INTRODUCTION
Weeds are unwanted plants that cause unfavorable changes in crops and economic loss, as well as plants growing where they are not desired (Zimdahl, 2018). Weeds are a problem because they compete with different crops for important resources such as space, water, soil nutrients, light, and others (Chauvel et al., 2012). They cause a direct loss of approximately 10% in agricultural production and cause significant expenses due to reduced quality and quantity of products (Zimdahl, 2018; Cobb, 2022).
The genus Rumex (Polygonaceae) is known to host species of interest for crops, but it also includes species considered weeds, such as Rumex crispus. This plant has a widespread distribution and is considered problematic in cultivated lands and pastures due to its fast growth rate and resistance to adverse environmental factors (Petrova et al., 2015; Feduraev et al., 2019). Amaranthus hybridus from the Amaranthaceae family is a commonly found weed in rural areas (Ngoroyemoto et al., 2019). It is a species of concern due to its high fertility, genetic variability, stress tolerance, and, most notably, its ability to develop resistance to herbicides. García et al. (2020) reported approximately 30 cases where A. hybridus exhibited resistance to herbicides with different modes of action, including glyphosate.
Due to the negative effects resulting from the use of chemical herbicides, the implementation of new sustainable and efficient options for controlling weeds is necessary (Kudsk and Streibig, 2003; Cobb, 2022). The biochemical interactions between plants (allelopathy) have been studied to produce bioherbicides by releasing and producing allelochemicals, which are secondary metabolites that can exhibit positive or negative allelopathy on the germination, growth, survival and reproduction of neighboring plants (El-Gawad et al., 2019; Zhu et al., 2021).
Among the species studied for their allelopathic activity is the champa tree (Campomanesia lineatifolia R. & P.), a native fruit tree of the Amazon with significant commercial potential. Its fruits contain six to eight seeds, which possess a wide variety of allelochemicals that have demonstrated bioherbicidal activity (Cabeza et al., 2021;González et al., 2021;Martínez et al., 2022). Secondary metabolites, including flavonoids, tannins, terpenes, and quercetin, have been documented in the leaves, fruits, and seeds of a species from the Campomanesia genus, which exhibit antioxidant and allelopathic activity (Martínez et al., 2022; Sugauara et al., 2023). Maestre et al. (2023) characterized the phenolic compounds present in the seed extract of C. lineatifolia, identifying 20 compounds grouped into catechins, phenolic acids, flavonoids, and anthocyanins. This study revealed the negative allelopathic activity of the C. lineatifolia hydroalcoholic extract on the germination of R. crispus and A. hybridus.
The extraction method using organic solvents is a common tool, due to its simple methodology and good yield. Plant extract fractionation is used to sequentially separate the secondary metabolites present in the extracts according to their different polarities (Barbosa et al., 2023). Methylene chloride or dichloromethane, which is a polar solvent (less polar than water) commonly used in fractionation because of its polarity, separates moderately polar compounds (Rojas, 2021). Among the polar compounds identified by Maestreet al. (2023) in the C. lineatifolia extract are anthocyanins (Shams et al., 2024), flavonoids (Muhamad et al.,2014), and catechins (Flórez, 2018).
The specific secondary metabolite responsible for the allelopathic activity observed in the seed extract of C. lineatifolia remains unidentified. To elucidate the compounds contributing to this activity, it is essential to separate and analyze the various constituents present in the extract. Therefore, this study aimed to extract the compounds from the dichloromethane fraction of C. lineatifolia and evaluate their herbicidal or allelopathic effects on the germination of R. crispus and A. hybridus seeds.
MATERIALS AND METHODS
Seed collection
Plant samples of R. crispus and A. hybridus were collected in the municipality of Paipa, Boyaca (Colombia), and identified using the guide by De Rzedowski (2005). From these samples, the seeds were extracted using tweezers and left to dry at room temperature.
The champa seeds were manually collected from mature fruits grown in the municipality of Miraflores (Boyaca), identified using the guides by Landrum (1986) and Parra (2014). Subsequently, they were washed to remove any remaining fruit residue, dried at room temperature, and stored in a refrigerator at 4°C.
Preparation of hydroalcoholic extract and its fractions for germination tests
The hydroalcoholic extract and its fraction were obtained following the methods proposed by Haddou et al. (2024) and Abdel Ghani et al. (2023). A total of 900 g of dried seeds of C. lineatifolia were crushed and subsequently distributed into glass containers, which were covered with paper. To each glass container, 300 g of crushed seeds and 1 L of 96% ethanol were added to each glass, and the contents were constantly agitated.
