their value as potential dimensions. The c-TF-IDF representation highlights the distinctive terms of each cluster, making it more effective for identifying relevant aspects in an unsupervised manner than for enforcing strict thematic boundaries. We acknowledge the limitations of applying models such as XLM-RoBERTa to local contexts. While all the words in our corpus were identified by the model, this may not fully capture the nuances of Colombian Spanish or the specific expressions related to poverty in Medellín. These models were predominantly trained using data from developed countries, which could introduce biases in the representation of local concepts of poverty. Similarly, differences in educational levels may affect expressivity, favoring certain forms of articulation. We believe that developing specific models for regional socioeconomic contexts is an important area for future research.
Zero-shot Text Classification (0Shot-TC)
The 0Shot-TC technique (Figure 3) operates on two principles: (i) partially unseen labels (restrictive definition) and (ii) completely unseen labels (open definition). Our problem aligns with the second principle (Yin, Hay, and Roth 2019). We begin by processing each person’s text documents to generate hypotheses such as “This document is about [candidate labels].” These hypotheses are evaluated using the multilingual Roberta-large-xnli NLI model to assign probabilities to each label. The goal is to simulate human reasoning by constructing a classifier that responds to these hypotheses. For example, to determine whether a text relates to “poverty,” we use the hypothesis “This is a text about poverty.” Aggregating these probabilities calculates the average percentage for each label, offering a comprehensive understanding of the candidate labels present. This method provides a flexible way to interpret and classify semantically similar concepts without prior specific training.
Zero-shot text classification is based on the semantic representation of transcriptions and labels in a common space. Let
be the set of transcriptions to be classified, and be the set of possible labels. The zero-shot classification process can be mathematically represented as follows:1.Semantic Representation: Each transcription ti and each label ej are projected into a vector space using an embedding function
. Thus, ,where 𝑑 is the dimension of the vector space.To obtain the semantic representation of transcriptions and labels, we used BERT. Given an input text x, BERT generates a vector representation
, where each element of the vector captures contextual information based on adjacent words and the overall meaning of the text. Mathematically, this can be expressed as:
where
represents the BERT model and are the model parameters adjusted during pretraining. The embedding function transforms both transcriptions and labels into vectors in a high-dimensional space, allowing direct comparisons through similarity measures.2.Similarity Calculation: For each transcription ti, the similarity with each label ej in the vector space is calculated. In this work, we use cosine similarity, defined as:
where
represents the dot product between the vectors, and denotes the Euclidean norm.3. Label Assignment: The label ej that maximizes the similarity with the transcription ti is assigned to that transcription. That is, the assigned label
is:
Experiments and Results
In the pre-processing phase, documents were tokenized, and stop words were removed using the Spanish Snowball source1. Text cleaning involved eliminating punctuation, digits, and misspellings, while stemming was excluded due to inconsistent topics (Schofield et al. 2017). Unigrams, bigrams, and trigrams were compared for semantic coherence, leading to the selection of bigrams for all experiments. While trigrams could theoretically capture more contextual nuances, their frequency in our specific corpus was significantly lower, leading to fewer consistently relevant trigrams and potentially a loss of generalizability. Bigrams offered an optimal balance between semantic richness and sufficient frequency for robust analysis. Details of the experiments and their results are presented below.
Experiment 1: Using Counting and Algebraic Transformation Approaches
The descriptive analysis revealed the diversity of domains where people focused their concern, for example, on the important role of having somewhere to live for poor people and living well as a point of reference for quality of life. Figure 4 adds information to the bigram counts to analyze the most important domains in the poverty and QoL corpus, respectively. Notice the systematic occurrence of concepts like tener casa (having a place to live), tener empleo (to have employment), salir adelante (getting ahead), tener una buena salud (to have good health), pobre de espíritu (poverty of spirit), and others.

Source: The authors.
Figure 4. Top count bigrams after removing stop words, comparing poverty (Left) and quality of life (Right) databases
Figures 5 and 6 illustrate the semantic fields resulting from the words processed using unigrams. The graphs work as a type of Markov representation: they include the most common thematic nodes in the corpus and use directed lines to show how those themes relate to one another. The strength of such a relationship-measured by how often it appears in the corpus-is represented in the width of the connecting lines.
