SciELO - Scientific Electronic Library Online

 
vol.48 issue189Scenarios and alternatives for ecological restoration in degraded Andean landscapes: the case of the upper basin of the Bogotá River (Suesca, Cundinamarca)Malvaceae neotropicae novae vel minus cognitae XII. New species of Matisia from Colombia and Panamá author indexsubject indexarticles search
Home Pagealphabetic serial listing  

Services on Demand

Journal

Article

Indicators

Related links

  • On index processCited by Google
  • Have no similar articlesSimilars in SciELO
  • On index processSimilars in Google

Share


Revista de la Academia Colombiana de Ciencias Exactas, Físicas y Naturales

Print version ISSN 0370-3908

Rev. acad. colomb. cienc. exact. fis. nat. vol.48 no.189 Bogotá Oct./Dec. 2024  Epub Dec 13, 2024

https://doi.org/10.18257/raccefyn.2641 

Ciencias Naturales

Análisis multitemporal de la frecuencia de observación de Phimosus infuscatus (Threskiornithidae) en Colombia

Multi-temporal analysis in observation frequency of Phimosus infuscatus (Threskiornithidae) in Colombia

Valentina Ramos-Mosquera1  * 
http://orcid.org/0009-0001-5693-6663

Edwin O. López-Delgado2 
http://orcid.org/0000-0002-4010-1880

1 Programa de Biología Ambiental, Facultad de Ciencias Naturales y Matemáticas, Universidad de Ibagué, Tolima, Colombia

2 Grupo de Estudios en Biodiversidad (GEBIO), Universidad Industrial de Santander, Santander, Colombia


Resumen

La expansión humana ha transformado el paisaje y con ello ha alterado la distribución de numerosas especies, especialmente de aves, reduciendo su riqueza y abundancia. Sin embargo, algunas aves se han adaptado a las áreas urbanas gracias a la disponibilidad de alimentos y recursos. Un ejemplo de esta habituación es la del ibis afeitado (Phimosus infuscatus), cuya expansión y colonización en Colombia se han estudiado poco. Evaluamos aquí si la frecuencia de observación de P. infuscatus se incrementó en zonas rurales y urbanas de Colombia entre 1977 y 2023 mediante un muestreo no estandarizado, proyectos de ciencia ciudadana y el monitoreo de la observación de aves. Los resultados mostraron un aumento progresivo en la frecuencia de observación de la especie a lo largo del tiempo, siendo el periodo comprendido entre 2010 y 2023 el de mayor número de observaciones. Entre 1977 y 2009 se observó mayor frecuencia en las zonas rurales, pero a partir de 2010 esta aumentó en las áreas urbanas del país, lo que evidenció la habituación exitosa de P. infuscatus a los entornos urbanos en varias ciudades de Colombia. Asimismo, se observó un incremento en el rango de elevación de la especie con el tiempo, lo que sugiere que su desplazamiento hacia otras elevaciones puede estar influenciado por las perturbaciones en su hábitat. Sin embargo, el aumento en la frecuencia de observación en los últimos años también podría responder a la creciente popularidad de la plataforma eBird en Colombia.

Palabras clave: Distribución geográfica; Urbanización; Aves; Colonización; Threskiornithidae

Abstract

Human expansion has altered landscapes, affecting species distribution, especially that of bird communities. These alterations often result in reduced species richness and abundance. However, certain bird species demonstrate a remarkable adaptability to urban environments, probably due to food availability and resources. For instance, the bare-faced ibis (Phimosus infuscatus) has adapted to urban areas. Nevertheless, there is a significant knowledge gap concerning its colonization process in Colombia. Our study aimed to assess changes in the observation frequency of P. infuscatus in rural and urban areas of Colombia between 1977 and 2023. The data comprises non-standardized sampling, birdwatchers' observations, and citizen-science projects. The analysis revealed a consistent increase in observation frequency over time, peaking between 2010 and 2023. Initially prevalent in rural areas from 1977 to 2009, the observation frequency of P. infuscatus notably increased in urban areas of Colombia starting in 2010. We found compelling evidence indicating the successful adaptation of P. infuscatus in urban areas across Colombia. There has also been an observable expansion in its elevation over time, suggesting that elevation displacement might be influenced by habitat disturbances, although such an increase may have also been influenced by the growing popularity of eBird in Colombia in recent years.

Keywords: Geographical distribution; Urbanization; Birds; Colonization; Threskiornithidae

Introducción

El crecimiento demográfico ha provocado cambios significativos en la estructura y composición de los paisajes debido a los procesos de urbanización (Schütz & Schulze, 2015). Este fenómeno ha impactado los entornos naturales al modificar las condiciones abióticas y alterar las dinámicas ecológicas y los patrones de biodiversidad (Liker et al., 2008). En particular, la expansión urbana ha generado una disminución considerable de la cobertura vegetal, lo que ha alterado la conectividad entre los hábitats naturales e incrementado los niveles de contaminación lumínica y acústica (Korányi et al., 2021; Ordóñez-Delgado et al., 2022). En el contexto global, América Latina se destaca como una de las regiones más urbanizadas, con cerca de un 81 % de su población asentada en áreas urbanas (Aldana-Domínguez et al., 2019; Dobbs et al., 2019).

En el caso específico de Colombia, la urbanización ha sido uno de los principales responsables de la deforestación y la fragmentación de los bosques (Delgado & Correa, 2013). En ese contexto, el valle del Magdalena Medio ha experimentado una acusada transformación del paisaje (Valencia et al., 2018) y los hábitats naturales en áreas urbanizadas, con un impacto directo en la biodiversidad (Martínez-Niñez et al., 2023). En el caso de las comunidades de aves, se ha observado que en los ambientes altamente urbanizados la diversidad de especies tiende a disminuir mientras se incrementa la presencia de especies generalistas (Pena et al., 2023).