After 2 weeks, the solution was filtered, and the remaining liquid was subjected to a distillation process using a rotary evaporator (Heidolph HS Digital, Schwabach, Germany) at a temperature range of 65-70°C and a pressure of 53.3 kPa. The remaining solution was then placed at room temperature in glass containers with air inlets to remove excess ethanol. To expedite the process, the extract was evenly heated using water baths until it solidified.
The pure extract was further separated via sequential solvent extraction. For this, 120 g of the extract was fractionated using solvents of increasing polarity. The process was initiated with petroleum ether, and the residue was then mixed with dichloromethane. The resulting mixture was distilled using a rotary evaporator to obtain the dichloromethane fraction. This fraction was used for the germination tests and was diluted in distilled water to create three different concentrations: 100, 300, and 600 mg L-1.
Experimental design and treatments
For the germination tests of R. crispus and A. hybridus, completely randomized designs were conducted, comprising four treatments and four replications for each species. The treatments varied in the concentrations of the dichloromethane fraction, with concentrations of 0, 100, 300, and 600 mg L-1. In total, 16 experimental units were set up for each species, each comprising a Petri dish with an absorbent paper on which 50 seeds were placed (Martínez et al., 2022; Maestre et al., 2023). The respective treatments were applied every 3 d using only distilled water for the 0 mg L-1 treatment. The experiments were separately conducted for each species over 24 d, maintaining an average temperature of 20±2°C and a natural photoperiod of 12 h.
Germination variables and seed viability
Germination readings were conducted daily throughout the duration of the experiments, starting from the time of sowing and recording the seed germination with a visible radicle >2mm (Maestre et al., 2023) that additionally exhibited radicle curvature. Using the formulas reported by Maestre et al. (2023) and Niño-Hernandez et al. (2020), the percentage of germination (PG), mean germination speed (MGS) (seeds/d), and mean germination time (MGT) (d) were calculated.
For the seed viability assay, longitudinal cuts were made on seeds that failed to germinate during the germination test. A 1% solution of 2,3,5-triphenyl tetrazolium was prepared using distilled water. Subsequently, the seeds (separated by treatments) were immersed in Petri dishes with absorbent paper and tetrazolium solution, following the method described by Niño-Hernandez et al. (2020). Finally, they were kept at 37°C in darkness for 2 h to evaluate viability according to the categories nonviable, doubtful, and viable seeds, as proposed for A. hybridus and R. crispus (Niño-Hernandez et al. 2020; Maestre et al., 2023).
Statistical analysis
In SPSS software version 23, the Shapiro-Wilk test and Levene’s test were performed to assess the normality and homogeneity of variances, respectively. Variables that met the assumptions were subjected to an analysis of variance and, if significant differences (P<0.05) were observed, they were further analyzed using Tukey’s test (P<0.05) for mean comparisons. Variables that did not meet the assumptions were transformed using the arcsine √x and square root functions.
A logistic model (Eq. 1) was fitted using the R version 3.6.0 program to determine the behavior over time of the percentage and germination rate curves. The first derivative of the model was then calculated to obtain the germination rate (Cepeda et al., 2021; Leguízamo-Medina et al., 2022).
"Y" is the germination percentage, "a" is the maximum magnitude of the variable, "b" corresponds to the slope of the curve, "c" is the moment of highest rate, and "T" is the time at which the highest rate occurs.
RESULTS
Behavior of germination as a function of time for R. crispus
The behavior of germination as a function of time was adjusted using the logistic model (Fig. 1, Tab. 1). Seeds subjected to concentrations of 100 and 300 mg L-1 dichloromethane fraction from C. lineatifolia exhibited higher germination than those exposed to 0 and 600 mg L-1 throughout most of the duration of the experiment. At the end of the experiment, the seeds treated with a concentration of 100 mg L-1 showed the highest germination percentage. However, as shown in figure 1A, the seeds treated with 0 mg L-1 consistently germinated in larger quantities than those treated with 600 mg L-1, which exhibited lower germination behavior and did not reach even 20% during the 24 d duration of the experiment.

Figure 1. Germination behavior of Rumex crispus percentage (A) and germination rate (B) at different concentrations of the dichloromethane fraction from Campomanesia lineatifolia over time.
Table 1. Logistic model equations for the germination percentage of Rumex crispus at different concentrations of the dichloromethane fraction from Campomanesia lineatifolia.
| Treatment | Equation | RMSE |
|---|---|---|
| 0 mg L-1 |
|
2.774467*** |
| 100 mg L-1 |
|
3.183*** |
| 300 mg L-1 |
|
2.800106*** |
| 600 mg L-1 |
|
1.134929*** |
RMSE: root mean square error. *** P<0.001.