In the poverty database, the central node revolves around owning a house. In contrast, the QoL database highlights key nodes in the semantic field of health, nourishment, having enough food, and well-being. These word chains help clarify the context surrounding each node’s semantic field. Notice that the word chains help clarify the semantic context of each node. For example, in the poverty database, the semantic field related to housing includes words like tenure, property, order, repair, lack, and dignified. Another chain, linked to the idea of enjoyment, features words such as going out, going for a walk, discovering, and traveling. A similar pattern appears in the QoL database, where the key concepts closely align with those from the poverty database. These descriptive patterns help identify stronger candidate labels that match the contextual meaning used in the 0Shot-TC model.
For the descriptive analysis, we also calculated the log-odds ratio weighted by a prior (Monroe, Colaresi, and Quinn 2017) to account for sampling variability in the databases. Figure 7 presents the weighted log-odds for documents in the poverty and QoL databases. The results are consistent with the ones obtained in the co-ocurrence approach. From the perspective of the capability approach, these two findings suggest a strong internal consistency within each corpus-that is, documents in the poverty database tend to reflect similar concerns, as do those in the QoL database. This indicates overlapping social values or a shared understanding of the most important aspects of life. According to the weighted log-odds results shown in Figure 7, the most prominent bigram in the poverty database is tener casa (having a place to live), followed by the bigram falta de dinero (lack of money). In the QoL database, the most important bigram is vivir bien (living well), followed by dónde vivir (where to live).

Source: The authors.
Figure 7. Sum of bigram weighted log-odds. Poverty database (Left) and quality of life database (Right)
Our objective is to identify dimensions or objects of value that individuals have reason to consider meaningful. Accordingly, the list of most relevant categories selected, given their strong concurrence, are further confirmed by the log-odds weights. Therefore, the candidate dimensions selected from the counting approach for the poverty corpus were: casa propia (owning a house), salir adelante (getting ahead), dinero (money), empleo (employment), falta de oportunidades (lack of opportunities), salir a disfrutar (going out to enjoy life), and pobre de espíritu (poverty of spirit). For the QoL corpus, the selected candidate dimensions were: vivir bien (living well), necesidades básicas (basic needs), servicios públicos (public services), vivir tranquilo (living in peace), tener casa (having a place to live), buena comida (good food), salir adelante (getting ahead), and pobre de espíritu (poverty of spirit).
Notice that the concepts or dimensions related to education and health do not appear consistently in the poverty database. As the following experiments will show, although these elements are widely recognized as essential for evaluating human development, the automated methods used in this study do not systematically identify them when analyzing the poverty database alone.
Experiment 2. Correlated Topic Model (CTM)
The pre-processed document frequency matrix obtained from the bigrams was used as input for the CTM algorithm. For topic modeling based on probabilistic methods, we applied the Dirichlet/multinomial mixtures extension of bigram models (Blei, Ng y Jordan 2003). To compare and select optimal number of clusters k∈2,…, 20 we relied on perplexity scores-lower perplexity values indicated better model performance. It is important to note that most topic modeling algorithms, including CTM, do not offer a well-defined criterion for selecting k (Vayansky and Kumar 2020).
We evaluated topic coherence using a combination of criteria: (i) we examined the overlap of high-probability words across topics. When topics shared similar key terms, we opted for a smaller number of topics to reduce redundancy. (ii) In parallel, we used the R package ldatuning (Nikita 2020) to fine-tune the LDA parameters by evaluating different values for the number of clusters k. The implementation provided default coherence metrics commonly used in NLP and topic modeling, such as those proposed by Arun et al. (2010), Cao et al. (2009), and Deveaud, SanJuan, and Bellot (2014). These metrics follow a similar rationale to perplexity: the optimal number of clusters was selected by identifying either the minimum (as recommended by Arun et al. [2010] and Cao et al. [2009] ), or the maximum (as indicated by Deveaud, SanJuan, and Bellot [2014] ) value, depending on the specific metric.