La habituación de las especies de aves a la urbanización está condicionada en gran medida por sus características morfológicas y de historia de vida, como el tamaño corporal, la dieta y las estrategias de búsqueda de alimento (Croci et al., 2008). Además, esta habituación difiere según el rango de distribución de cada especie (Pena et al., 2023), siendo más vulnerables aquellas que habitan en el interior de los bosques (Fahrig, 2003; Uezu et al., 2005). A pesar de la fragmentación urbana, aún existen nichos ecológicos que algunas especies de aves pueden explotar. Esta capacidad de habituación a los entornos urbanos refleja su plasticidad para sobrevivir y prosperar en ambientes marcadamente fragmentados (Pagaldai et al., 2021).

Aunque el número de estudios centrados en los impactos de la urbanización sobre la diversidad de aves ha aumentado (Pagaldai et al., 2021; Pena et al., 2023), la comprensión de la colonización de las especies de aves en ciudades del Neotrópico sigue siendo limitada (Aguilar et al., 2016; Stiles et al., 2017). Entre los casos documentados se destaca el de la garcita del ganado (Bubulcus ibis), que ha colonizado tanto áreas rurales como urbanas (Parra-Hernández et al., 2015), y el chango llanero (Quiscalus lugubris), cuya presencia se ha extendido hacia la costa caribe de Colombia desde los departamentos de Magdalena y La Guajira (Strewe et al., 2006).

Otro caso relevante es el del ibis afeitado (Phimosus infuscatus), una especie nativa de Suramérica perteneciente a la familia Threskiornithidae, cuya distribución solía abarcar la región caribeña, los llanos orientales y los valles interandinos del río Magdalena, regularmente a elevaciones de 1.000 m s.n.m. (Hilty et al., 1986; Scheer et al., 2019). Sin embargo, recientemente se ha avistado en varios centros urbanos del país, pero su proceso de expansión a lo largo del tiempo no se ha estudiado ampliamente (Gómez-Londoño & Pulgarín-R, 2020). En ese contexto, nos propusimos evaluar si se ha incrementado la frecuencia de observación de P. infuscatus en zonas rurales y urbanas de Colombia durante las últimas décadas, utilizando como fuente de información registros disponibles en la plataforma eBird (2023).

Materiales y métodos

Obtención de la información

Los registros de observación de P. infuscatus en Colombia se obtuvieron en la plataforma eBird (2023). Los datos recopilados comprenden los registros de presencia de la especie en los diferentes departamentos del país e incluyen la fecha del avistamiento y las coordenadas geográficas del lugar. El periodo de estudio incluyó observaciones desde 1977 hasta 2023.

Los datos obtenidos corresponden a un muestreo no estandarizado y hacen parte de actividades de ciencia participativa y censos realizados por diversos investigadores para determinar si se había incrementado la frecuencia de observación de P. infuscatus en zonas rurales y urbanas de Colombia durante las últimas décadas. Antes de los análisis se hizo una curaduría de los datos para verificar su precisión, incluida la eliminación de listas duplicadas y vacías y la verificación de la información completa, así como la validación de las coordenadas geográficas para garantizar la exactitud del registro.

Análisis de datos

Se calculó la frecuencia de observación de P. infuscatus en los diferentes departamentos de Colombia dividiendo el número de avistamientos de la especie por el total de observaciones registradas en cada departamento (D'Angelo et al., 1998). Para analizar las variaciones temporales en la frecuencia de observación, los datos se organizaron en cuatro intervalos de tiempo: 1977-1987; 1988-1998; 1999-2009, y 2010-2023. Estos intervalos se seleccionaron con el fin de realizar una comparación equitativa y observar variaciones en la frecuencia de avistamientos a lo largo del tiempo.

Para separar las observaciones de las áreas urbanas de las rurales, se utilizó el programa ArcGIS 10.8. La delimitación espacial de las áreas de registro de la especie se hizo empleando un shapefile de cascos urbanos de Colombia del Instituto Geográfico Agustín Codazzi (IGAC) (2021) a una escala de 1:25.000. Posteriormente, se clasificaron los datos según su ubicación en áreas urbanas o rurales utilizando la herramienta 'select by location' de ArcGIS 10.8.

Para analizar cambios en la frecuencia de observación entre áreas y durante los intervalos de tiempo establecidos, se emplearon gráficos de barras de las librerías 'ggplot2', 'gridExtra'y 'ggpubr' del programa R, versión 4.0 (R Core Team, 2023). Para detectar diferencias estadísticamente significativas en la frecuencia de observación entre áreas urbanas y rurales y en los intervalos de tiempo definidos (1977-1987, 1988-1998, 1999-2009 y 2010-2013), se hizo un análisis de covarianza (ANCOVA) de dos vías utilizando como covariable el número de listados reportados por diferentes observadores en cada área durante los períodos de tiempo. Además, se llevó a cabo un análisis post hoc utilizando la prueba de Bonferroni para identificar diferencias específicas entre los grupos. Se consideraron significativos los valores de p<0,05. Estos análisis se hicieron utilizando la librería 'rstatiX del programa R.