Figure 1B shows the behavior of the germination rate over time. The treatment with a concentration of 300 mg L-1 reached its peak germination rate fastest, at day 8 after sowing. However, after reaching the peak, the rate decreased. Throughout the experiment, the treatment with 600 mg L-1 exhibited a lower germination rate. The treatments with 0 and 100 mg L-1 remained similar in terms of germination rate, although the 0 mg L-1 treatment achieved a higher germination rate than the 100 mg L-1 treatment.
Germination and mean germination speed of R. crispus
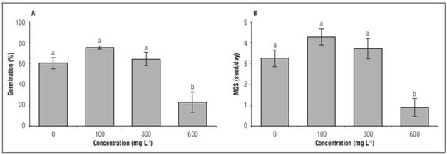
The 600 mg L-1 treatment showed significant differences in germination percentage (P<0.05) compared with the treatments of 0, 100, and 300 mg L-1 of dichloromethane fraction from C. lineatifolia. The treatment with 100 mg L-1 exhibited the highest germination percentage (75.5±1.71%), whereas the treatment with 600 mg L-1 showed the lowest percentage (23±9.75%, Fig. 2A).

Figure 2. Effect of different concentrations of the dichloromethane fraction from Campomanesia lineatifolia on the germination (A) and mean germination speed - MGS (B) of Rumex crispus, at 24 days. Means with different letters indicate significant differences according to Tukey’s test (P<0.05). Vertical bars on each column represent the standard error (n=4).
For MGS, no significant difference was observed in germination rate among the treatments of 0, 100, and 300 mg L-1 concentrations of dichloromethane fraction. However, the 600 mg L-1 treatment (P<0.05) had the lowest germination rate of 0.89±0.43 seeds/d, indicating it did not reach the germination rate of even one seed per day. In contrast, the 100 mg L-1 treatment exhibited the highest mean germination rate, with approximately 4 seeds/d, followed by the 300 mg L-1 treatment and finally the 0 mg L-1 treatment with 3.27±0.40 seeds/d (Fig. 2B).
Mean germination time and seed viability of R. crispus
The seeds treated with concentrations of 0 and 100 mg L-1 dichloromethane fraction from C. lineatifolia did not show significant differences (P>0.05) from each other or from the concentrations of 300 and 600 mg L-1. However, significant differences were observed in MGT between the 300 and 600 mg L-1 treatments. The treatment that required the longest time for germination was 600 mg L-1 with an MGT=18.18±3.07 d, whereas the one with the shortest time was 300 mg L-1 with an MGT of 9.68±0.58 d (Fig. 3A).

Figure 3. Effect of different concentrations of the dichloromethane fraction from Campomanesia lineatifolia on the mean germination time - MGT (A) and seed viability (B) of Rumex crispus. Means with different letters indicate significant differences according to Tukey’s test (P<0.05). Vertical bars on each column represent the standard error (n=4).
The viability test results are shown in figure 3B, categorized as nonviable, doubtful, and viable seeds. No statistically significant differences were found between viable and doubtful seeds. However, significant differences were observed among the treatments for nonviable seeds, with the 600 mg L-1 treatment showing 33±1.76% of nonviable seeds. This indicates that the dichloromethane fraction may have led to embryo mortality in R. crispus seeds.
Behavior of germination as a function of time for A. hybridus
For A. hybridus, germination and germination speed as a time function were described using the logistic model (Fig. 4, Tab. 2). The 0 mg L-1 treatment always showed a higher germination percentage than the other treatments. The 100 mg L-1 dichloromethane fraction treatment from C. lineatifolia had the second highest germination, followed by the 300 and 600 mg L-1 treatments. According to figure 4, the germination of the 600 mg L-1 treatment began after 20 d and barely reached 5%. There was a difference of at least 15% in germination percentage between the treatments with a concentration of 100 and the 0 mg L-1, similar to the difference observed between the 100 and 300 mg L-1 dichloromethane fraction from C. lineatifolia (Fig. 4A).

Figure 4. Changes in germination percentage (A) and germination speed (B) of Amaranthus hybridus at different concentrations of the dichloromethane fraction of Campomanesia lineatifolia over time.
Table 2. Logistic model equations for the germination percentage of Amaranthus hybridus at different concentrations of the dichloromethane fraction from Campomanesia lineatifolia.
| Treatment | Equation | RMSE |
|---|---|---|
| 0 mg L-1 |
|
1.908827*** |
| 100 mg L-1 |
|
0.8073167*** |
| 300 mg L-1 |
|
0.2128392*** |
| 600 mg L-1 |
|
0.0309733*** |
RMSE: root mean square error. *** P<0.001.