Selecting Number of Topics for CTM
The perplexity analysis for different values of k in both the poverty and QoL databases revealed a decreasing trend as the number of topics increases, but no clear elbow point was observed to guide the selection of k. Established algorithms for determining the optimal number of topics (Arun et al. 2010; Cao et al. 2009; Deveaud, SanJuan, and Bellot 2014) did not provide definitive criteria, as their measures were either noisy or lacked a clear minimum. To address this limitation, we tested alternative values of k (4, 6, and 8) and visually inspected topic coherence and overlap using the LDAvis tool in R (Sievert and Shirley 2014).
The results after summarizing, using multidimensional scaling to assess topic distances and word probabilities, helped us determine that k=6 for the poverty database and k=4 for the QoL database provided semantically coherent topics without redundancy. Selecting a markedly different k could either result in topics too broad to be informative or too granular and overlapping, thereby affecting the clarity of the identified dimensions. Since there is no consensus on how to measure interpretability (Madsen, Reddy, and Chandar 2021), we relied on social and semantic evaluation to select the optimal number of topics, ensuring that the topics were informative and meaningful for human interpretation.
Correlated Topic Model Results
The results indicate that the topics are not mutually exclusive, as the top words appear repeatedly across different topics. High-probability tokens appear simultaneously in multiple documents, suggesting semantic cohesion within the corpus. Since all interviewees discussed similar themes, our aim is to summarize the main aspects that concern them most. As a result, we observed the same words associated with multiple topics carrying roughly equal weights. To understand group differences, we selected a limited number of topics or clusters and avoided overlapping terms when choosing candidate labels.
The top bigrams in the poverty database using k=6 topics confirm findings from the counting approach. The topics are correlated with no clear distinctions among them. Bigrams with the highest probabilities relate to owning a house and employment (Topics 2, 3, and 4). General aspects like salir adelante (getting ahead), interpreted as progressing, also appear. Additionally, falta de oportunidades (lack of opportunities) emerges in the top bigrams across all topics. An important aspect highlighted by poor individuals is the lack of money, resources, or income (falta de dinero, recursos o ingresos). Specific bigrams include deseo disfrutar (wanting to enjoy life) (Topics 2, 3, 4), mejor vida (better life) (Topics 1, 3), and salir a pasear (going out to visit places) (Topic 4). With lower co-occurrence and probability, the concepts pobre de espíritu (poverty of spirit) appear in topics 1 and 5, and buena salud (good health) in topic 4.
In sum, the candidate labels extracted with CTM are: owning a house, having a job, getting ahead, lack of opportunities, lack of money or resources, wanting to enjoy life, better life, going out to visit places, poverty of spirit, and health. Therefore, the candidate dimensions selected were: casa propia (owning a house), empleo (employment), salir adelante (getting ahead or progressing), falta de oportunidades (lack of opportunities), falta de dinero o recursos (lack of money or resources), pobre de espíritu (poverty of spirit), salud (health), deseo disfrutar (wanting to enjoy life). Note that this last dimension is a bigram related to salir a pasear (going out to visit places).
The top bigrams in the QoL database, using k=4 clusters, are related with vivir bien (living well) and appeared in all clusters with high β probability, salir adelante (getting ahead or progressing) with high β parameter in topics 1, 3 and 4. Some bigrams that occur in different clusters are related to: salud (health) (1, 2, 3, 4), tener comida (to have food) (1, 2, 4), necesidades básicas (basic needs) (2, 3, 4), casa propia (owning a house) (1, 2, 3, 4). The selected candidate dimensions were: vivir bien (living well), salud (health), estar alimentado (to be well nourished), necesidades básicas (basic needs), salir adelante (getting ahead or progressing), tener casa (having a place to live), vivir tranquilo (living in peace), pobre de espíritu (poverty of spirit).