Se determinó la elevación de cada registro utilizando la herramienta 'Add Surface Information' en ArcGIS. Se establecieron siete rangos de elevación, de manera que hubiera una separación uniforme de los distintos grupos que facilitara la interpretación de los resultados. Dichos intervalos se establecieron de 0 a 400, 500 a 1000, 1100 a 1600, 1700 a 2200, 2300 a 2900, 3000 a 3500 y 3600 a 4000 m s.n.m. Los datos se representaron gráficamente mediante diagramas de barras utilizando las librerías 'gridExtra'' y 'ggpubr' en el programa R. Asimismo, para determinar si existían diferencias estadísticamente significativas en la frecuencia de observación entre los diferentes rangos de elevación e intervalos de tiempo, se recurrió a un ANCOVA de dos vías en el programa R, utilizando el número de listados como covariable.

Por último, para analizar las variaciones espaciales y temporales en las observaciones de P. infuscatus, se diseñaron diferentes mapas con el programa ArcGIS 10.8. Se agruparon los datos en intervalos de una década a excepción del periodo entre 2010 y 2023, que se agrupó en intervalos más cortos (2010-2013, 2014-2017 y 2018-2023), para observar con mayor precisión el incremento en las observaciones de P. infuscatus durante estos últimos años. Por último, se empleó un ANCOVA de una vía utilizando como covariable los listados reportados y una prueba de Bonferroni para determinar los lapsos de tiempo significativamente diferentes. Para estos análisis se usó la librería 'rstatiX del programa R, versión 4.0.

Resultados

Se recopilaron 875.918 registros de P. infuscatus en Colombia, lo que evidenció un incremento de las observaciones a lo largo del tiempo. Entre 1977 y 1987 las observaciones aumentaron un 0,07 % en comparación con 1988-1998. Este incremento llegó al 0,92 % entre 1999 y 2009 (Figura 1). Durante el periodo 2010-2023, subdividido en 2010-2013, 20142017 y 2018-2023, los incrementos fueron del 0,23 %, 8,36 % y 78,51 %, respectivamente. Las diferencias en las observaciones a lo largo del tiempo fueron estadísticamente significativas (p=2e-16) (Tabla 1S, https://www.raccefyn.co/index.php/raccefyn/article/view/2641/4434), destacándose el periodo 2018-2023 (p=1,18e-11).

Figura 1 Incremento de las observaciones de P. infuscatus a lo largo de los años evaluados. 

En cuanto a las áreas urbanas y rurales, entre 1977 y 2009 la frecuencia de avistamientos fue significativamente mayor en zonas rurales. A partir de la década del 2000, se observó un incremento del 13 % en áreas urbanas, siendo el periodo 2010-2023 el de mayor frecuencia de observaciones (Figura 2). A nivel de áreas, P. infuscatus se avistó principalmente en zonas rurales de Colombia (Figura 2), con diferencias significativas en las observaciones entre áreas urbanas y rurales (p=3,92e-04) (Tabla 2S, https://www.raccefyn.co/index.php/raccefyn/article/view/2641/4434), destacándose el periodo 20102023 como el de más registros.

Figura 2 Comparación de la frecuencia de observación de P. infuscatus en zonas rurales y urbanas de Colombia. 

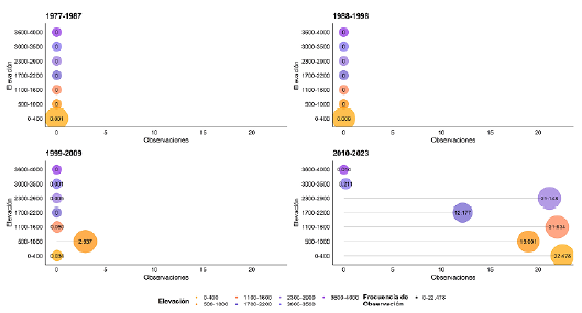
En cuanto a la elevación, aunque no se registraron diferencias estadísticamente significativas entre los distintos rangos de elevación a lo largo del tiempo (p=0,906) (Tabla 3S, https://www.raccefyn.co/index.php/raccefyn/article/view/2641/4434), la mayoría de las observaciones de la especie se concentraron entre los 400 y 1.600 m s.n.m. (Figura 3). Entre los 1.700 y los 2.200 m s.n.m., la frecuencia de observación disminuyó, pero aumentó nuevamente entre los 2.300 y 2.900 m s.n.m. Las menores frecuencias de avistamientos se registraron entre los 3.000 y los 4.000 m s.n.m. A lo largo del tiempo se observó un incremento en la frecuencia de observación entre los 0 y los 2.900 m s.n.m. (Figura 3).

Figura 3 Variación de la frecuencia de observación de P. infuscatus en distintos rangos de elevación. 

Discusión

El proceso de colonización de P. infuscatus en Colombia ha sido bastante dinámico, con un aumento significativo en la frecuencia de observación en áreas rurales y urbanas del país. Aunque la especie habitaba principalmente en zonas rurales, en los últimos años ha habido un incremento considerable en la frecuencia de observación en entornos urbanos, lo que demuestra su habituación exitosa a entornos altamente modificados por la actividad humana. En varios estudios realizados en el Valle de Aburrá en Antioquia, la Sabana de Bogotá y el Valle del Cauca se ha documentado esta tendencia creciente en la abundancia de la especie a lo largo del tiempo (Gómez-Londoño & Pulgarín-R, 2020; Ramírez-Urrea et al., 2014; Stiles et al., 2021).