The germination speed over time for the 0 mg L-1 treatment was higher than that for the other treatments from the start of the experiment. The results obtained for the 0, 100, and 300 mg L-1 treatments contrasted with those obtained for the 600 mg L-1 treatment (Fig. 4B), which reached its peak germination speed later on. This could be attributed to the fact that the treatment with the concentration demonstrating the lowest germination rate prolongs the latency period in A. hybridus.
Germination and mean germination speed of A. hybridus
The 0 mg L-1 treatments germination speed over time was higher than of the other treatments from the early days of the experiment. Figure 5A shows the decrease in germination percentage as the concentration of dichloromethane increases; thus, the most efficient treatment for inhibiting germination is the application of 600 mg L-1 of dichloromethane fraction from C. lineatifolia.

Figure 5. Effect of different concentrations of the dichloromethane fraction from Campomanesia lineatifolia on the germination (A) and mean germination speed (B) of Amaranthus hybridus, at 24 days. Averages with different letters indicate a significant difference according to Tukey’s test (P<0.05). Vertical bars on each average represent the standard error (n=4).
Statistically significant differences were observed between the 0, 100, and 300 mg L-1 treatments of the dichloromethane fraction from C. lineatifolia. In contrast, no significant differences were observed between the 300 and 600 mg L-1 treatments. As shown in figure 5B, the 0 mg L-1 treatment exhibited the highest germination speed with 1.9±0.21 seeds/d, whereas the 600 mg L-1 treatment had the lowest germination speed with 0.03±0.02 seeds/d. Similar to the germination percentage, the germination speed decreases as the concentration increases.
Mean germination time and seed viability of A. hybridus
No significant differences (P>0.05) were observed between the 0 and 100 mg L-1 dichloromethane fractions from C. lineatifolia. However, differences were observed between the other treatments. The treatment without any concentration registered the shortest germination time, with an MGT of 11.1±0.63 d (Fig. 6A), followed by the 100 and 300 mg L-1 treatments. Finally, the treatment with the longest germination time was, as in the case of R. crispus, the 600 mg L-1 treatment, with an MGT of 23.38±0.47 d. Therefore, the 600 mg L-1 treatment was more efficient in increasing the germination time.

Figure 6. Effect of different concentrations of the dichloromethane fraction from the Campomanesia lineatifolia extract on the mean germination time -MGT (A) and seed viability (B) of Amaranthus hybridus. Means with different letters indicate a significant difference according to Tukey’s test (P<0.05). Vertical bars on each column represent the standard error (n=4).
The results of the viability test for A. hybridus are shown in figure 6B. No significant differences were observed between the treatments for doubtful seeds, with the highest percentage in this category at 38±3.06% for the 100 mg L-1 treatment. Significant differences (P<0.05) were observed for the viable seeds. The 300 mg L-1 treatment had the highest percentage of viable seeds at 42±1.15%. Seeds treated with a concentration of 600 mg L-1 showed significantly higher percentages of nonviable seeds than the other treatments. The treatment without any concentration had the lowest percentage of nonviable seeds, which increased as the concentrations increased. The 600 mg L-1 treatment had the highest percentage of nonviable seeds at 42±2.31%. These results indicate that higher concentrations of the fraction increase seed embryo mortality, with 600 mg L-1 being the most effective.
DISCUSSION
In R. crispus, the germination behavior of the treatments with 100 and 300 mg L-1 was notable, as throughout most of the experiment, the germination percentage was higher than that of the 0 mg L-1 treatment. Seeds treated with 100 mg L-1 started germination earlier and reached a higher percentage at the end of the experiment. R. crispus can exhibit dormancy due to air impermeability (lack of gas exchange) caused by the layers surrounding the embryo (Muhamad et al., 2014;Martínez and De la Barrera, 2020). According to Tubeileh and Souikane (2020), at low concentrations, phenolic compounds may chemically scarify seeds with some impermeability, enhancing their permeability and stimulating germination. The same study mentioned that high hydroxybenzoic acid concentrations inhibit plant development, including root growth. However, they promote germination at low concentrations by positively stimulating cell differentiation. This could explain why treatments with low concentrations of the fraction (100 and 300 mg L-1) showed higher germination rates compared with control or treatments with higher concentrations.