Experiment 3. BERTopic
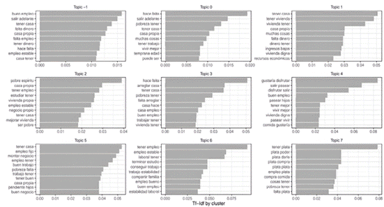
In implementing the BERTopic method, we employed the default xlm-RoBERTa model-a large, publicly available2 multilingual transformer. After generating the embeddings, we performed dimensionality reduction and clustering, subsequently removing stop words to derive an interpretable c-tfidf matrix. BERTopic identified eight clusters within the poverty database (see Figure 8). The largest cluster (106 out of 385 documents), labeled as topic -1, was deemed an outlier, highlighting the similarity among numerous documents and the challenges in clustering semantically akin texts. Topic 0 encompassed 26% of the documents. We analyzed common and uncommon bigrams to validate the semantic themes of deprivation and well-being. Topic -1 included documents detailing prevalent commodity deprivations, which can translate into functional aspects (e.g., owning a house implies security). Key bigrams such as casa propia (owning a house), falta de dinero (lack of money), and tener un buen empleo (have a good job) appeared across multiple topics, while some bigrams were unique, serving as candidate dimensions for perceived deprivation or commodities. Thus, the selected candidate dimensions from the poverty database included: empleo (employment), casa propia (owning a house), salir adelante (getting ahead), dinero (money), salir a disfrutar (going out to enjoy), pobre de espíritu (poverty of spirit), and educación (education).
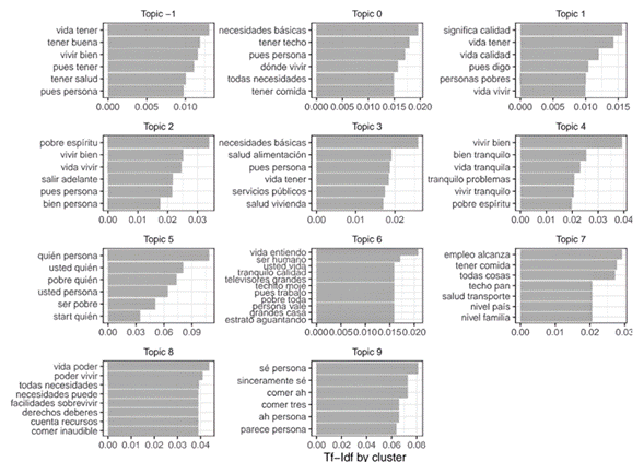
The BERTopic results for the QoL database identified nine clusters (Figure 9). The cluster containing the largest proportion of documents was topic -1 (49%), followed by Cluster 0 with 10.1%. Accordingly, the bigrams of Cluster -1 are likely representative of the overall population. Based on a joint interpretation of topic distribution and semantic evaluation, nine candidate dimensions were identified. The dimension vivir bien (living well) appeared in topics -1, 2, and 4, and was semantically linked to. Also, it is semantically related to poder vivir (being able to live) in topic 8. Another key label extracted from Cluster -1 was tener salud (to have good health). The remaining seven candidate dimensions were present in at least two of the clusters shown in Figure 9: tener techo (having somewhere to live), tener comida (to have food), necesidades básicas (basic needs), salir adelante (getting ahead), pobre de espíritu (poverty of spirit), vivir tranquilo (living in peace), and empleo (employment).
Experiment 4. Candidate Dimensions and 0Shot-TC
The classification task requires three main parameters to be defined: sequences, candidate labels, and multi-class. Sequences correspond to the text/sequence to be predicted. These are the texts of the respondents’ answers for both poverty and QoL databases. Candidate labels refers to a list of all candidate labels we want to predict, which can be understood in terms of the capability approach as value objects that people value and have reason to value. These labels need not be previously known to the model. In this case, our labels come from previous topic modeling approaches. Finally, for the case of this work, the multi-class parameter is a value that ranges between 0 and 1 (the sum of all classes must be 1), so that it is possible to rank the importance of the labels or dimensions in each text.
The results of the summarized candidate dimensions identified by each method are presented in Tables 3 and 4. The Selected Candidate Dimensions column represents the union set of dimensions extracted by the three methods. This approach was chosen to provide a more comprehensive perspective, leveraging the strengths of each technique and reducing the potential bias of relying on a single method. The column includes both shared and unique dimensions identified by the different techniques, thereby increasing the variance of possible variables and providing a broader view of the social variation in perceptions of deprivation. Nine dimensions were identified for the poverty database and ten for the QoL database. It is worth noting that there are no significant differences between the results obtained by the three methods, which supports the rationale for using the union set approach. The dimensions with the highest weights by the methods referred to the same topics. Moreover, while all methods identified similar high-weight dimensions BERTopic, exhibited better semantic coherence in topic grouping (Figure 11 and Figure 12).