Las aves se han caracterizado por ser un grupo muy sensible a las perturbaciones y los cambios en el paisaje, especialmente por el proceso de urbanización, el cual conlleva modificaciones en el uso del suelo, variaciones microclimáticas y pérdida de biodiversidad (Rodrigues et al., 2018). Sin embargo, a pesar de estos desafíos, diversas especies de aves han logrado colonizar y prosperar en entornos urbanos (Sol et al., 2014). La amplia disponibilidad de alimento en las ciudades proporciona una mayor cantidad de recursos, lo que les permite colonizar estos entornos con éxito (Diquelou et al., 2015; Stofberg et al., 2019). Esto es especialmente evidente para especies que pueden explotar recursos antropogénicos como los alimentos procesados (Møller, 2009).

En las ciudades los alimentos suelen ser más abundantes, predecibles en el tiempo y espacio, y menos propensos a fluctuaciones estacionales en comparación con los recursos naturales (Stofberg et al., 2019). Esta abundancia y previsibilidad de alimentos antropogénicos permiten que las especies dediquen menos tiempo y esfuerzo a la búsqueda de alimento (Stofberg et al., 2019). Además, la urbanización tiende a favorecer a las aves insectívoras al proporcionar un suministro continuo de alimentos en las áreas de recolección de desechos en las ciudades, las cuales ofrecen una fuente adicional de comida, permitiendo a las aves aprovechar los recursos sobrantes generados por las actividades humanas (Chace & Walsh, 2006; Shochat, 2004). Un ejemplo de esta habituación es el de la especie P. infuscatus, cuya frecuencia de observación en entornos urbanos ha aumentado notablemente en los últimos años.

Las actividades de forrajeo de esta especie suelen desarrollarse en zonas verdes cerca de cuerpos de agua, como quebradas o ríos, donde pueden encontrar fácilmente recursos alimenticios. Es común observar a la especie forrajeando en la zona ribereña, especialmente cuando el caudal del río es bajo (Gómez-Londoño & Pulgarín-R, 2020). Además, las aves de mayor tamaño corporal tienden a adaptarse con más facilidad a estos entornos, pues utilizan las capas superiores de la vegetación para anidar y alimentarse (Del Barco-Trillo, 2018; Pena et al., 2023). Estas especies también parecen mostrar una menor aversión a la presencia humana, lo que les permite desplazarse con más facilidad y a cortas distancias en busca de alimento (Pena et al., 2023).

El proceso de colonización y habituación de P. infuscatus a entornos urbanos ha sido documentado en diferentes estudios. En la ciudad de Cali, a finales de los años 90, la especie era considerada como visitante ocasional. Pero ya para el 2012 la especie se había establecido exitosamente en las áreas urbanas de la ciudad (Muñoz et al., 2007; Hernández-C et al., 2015). Asimismo, en la zona periurbana de Bogotá no se había avistado la especie hasta el 2001 (Rosselli et al., 2017), pero para el 2014, se había establecido con éxito en las áreas urbanas (Stiles et al., 2017). Según estudios realizados en Ibagué, la presencia de la especie se registró por primera vez en el municipio entre el 2004 y el 2006 (Parra-Hernández et al., 2007) y, con el paso de los años, se observó un incremento en su frecuencia de observación en la zona urbana, con un aumento del 16 % en los registros hasta el 2023.

La especie se avistó principalmente en zonas bajas, a elevaciones de alrededor de los 400 m s.n.m. Cabe destacar que debido a sus características climáticas y ambientales estas zonas son adecuadas para los cultivos de arroz, los cuales ofrecerían un entorno favorable para la especie, ya que las aves aprovechan la aparición esporádica de insectos en estos campos para alimentarse (Rivillas & Zaque, 2020). La alta frecuencia de observación de P. infuscatus en estas zonas podría estar relacionada con la presencia de dichos cultivos. En el estudio de Sanabria-Mejía et al. (2007) se encontró que P. infuscatus fue la especie más abundante en este tipo de hábitat, con un total de 1.135 registros.

En cuanto a la elevación, P. infuscatus se avistó con una frecuencia del 21 % entre los 2.300 y los 2.900 m s.n.m., lo que coincide con los hallazgos de Ramírez-Urrea et al. (2014) referidos a la estructura y composición de las comunidades de aves en el río La Vieja en los departamentos de Valle del Cauca, Quindío y Risaralda entre el 2001 y el 2013. Los autores encontraron que la especie fue avistada principalmente en localidades por encima de los 2.000 m s.n.m., lo que resalta la capacidad de la especie para establecerse en diferentes elevaciones en su proceso de colonización en Colombia. Este desplazamiento hacia otras elevaciones podría estar relacionado con las perturbaciones en los ecosistemas (Gómez-Londoño & Pulgarín-R, 2020).

Entre los 3.000 y los 4.000 m s.n.m. la frecuencia de observación fue baja, disminución que podría atribuirse a varios factores ambientales. Por ejemplo, con el aumento de la elevación la temperatura tiende a disminuir, lo que puede crear un entorno menos favorable para la especie (Balasubramaniam & Rotenberry, 2016). Además, la disponibilidad de insectos, que constituyen una fuente importante de alimento para P. infuscatus, también disminuye a mayores altitudes debido a las temperaturas más frías (Ghimire et al., 2021).

El proceso de desplazamiento de esta especie hacia áreas urbanas de Colombia también se ha observado en otros países de Suramérica como Argentina, donde se encontró una relación entre los registros de la especie en entornos urbanos con temporadas de escasez hídrica, lo que sugiere que la variabilidad climática puede ser un factor que ocasiona el desplazamiento de la especie hacia ambientes urbanos en busca de recursos (Acosta & Dadon, 2013). En Brasil también se determinó que la rápida colonización de la especie en la región de Santa Catarina podría ser el resultado de la transformación del paisaje debido a las actividades agrícolas (Piacentini et al., 2009).