Additionally, Sugauara et al. (2023) fractionated the hydroalcoholic extract of Campomanesia xanthocarpa leaves, and in the fractions with a higher proportion of dichloromethane, they found the main antioxidant activity of the extract. Flavonoid compounds such as naringenin have been identified in these fractions. A similar compound, naringenin, was also found in the hydroalcoholic extract of C. lineatifolia seeds by Maestre et al. (2023). Antioxidant compounds promote the preservation of seed viability and germination percentage by mitigating oxidation, which affects seed tissues, increases the presence of toxic substances, reduces protein synthesis, and impairs the ability to synthesize hydrolytic enzymes (Bewley et al., 2013). However, at high concentrations, antioxidant compounds can be harmful to plants, causing damage to cellular components such as proteins, nucleic acids, and lipids (Kasote et al., 2015).
For the fraction studied, at high concentrations (600 mg L-1), R. crispus exhibits a lower germination percentage, lower MGS and higher MGT, showing statistically significant differences compared to the fraction with the lowest concentration. Maestre et al. (2023) characterized the components present in the ethanolic extract of C. lineatifolia seeds, revealing 20 phenolic compounds. Together, these compounds negatively affected the germination of R. crispus, likely by altering the concentrations of phytohormones involved in the germination process.
The results obtained for A. hybridus highlighted the differences among the treatments. Seeds without fraction concentration showed higher germination percentages and germination speeds than those with other fraction concentrations. A proportional relationship was observed between the fraction’s concentration and seed germination inhibition, with higher concentrations demonstrating greater inhibition. These results are consistent with those of other studies that have reported allelopathic inhibition on species of the Amaranthus genus (Kumar et al., 2009; Poonpaiboonpipat et al., 2021; Sun et al., 2022; Maestre et al., 2023). In the 600 mg L-1 dichloromethane fraction from C. lineatifolia, seeds began to germinate after 20 d. This result could be attributed to seed dormancy, a common process in various seeds. However, hormonal disruptions, which can modulate the dormancy process, can affect germination. The presence of an inhibitory molecule may cause physiological dormancy (Sohn et al., 2021). According to La Iacona et al. (2024), plant extracts contain a phenolic compound, which is consistent with the findings of Maestre et al. (2023), who identified such compounds in the extract of C. lineatifolia. Several phenolic compounds inhibit the action of other plant hormones, including gibberellins, which induce germination by stimulating hydrolytic enzyme synthesis, degrading reserve substances, and weakening seed coats when the seeds are in dormancy (Niño-Hernandez et al., 2020; La Iacona et al., 2024). The increase in vanillic acid, a compound found in the seed extract of C. lineatifolia, reduces the incorporation of specific amino acids into proteins, thereby reducing the amount of proteins present in the seeds. The quantity of free amino acids is used to evaluate the effect of herbicides, where high proportions indicate high protease activity for the utilization of storage reserves (Chauhan et al., 2022).
Because of the suppression of enzymatic activities, the MGS was significantly reduced. In this experiment, the treatment with the highest MGS was the 0 mg L-1 concentration, whereas the treatments with lower concentrations showed significant differences compared with the treatment without extract of C. lineatifolia. This is because the germination rate is often affected even by low concentrations of allelochemicals that directly impact protein synthesis (Cabeza et al., 2021; Chauhan et al., 2022). These findings are consistent with the results obtained by Maestre et al. (2023), who applied different concentrations of C. lineatifolia seed extract (0, 3, 6, and 9%) to A. hybridus seeds.
The seed viability tests showed a high percentage of nonviable seeds for both weed species at 600 mg L-1, indicating that the dichloromethane fraction at this concentration causes embryo death. For A. hybridus, the 100 and 300 mg L-1 treatments showed significant differences compared with the control for viable seeds. This is related to the behavior of the germination speed (Fig. 6B), which indicates that these treatments prolong seed dormancy. According to Flores et al. (2015), the low polarity of the dichloromethane fraction affected the seeds due to its ability to penetrate the seed and tissues.
CONCLUSIONS
The dichloromethane fraction of C. lineatifolia seed extract exhibited allelopathic activity, although this activity differed for the two weed species studied. At low concentrations, R. crispus can promote germination in terms of germination percentage, MGS, and MGT. However, at higher concentrations, it negatively affects germination behavior, delaying the germination time and reducing the MGS and germination percentage. In contrast, for A. hybridus, even the lowest concentration negatively affected germination behavior, with the highest concentration being most effective. The fraction appears to influence the duration of seed dormancy. Additionally, for seeds of A. hybridus and R. crispus treated with 600 mg L-1, there was an increase in the percentage of nonviable seeds, indicating embryo death caused by the treatment with the dichloromethane fraction. However, more research is still needed to evaluate its use as a potential bioherbicide.