The candidate dimensions were applied in 0Shot-TC to perform the classification, represented by the label probability assigned to the text. Higher values indicate that the 0Shot-TC model identified stronger semantic associations between the text and the given label. The resulting probability distribution are heavy-tailed, with extremely low values at one end. As the distribution moves away from these low values, the corresponding dimension appears more relevant for the group of people (or texts) being analyzed. These distributions help visualize the variability in how important each dimension is perceived to be. Given their heavy-tailed nature and the presence of outliers, the median in the box plots (Figures 10 and 11) offers a more reliable indication of the ranking or relative importance of each dimension.
Table 3. Candidate dimensions by method from Poverty dataset
| Descriptive perspective | Correlated topic model | BERTopic | Selected candidate labels |
|---|---|---|---|
| Experiment 1 | Experiment 2 | Experiment 3 | |
| Casa propia (owning a house) | Casa propia (owning a house) | Casa propia (owning a house) | Casa propia (owning a house) |
| Salir adelante (getting ahead) | Salir adelante (getting ahead) | Salir adelante (getting ahead)) | Salir adelante (getting ahead) |
| Dinero (money) | Dinero (money) | Dinero (money) | Dinero (money) |
| Empleo (employment) | Empleo (employment) | Empleo (employment) | Empleo (employment) |
| Falta de oportunidades (lack of oportunities) | Falta de oportunidades (lack of oportunities) | NA | Falta de oportunidades (lack of oportunities) |
| Salir a disfrutar (going out to enjoy) | Salir a disfrutar (going out to enjoy) | Salir a disfrutar (going out to enjoy) | Salir a disfrutar (going out to enjoy) |
| Pobre de espíritu (poverty of spirit) | Pobre de espíritu (poverty of spirit) | Pobre de espíritu (poverty of spirit) | Pobre de espíritu (poverty of spirit) |
| Educación (education) | NA | Educación (education)) | Educación (education) |
| Salud (health) | Salud (health) | NA | Salud (health) |
Source: The authors.
Table 4. Candidate dimensions by method from QoL dataset
| Descriptive perspective | Correlated topic model | BERTopic | Selected candidate labels |
|---|---|---|---|
| Vivir bien (living well) | Vivir bien (living well) | Vivir bien (living well) | Vivir bien (living well)) |
| Salud (health) | Salud (health) | Salud (health) | Salud (health) |
| Buena comida (good food) | Estar alimentado (to be well nourished) | Tener comida (to have food) | Estar alimentado (to be well nourished) |
| Necesidades básicas (basic needs) | Necesidades básicas (basic needs) | Necesidades básicas (basic needs) | Necesidades básicas (basic needs) |
| Salir adelante (getting ahead) | Salir adelante (getting ahead) | Salir adelante (getting ahead) | Salir adelante (getting ahead) |
| Tener casa having somewhere to live) | Tener casa having somewhere to live | Tener casa having somewhere to live | Tener casa having somewhere to live |
| Pobre de espíritu (poverty of spirit) | Pobre de espíritu (poverty of spirit) | Pobre de espíritu (poverty of spirit) | Pobre de espíritu (poverty of spirit) |
| Vivir tranquilo (living in peace) | Vivir tranquilo (living in peace) | Vivir tranquilo (living in peace) | Vivir tranquilo (living in peace) |
| NA | NA | Empleo (employment) | Empleo (employment) |
| Servicios públicos (public services) | Servicios públicos (public services) | Servicios públicos (public services) | Servicios públicos (public services) |
Source: The authors.

Source: The authors.
Figure 10. Boxplot Zero-Shot probability with candidate labels from poverty database

Source: The authors.
Figure 11. Boxplot Zero-Shot probability with candidate labels from the QoL database

Source: The authors.