Por otro lado, este proceso de habituación a entornos urbanos se ha encontrado en otras especies de la familia Threskiornithidae. Un caso muy estudiado es el de Threskiornis molucca en Australia donde esta especie logró colonizar las áreas urbanas de manera exitosa. Se cree que en este caso el cambio en la distribución fue impulsado por las actividades antropogénicas en los humedales del este de Australia, los cuales se han visto degradados principalmente debido a las prácticas agrícolas, la expansión humana y la construcción de represas (Martin et al., 2010; McKiernan & Instone, 2016).

En Colombia los humedales de los Andes orientales, que albergan una gran diversidad de aves y donde se observa frecuentemente a P. infuscatus, se localizan en las zonas más pobladas y productivas del país. Este cambio ha provocado la pérdida de más del 97 % de su área original y la extinción de especies endémicas como el zambullidor andino (Podiceps andinus) (Rosselli & Stiles, 2012). Esta reducción del hábitat podría estar contribuyendo a la disminución de las poblaciones de otras aves acuáticas (van der Hammen et al., 2008). Los humedales de la Sabana de Bogotá en particular están siendo fragmentados y enfrentan elevados niveles de contaminación debido a la industrialización, el desbordamiento de rellenos sanitarios y la contaminación con aguas residuales (Rosselli & Stiles, 2012; van der Hammen et al., 2008; Vásquez et al., 2006).

El incremento en la frecuencia de observación de P. infuscatus observado a lo largo de los años, especialmente entre el 2014 y el 2023 (86,87 %), podría estar relacionado, en cierto modo, con el creciente uso de la plataforma eBird por parte de una amplia comunidad de observadores de aves en el país (Gómez-Londoño & Pulgarín-R, 2020). En ese lapso de tiempo la plataforma eBird presentó un aumento significativo en el número de personas interesadas en realizar avistamientos de aves en Colombia. Los registros recopilados a través de esta plataforma representan una valiosa herramienta para el monitoreo participativo de comunidades de aves (Sullivan et al., 2009), convirtiéndola en una plataforma integral para la investigación, la conservación y la educación sobre las aves y sus hábitats (Gómez-Londoño & Pulgarín-R, 2020; La Sorte & Somveille, 2019).

El crecimiento en la participación ciudadana en la observación y registro de aves destaca el potencial de eBird como una herramienta colaborativa que contribuye con la divulgación científica y la conservación de la avifauna en Colombia. No obstante, es esencial reconocer las limitaciones de este tipo de datos, pues a menudo presentan errores, suposiciones y sesgos debido a la falta de estandarización en el proceso de recolección (Johnston et al., 2021). En el caso específico de P. infuscatus, una especie gregaria, esto puede llevar a una sobreestimación de su abundancia (Vallecillo et al., 2022), especialmente cuando se observa el vuelo de las aves en grandes bandadas (Matamala et al., 2020). El aumento en el número de observadores y el uso recurrente de eBird pueden haber contribuido al aumento aparente en la frecuencia de observación de la especie en las últimas décadas, sesgo que puede influir en la interpretación de los resultados. Es fundamental, por lo tanto, tener en cuenta estos factores al realizar futuras investigaciones.

En nuestro estudio no se consideraron las diferencias en el tamaño y las características de las áreas urbanas en los diferentes departamentos de Colombia, lo que constituiría una variable que podría influir significativamente en las poblaciones de P. infuscatus. La falta de distinción entre áreas urbanas de diferentes tamaños y características limita la comprensión de cómo tales variaciones afectan la frecuencia de observación y distribución de la especie. Por lo tanto, en futuros estudios es importante incorporar esta variable para obtener una comprensión más completa de cómo la urbanización influye en las poblaciones de esta especie.

Conclusiones

Phimosus infuscatus ha experimentado cambios significativos en su distribución a lo largo de los años en Colombia. Aunque la especie se ha avistado principalmente en zonas rurales, a partir del 2000 se observó un incremento en la frecuencia de observación en áreas urbanas, posiblemente debido a la amplia disponibilidad de alimento en las ciudades. Esta especie parece beneficiarse de la urbanización y tiene poca aversión a la presencia humana cuando se desplaza a cortas distancias en busca de alimento. Además, el aumento en la frecuencia de observación de la especie a lo largo del tiempo también puede atribuirse al incremento en el uso de la plataforma eBird por parte de una amplia comunidad de observadores de aves. Debe reconocerse el potencial de la plataforma para desarrollar estudios sobre la avifauna colombiana, pues es una valiosa herramienta para el monitoreo participativo de comunidades de aves y la conservación de especies.

Agradecimientos

A la plataforma eBird por facilitar la información requerida para el presente estudio.

Referencias

Acosta, T. H. & Dadon, J. R. (2013). Ambientes urbanos como refugios del Cuervillo cara pelada (Phimosus infuscatus) ante el déficit hídrico transitorio. Nótulas Faunísticas, 126, 1-5. [ Links ]

Aguilar, J. M., Freile, J. F., Tinoco, B. A. (2016). Rapid colonization of Ecuador by the tropical mockingbird (Mimus gilvus). Ornitologia Neotropical, 27, 155-162. https://doi.org/10.58843/ornneo.v27i0.51Links ]

Aldana-Domínguez, J., Palomo, I., Gutiérrez-Angonese, J., Arnaiz-Schmitz, C., Carlos, M., Francisco, N. (2019). Assessing the effects of past and future land cover changes in ecosystem services, disservices and biodiversity : A case study in Barranquilla Metropolitan Area (BMA), Colombia. Ecosystem Services, 37, 100915. https://doi.org/10.1016/J.ECOSER.2019.100915Links ]