Figure 12. Percentage of sum of probabilities (weights). The poverty database (Left) and quality of life database (Right)
Weights of Dimensions
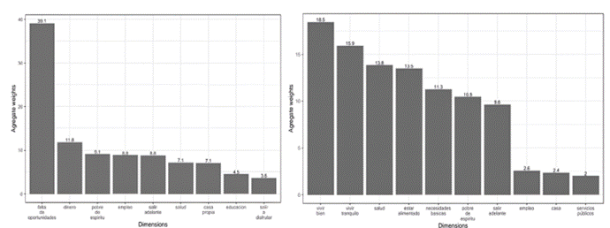
To assign the weight of a given dimension, we performed a simple aggregation operation of the probabilities obtained by each person in each dimension. The sum of each dimension indicates its importance, a high value means that there are people or documents that emphasize that dimension. We then calculated the percentage weight of each dimension based on these sums. Figure 12 presents the results for both the poverty and QoL databases, showing the relative weight of each dimension across the full dataset. In the case of poverty, the three most prominent dimensions are falta de oportunidades (lack of opportunities) (39.1), dinero (money) (11.8), and pobre de espíritu (poverty of spirit) (9.1). The weight of the top dimension exceeds the second most important by over 27 percentage points. For the QoL, the top three most important dimensions are vivir bien (living well) (18.5), vivir tranquilo (living in peace) (15.9), salud (health) (13.9), and estar alimentado (to be well nourished) (13.5). Dimensions related to employment, house, and public services have low weights of less than 2.6 out of a possible 100. These results in both databases represent the topic distribution of the dimensions or labels obtained in the topic modelling phase.
We tested the consistency of the 0Shot-TC model by replacing one candidate dimension at a time while keeping all others constant. The replacements involved synonyms that appeared in the corpus. Specifically, we modified two common terms in both databases: the word house (casa) was replaced with housing (vivienda) and the word employment (empleo) with job (trabajo). The results showed no significant changes in either ranking or magnitude. In the case of housing, the combined results across both databases remained nearly identical. Similarly, when we substituted job for employment, the ranking remained unchanged, and the difference in results was only about one percentage.
Discussion
The study finds no significant difference among topic modeling methods in extracting dimensions, though BERTopic excels in distinguishing topics based on word semantics due to its attention mechanism and contextual word representations. Simpler descriptive methods for dimension selection are equally effective and easier to implement than transformer-based approaches. Topic modeling yields sets of significant words linked to conceptual fields, with word-concept associations influenced by social context, enabling interpretation of meanings (Halliday 2001). Thus, the findings are specific to poverty and QoL perspectives among Medellín residents, emphasizing the importance of social context in understanding capabilities and freedoms (Robeyns 2020). Our main contribution is the validated methodology presented.
Participants predominantly discussed resources, such as housing and money, rather than functioning impairments. Consistent with Amartya Sen’s (1985) capability approach, the method captures the utilization of commodities. For instance, describing a house as “one’s own” demonstrates the transformation of a resource into a function, such as security, akin to Sen’s (1985) bread example. While this contributes to understanding the conversion process, it may not capture functionings as thoroughly as qualitative studies (Frediani 2019b). This highlights the need to prioritize property rights in housing indicators-a perspective that diverges from Colombian indicators (Angulo et al. 2016), but aligns with Burchi et al. (2021) in recognizing the importance of housing.
This methodology establishes an approach for identifying poverty and well-being dimensions-and their weights-using unsupervised machine learning and NLP algorithms. It overcomes the limitations of consulting closed groups for broader populations and offers opportunities beyond traditional dimension identification and weighting methods (Alkire et al. 2015), thereby supporting innovative approaches (Burchi et al. 2021). Suitable for analyzing large volumes of documents, it enables the identification of overlooked dimensions (Alkire 2007, 2008, and 2013 ) and provides insight into the voices of the poor, similar to classic studies (Narayan et al. 2000) but enhanced by scalable modern technologies. At the same time, it is recognized that different methodological decisions-such as n-gram selection, topic modeling choices, and candidate dimensions-may lead to variations in the specific dimensions identified and their final weights. Nonetheless, the core emphasis on incorporating participants’ voices remains central to the approach.