Balasubramaniam, P. & Rotenberry, J. T. (2016). Elevation and latitude interact to drive life-history variation in precocial birds: a comparative analysis using galliformes. Journal of Animal Ecology, 85(6), 1528-1539. https://doi.org/10.1111/1365-2656.12570Links ]

Chace, J. F. & Walsh, J. J. (2006). Urban effects on native avifauna: A review. Landscape and Urban Planning, 74(1), 46-69. https://doi.org/10.1016/j.landurbplan.2004.08.007Links ]

Croci, S., Butet, A., Clergeau, P. (2008). Does urbanization filter birds on the basis of their biological traits? The Condor, 110(2), 223-240. https://doi.org/10.1525/cond.2008.8409Links ]

D'Angelo, S., Venturin, N., Oliveira, A., Frieiro, F. (1998). Avifauna de quatro fisionomias florestais de pequeno tamanho (5-8 ha) no campus da UFLA. Revista Brasileira de Biologia, 58(3), 463-472. https://doi.org/10.1590/s0034-71081998000300011Links ]

Del Barco-Trillo, J. (2018). Shyer and larger bird species show more reduced fear of humans when living in urban environments. Biology Letters, 14(4). https://doi.org/10.1098/rsbl.2017.0730Links ]

Delgado, C. A. & Correa, J. C. (2013). Estudios ornitológicos urbanos en Colombia: revisión de literatura. Ingeniería y Ciencia, 9(18), 215-236. [ Links ]

Diquelou, M.C., Griffin, A., Sol, D. (2016). The role of motor diversity in foraging innovations: a cross-species comparison in urban birds. Behavioral Ecology, 27, 584-591. https://doi.org/10.1093/beheco/arv190Links ]

Dobbs, C., Escobedo, F. J., Clerici, N., de la Barrera, F., Eleuterio, A. A., MacGregor-Fors, I., Reyes-Paecke, S., Vásquez, A., Zea Camaño, J. D., Hernández, H. J. (2019). Urban ecosystem Services in Latin America: mismatch between global concepts and regional realities? Urban Ecosystems, 22(1), 173-187. https://doi.org/10.1007/s11252-018-0805-3Links ]

eBird. (2023). eBird: An online database of bird distribution and abundance [web application]. https://www.ebird.org. [ Links ]

Fahrig, L.(2003). Effects of habitat fragmentation onbiodiversity. Annual Review of Ecology, Evolution, and Systematics, 34, 487-515. https://doi.org/10.1146/annurev.ecolsys.34.011802.132419Links ]

Ghimire, A., Rokaya, M B., Timsina, B., Bílá, K., Shrestha, U. B., Chalise, M K., Kindlmann, P. (2021). Diversity of birds recorded at different altitudes in central Nepal Himalayas. Ecological Indicators, 127, 107730. https://doi.org/10.1016/J.ECOLIND.2021.107730Links ]

Gómez, C., Cadena, C. D., Sierra-Ricaurte, A., Soto-Patiño, J., Cuervo, A. M., Díaz-Cardenas, J., Ocampo-Peñuela, N., Ocampo, D., Seeholzer, G. (2022). Reexpedición Colombia: Entender el pasado para empoderar acciones que fortalezcan el conocimiento y conservación de las aves. Biota Colombiana, 23(1), e984. https://doi.org/10.21068/2539200X.984Links ]

Gómez-Londoño, D. M. & Pulgarín-R, P. C. (2020). Colonización, patrones de distribución y uso de hábitat del Ibis Negro (Phimosus infuscatus) en la zona urbana del Valle de Aburrá, Colombia. [Tesis de pregrado, Universidad CES]. https://repository.ces.edu.co/handle/10946/4735Links ]

Hernández-C, O., Cardona-B, V., Montoya-V, P. (2015). Riqueza de especies de aves en el campus de la Universidad del Valle, once años después. Revista Colombiana de Ciencia Animal, 7(1), 25-34. https://doi.org/10.24188/recia.v7.n1.2015.419Links ]

Hilty, S. & Brown, W. (1986). A Guide to the Birds of Colombia. (Vol. 1). Princeton University Press. [ Links ]

Johnston, A., Hochachka, W. M., Strimas-Mackey, M. E., Ruiz Gutierrez, V., Robinson, O. J., Miller, E. T., Auer, T., Kelling, S. T., Fink, D. (2021). Analytical guidelines to increase the value of community science data: An example using eBird data to estimate species distributions. Diversity and Distributions, 27(7), 1265-1277. https://doi.org/10.1111/ddi.13271Links ]

Korányi, D., Gallé, R., Donkó, B., Chamberlain, D. E., Batáry, P. (2021). Urbanization does not affect green space bird species richness in a mid-sized city. Urban Ecosystems, 24, 789-800. https://doi.org/10.1007/s11252-020-01083-2/PublishedLinks ]

La Sorte, F. A. & Somveille, M. (2019). Survey completeness of a global citizen-science database of bird occurrence. Ecography, 42, 1-10. https://doi.org/10.1111/ecog.04632Links ]

Liker, A., Papp, Z., Bókony, V., Lendvai, Á. Z. (2008). Lean birds in the city: Body size and condition of house sparrows along the urbanization gradient. Journal of Animal Ecology, 77(4), 789-795. https://doi.org/10.1111/j.1365-2656.2008.01402.xLinks ]

Martin, J., French, K., Major, R. (2010). Population and breeding trends of an urban coloniser: the Australian white ibis. Wildlife Research, 37, 230-239. https://doi.org/10.1071/WR10047Links ]