The methodology enables the monitoring of shifts in social values, highlighting priority areas for policy interventions and aligning with the well-being agenda of the SDGs (OECD 2021). The results identify context-dependent deprivations and value objects, making the approach particularly relevant for informing poverty or QoL policies (Sen 1992). The dimensions identified can be further refined through participatory processes, helping to address constitutional critiques, and incorporating people’s voices to reflect moral pluralism in constitutions (Burchi, De Muro, and Kollar 2014 and 2018 ).
By applying big-data algorithms, this methodology reduces biases in dimension selection often associated with power imbalances or educational disparities-limitations frequently found in participatory methods (Nussey et al. 2022). Consistent with the capability approach, its aim is to identify what people prioritize for a valuable life (Sen 1985 and 1992). Through the analysis of everyday language expressions about lacking real opportunities, machine learning and AI techniques offer tools to address challenges in social deliberation and normative validation (Burchi, De Muro, and Kollar 2014).
Additionally, the methodology advances the assessment of dimension weights based on individuals’ everyday language, contributing to the development of hybrid approaches (Alkire et al. 2015; Decancq and Lugo 2013). These weights are derived from normative judgments extracted from texts, revealing hidden valuation patterns rather than explicit expressions. In doing so, the approach supports Sen’s proposal for participatory social decision-making (Sen 2017).
However, the results do not fully resolve the challenge of identifying dimensions solely from the functioning paradigm, as the values identified often relate to resources-such as housing and money-rather than to deprivations or achievements within the functioning space. Still, these findings provide a foundation for in-depth analysis of selected dimensions. Consistent with the capability approach, the realization of functionings depends on how individuals utilize their resources (Sen 1985). This methodology captures information previously obscured by other methods. For example, when a house is described as “one’s own,” it signals a conversion from resource to functioning-highlighting aspects such as security and ownership, and pointing to deeper meanings beyond mere possession (Frediani 2019b). This emphasis contrasts with Colombia’s poverty indicators focusing on material assets (Angulo et al. 2016). Echoing Burchi et al. (2021), housing emerges as a relevant dimension in participatory and survey-based methodologies. Thus, the results of this study provide a foundation for further exploring the characteristics and meanings of resources in context.
Conclusion
This study introduced an innovative modeling approach employing NLP algorithms to extract dimensions and weights from interview data. The methodology was applied to two case studies: one involving interviews about life in poverty and social deprivation, and the other focused on QoL and poverty. Guided by the capabilities approach as the conceptual framework, the research advanced the selection of dimensions and their corresponding weights for developing poverty and QoL indicators.
The results show that the methods used to identify topics or dimensions yielded comparable outcomes across both poverty and QoL contexts. Similar bigrams emerged from the two datasets, reflecting shared concerns among participants. As a result, the dimensions selected as candidate labels for the experiments were largely consistent across both domains. The 0shot-TC analysis indicated that in the poverty case study, falta de oportunidades (lack of opportunities) was the most significant dimension (39.1 out of 100), followed by dinero (money) (11.8) and pobre de espíritu (poverty of spirit) (9.1). In the QoL case study, vivir bien (living well) had a weight of 18.5, followed by vivir tranquilo (living in peace) (19.9), salud (health) (13.8), and estar alimentado (to be well nourished) (13.5).
The study presents several limitations. First, the NLP face challenges in accurately identifying the most valued objects for individuals, as results depend on respondents’ answers and their understanding of the tasks. To ensure a more suitable assessment of well-being, task design should focus on capturing real deprivations rather than utility or subjective happiness (Sen 1985). Moreover, the topic modeling approach did not clearly distinguish resources as means for achieving capabilities. Future research could address this by designing tasks that better reflect geographical contexts of deprivation. Finally, while the dataset used is one of the largest available for Spanish-language NLP tasks related to poverty and QoL, it remains limited in size-highlighting the need for larger and more diverse corpora.
































