Martínez-Núñez, C., Martínez-Prentice, R., García-Navas, V. (2023). Land-use diversity predicts regional bird taxonomic and functional richness worldwide. Nature Communications, 14(1), 1320. https://doi.org/10.1038/s41467-023-37027-5Links ]

Matamala, M., A. Echeverri, I. Medina, E. N. Salazar-Gómez, V. Alarcón, Cadena, C. D. (2020). Bare-faced Ibis (Phimosus infuscatus), version 1.0. Birds of the World (T. S. Schulenberg, Editor). Cornell Lab of Ornithology. https://doi.org/10.2173/bow.bafibi1.01Links ]

McKiernan, S. & Instone, L. (2016). From pest to partner: rethinking the Australian White Ibis in the more-than-human city. Cultural Geographies, 23(3), 1-20. https://doi.org/0.1177/1474474015609159Links ]

Møller, A.P. (2009). Successful city dwellers: a comparative study of the ecological characteristics of urban birds in the Western Palearctic. Oecologia, 159, 849-858. https://doi.org/10.1007/s00442-008-1259-8Links ]

Muñoz, M. C., Fierro-Calderón, K., Rivera-Gutiérrez, H. F. (2007). Las aves del campus de la Universidad del Valle, una isla verde urbana en Cali, Colombia. Ornitología Colombiana, 5(5), 5-20. https://doi.org/10.59517/oc.e492Links ]

Ordóñez-Delgado, L., Iñiguez-Armijos, C., Díaz, M., Escudero, A., Gosselin, E., Waits, L. P., Espinosa, C. I. (2022). The Good, the Bad, and the Ugly of Urbanization: Response of a Bird Community in the Neotropical Andes. Frontiers in Ecology and Evolution, 10, 844-944. https://doi.org/10.3389/fevo.2022.844944Links ]

Pagaldai, N., Arizaga, J., Jiménez-Franco, M. V., Zuberogoitia, I. (2021). Colonization of urban habitats: Tawny owl abundance is conditioned by urbanization structure. Animals, 11 (10), 2954. https://doi.org/10.3390/ani11102954Links ]

Parra-Hernández, R., Carantón-Ayala, D., Sanabria-Mejía, J., Barrera-Rodríguez, L., Sierra-Sierra, A., Moreno-Palacios, M., Yate-Molina, W., Figueroa-Martínez, W., Díaz-Jaramillo, C., Florez-Delgado, V., Certuche-Cubillos, J., Loaiza-Hernández, H., Florido-Cuellar, B. (2007). Aves del municipio de Ibagué - Tolima, Colombia. Biota Colombiana, 8(2), 199-220. [ Links ]

Parra-Hernández, R., Tolosa, W., Figueroa, W. (2015). Nuevos registros y estado actual de las especies introducidas en el municipio de Ibagué. Revista Tumbaga, 1(10), 58-75. [ Links ]

Pena, J. C., Ovaskainen, O., MacGregor-Fors, I., Teixeira, C. P., Ribeiro, M. C. (2023). The relationships between urbanization and bird functional traits across the streetscape. Landscape and Urban Planning, 232, 104-685. https://doi.org/10.1016/j.landurbplan.2023.104685Links ]

Piacentini, V., Ghizoni-Jr, I., Guimarães, M., Carrano, E., Borchardt-Jr, C., Amorim, J., Grose, A. (2009). Ocorrência, expansão e distribuição do maçarico-de-cara-pelada Phimosus infuscatus (Lichtenstein, 1823) (Ciconiiformes: Threskiornithidae) no Estado de Santa Catarina, sul do Brasil. Revista Brasileira de Ornitologia, 17, 107-112. [ Links ]

R Core Team. (2023). R: A language and environment for statistical computing. R Foundation for Statistical Computing. https://www.R-project.org/Links ]

Ramírez-Urrea, L., Arbeláez-Cortés, E., Marín-Gómez, O., Duque-Montoya, D. (2014). Patrones de la composición de aves acuáticas en el río la vieja, valle geográfico del Río Cauca, Colombia. Acta Biológica Colombiana, 19(1), 155-166. [ Links ]

Rivillas, A. M. & Zaque, W. B. (2020). Rice Growing Environment of the Ibagué Belt, Colombia: An Ecological Study at the Geotope Scale. The Geographical Bulletin, 61(1), 5-17. [ Links ]

Rodrigues, A. G., Borges-Martins, M., Zilio, F. (2018). Bird diversity in an urban ecosystem: The role of local habitats in understanding the effects of urbanization. Iheringia - Serie Zoologia, 108, e2018017. https://doi.org/10.1590/1678-4766e2018017Links ]

Rosselli, L., De la Zerda, S., Candil, J. (2017). Cambios en la avifauna de un relicto de bosque en la franja periurbana de Bogotá a lo largo de catorce años. Acta Biológica Colombiana, 22(2), 181-190. https://doi.org/10.15446/abc.v22n2.60688Links ]

Rosselli, L. & Stiles, F. G. (2012). Wetland habitats of the Sabana de Bogotá Andean Highland Plateau and their birds. Aquatic Conservation: Marine and Freshwater Ecosystems, 22(3), 303-317. https://doi.org/10.1002/aqc.2234Links ]

Sanabria-Mejía, J., Moreno-Palacios, M., Lugo-Camacho, A., Florido-Cuellar, B., Díaz-Jaramillo, C., Certuche-Cubillos, K (2007). Arroceras Como Hábitat Potencial Para Aves Acuáticas: Una evaluación rápida a través del Censo Neotropical de Aves Acuáticas en el municipio de Ibagué, Colombia. (Nro. 003) Grupo de Observadores de Aves del Tolima https://doi.org/10.13140/RG.2.1.3876.0481Links ]

Scheer, S., Mascarenhas, C. S., Macedo, M R. P., Muller, G. (2019). Helminths Assemblage of the bare-faced ibis, Phimosus infuscatus (Lichtenstein, 1823) (Pelecaniformes: Threskiornithidae), in southern Brazil. Revista Brasileira de Parasitologia Veterinaria, 28(1), 40-46. https://doi.org/10.1590/s1984-29612019001Links ]

Schütz, C. & Schulze, C. H. (2015). Functional diversity of urban bird communities: Effects of landscape composition, green space area and vegetation cover. Ecology and Evolution, 5(22), 5230-5239. https://doi.org/10.1002/ece3.1778Links ]

Shochat, E. (2004). Credit or debit? Resource input changes population dynamics of city-slicker birds. Oikos, 106(3), 622-626. https://doi.org/10.1111/j.0030-1299.2004.13159.xLinks ]

Sol, D., González-Lagos, C., Moreira, D., Maspons, J., Lapiedra, O. (2014). Urbanisation tolerance and the loss of avian diversity. Ecology Letters, 17(8), 942-950. https://doi.org/10.1111/ele.12297Links ]

Stiles, G., Rosselli, L., De La Zerda, S. (2017). Changes over 26 years in the avifauna of the Bogotá region, Colombia: Has climate change become important? Frontiers in Ecology and Evolution, 5, 58. https://doi.org/10.3389/fevo.2017.00058Links ]

Stiles, G., Rosselli, L., De La Zerda, S. (2021). Una avifauna en cambio: 26 años de conteos navideños en la Sabana de Bogotá, Colombia. Ornitología Colombiana, 19, 1-50. http://asociacioncolombianadeornitologia.org/Links ]

Stofberg, M., Cunningham, S. J., Sumasgutner, P., Amar, A. (2019). Juggling a "junk-food" diet: responses of an urban bird to fluctuating anthropogenic-food availability. Urban Ecosystems, 22(6), 1019-1026. https://doi.org/10.1007/s11252-019-00885-3Links ]

Strewe, R., Villa-De León, C., Lobatón, G., Morales, A., Ayerbe, F. (2006). Ampliación del rango de distribución del Chango llanero Quiscalus lugubris (Icteridae) en Colombia. Revista Intropica, 3(1), 109-112. [ Links ]

Sullivan, B. L., Wood, C. L., Iliff, M. J., Bonney, R. E., Fink, D., Kelling, S. (2009). eBird: A citizen-based bird observation network in the biological sciences. Biological Conservation, 142(10), 2282-2292. [ Links ]

Uezu, A., Metzger, J. P., Vielliard, J. (2005). Effects of structural and functional connectivity and patch size on the abundance of seven Atlantic Forest bird species. Biological Conservation, 123(4), 507-519. https://doi.org/10.1016/j.biocon.2005.01.001Links ]

Valencia, A. L. M., Hincapié, C. F. Á., Giraldo, C. E., Soto, S. U. (2018). Análisis multitemporal del paisaje en el Magdalena Medio en el periodo 1985-2011: una ventana de interpretación de cambios históricos e implicaciones en la conectividad estructural de los bosques. Cuadernos de Geografia: Revista Colombiana de Geografia, 27(1), 10-26. https://doi.org/10.15446/rcdg.v27n1.55783Links ]

Vallecillo, D., Guillemain, M., Authier, M., Bouchard, C., Cohez, D., Vialet, E., Massez, G., Vandewalle, P., Champagnon, J. (2022). Accounting for detection probability with overestimation by integrating double monitoring programs over 40 years. PLoS ONE, 17(3), e0265730. https://doi.org/10.1371/journal.pone.0265730Links ]

van der Hammen, T., Stiles, F.G., Rosselli, L., Chisacá, M.L., Camargo, G., Guillot, G., Useche, Y., Rivera, D. (2008). Protocolo de recuperación y rehabilitación ecológica de humedales en centros urbanos. Secretaría Distrital de Ambiente -SDA, Alcaldía Mayor de Bogotá, Bogotá. [ Links ]

Vásquez, C., Ariza, A., Pinilla, G. (2006). Descripción del estado trófico de diez humedales del altiplano cundiboyacense. Universitas Scientiarum, 11 (2), 61-75. [ Links ]

Citación: Ramos-Mosquera V. & López-Delgado E.O. Análisis multitemporal de la frecuencia de observación de Phimosus infuscatus (Threskiornithidae) en Colombia. Revista de la Academia Colombiana de Ciencias Exactas, Físicas y Naturales. 48(189):886-896, octubre-diciembre de 2024. doi: https://doi.org/10.18257/raccefyn.2641

Editor: Natalia Ocampo Peñuela

Contribución de los autores V.R.M y E.O.L.D: solicitud de información, análisis de datos y redacción del manuscrito.

Información suplementaria

Ver la información suplementaria en https://www.raccefyn.co/index.php/raccefyn/article/view/2641/4434

Recibido: 03 de Mayo de 2024; Aprobado: 19 de Noviembre de 2024; Publicado: 09 de Diciembre de 2024

*Correspondencia: Valentina Ramos-Mosquera; valentina.ramosm27@gmail.com

Conflicto de intereses

Los autores declaran no tener ningún conflicto de intereses.

Creative Commons License Este es un artículo publicado en acceso abierto bajo una licencia Creative Commons