INTRODUCTION
Plantain (Musa AAB) is a food resource that plays an important socioeconomic role for developing countries in tropical and subtropical areas (Loranger-Merciris et al., 2023). In Colombia, it is the fruit with the largest planting area, covering about 493,000 ha, with a production of 4,370,751 t, and a yield of 7.7 t ha-1 in the Department of Huila, the municipalities of Timana, Garzon, Palermo, and Santa Maria are notable for plantain production, contributing 28% of the department’s total output (UPRA, 2023). The Dominico-Hartón clone is cultivated in regions between 1,000 to 1,800 m.a.s.l., either as monoculture or in association with other crops such as coffee, cocoa, and agroforestry systems (Polanco et al., 2024).
Plantain, like other edible Musaceae, requires solutions to the limited availability of quality planting material and low uniformity in field plant establishment, which can be ensured with plant material propagated in nurseries, with proper management and protection against pests and pathogens (Ugarte-Barco et al., 2022). Plantain seed production traditionally does not involve significant technological developments; however, many alternatives have been validated by research that improve the efficiency of material production, as well as its quality attributes (Polanco et al., 2024).
The use of plant biostimulants has garnered significant attention in sustainable agricultural production from an environmental perspective, as it offers the possibility of reducing the chemical footprint of agricultural products. When applied to plants or soil, biostimulants can increase nutrient absorption and distribution (Mandal et al., 2023). They can be used as a complement to fertilizers and phytosanitary products, with the potential to enhance tolerance to water stress, salinity, temperature, and changes related to the oxidation-reduction reaction (Nephali et al., 2020). These products include beneficial bacteria and fungi, peptides, phenolic compounds, hormones, saccharides, free amino acids, protein hydrolysate derivatives, seaweed (Distefano et al., 2022).
Biostimulant products have reported uses and beneficial effects in various crops, notably chitosan (Chakraborty et al., 2020), silicon (Bishnoi et al., 2023), and microbial origins such as Trichoderma (Khalil and Youssef, 2024) and Bacillus (Dame et al., 2021). The benefits biostimulants offer in promoting growth and seed health have been studied in other plantain clones (Mateus-Cagua et al., 2024). However, the diverse environmental conditions present in the production areas of the Dominico-Hartón clone in the department of Huila allow for differential expression in plant development, and thus, the interaction between the biostimulant substance and the plant may result in varied responses.
The production of seed at the nursery stage relies on the use of asexual seed (corms) (Wagner-Medina et al., 2023); however, this type of material is heterogeneous in initial vegetative development and carries a high risk of contamination by pathogens such as Fusarium sp. and Ralstonia solanacearum Race 2. Therefore, the use of meristematic tissue culture, sourced from certified laboratories, mitigates these risks (Betancourt et al., 2021). The objective of the present work was to evaluate different biostimulants substances with potential for cultivation, specifically with the Dominico-Hartón clone at the nursery stage, and their effects on physiological processes and growth of vitroplants.
MATERIALS AND METHODS
Locality and experimental setup
The study was conducted in four representative municipalities of plantain production in the Department of Huila, Colombia (Santa Maria, Palermo, Timana, and Garzon). These localities correspond to the agroecological regions (bh-PM) Premontane Rainforest (Hilje and Jiménez-Saa, 2017) with average temperatures ranging from 17°C to 27.1°C and average monthly rainfall between 80.7 and 153 mm (Tab. 1) (Ideam, 2024 and Fedearroz, 2024). The plant material used was Dominico-Hartón plantain vitroplants, hardened with four functional leaves at the time of planting. One plant was sown per 2 kg capacity bag with a substrate based on black soil, burned rice husk, and compost in a 1:2:1 ratio. The substrate characteristics were as follows: pH of 5.1, effective cation exchange capacity of 12.2 cmol(+) kg-1, and electrical conductivity of 0.66 dS m-¹. Other chemical characteristics were organic nitrogen 0.1%, organic matter 2.5%, Ca 30.9 cmol(+) kg-1, K 0.7 cmol(+) kg-1, Mg 1.0 cmol(+) kg-1, P 550 mg kg-¹, Cu 0.23 mg kg-¹, Fe 83.72 mg kg-¹, Mn 1.93 mg kg-1, Zn 2.07 mg kg-1, and B 0.82 mg kg-1. The substrate had a sandy loam texture with 2.90% clay, 41.45% silt, and 55.65% sand. The plants underwent an acclimatization stage for one month in the nursery with a shade cover allowing 70% light entry. The trial was carried out from November 2022 to January 2023.
Table 1. Geographical location and climatic conditions of the four localities.
| Locality | Latitude | Longitude | Altitude (m.a.s.l) | Average temperature (°C) | Average solar brightness (h d-1) | Average monthly precipitation (mm) |
|---|---|---|---|---|---|---|
| Santa Maria | 2°55'36"N | 75°35'56"W | 1,450 | 17.00 | 4.51 | 153.00 |
| Palermo | 2°48'18"N | 75°30'10"W | 1,132 | 27.12 | 4.55 | 127.00 |
| Timana | 1°57'02"N | 75°55'48"W | 1,131 | 21.54 | 4.04 | 80.73 |
| Garzon | 2°15'26"N | 75°30'21"W | 1,417 | 19.90 | 3.13 | 89.13 |
Source: Ideam (2024) and Fedearroz (2024).
The substrate was irrigated at 80% of field capacity, using a sprinkler irrigation system. Foliar fertilization of seedlings was carried out every 7 d based on macro and microelements at a dose of 3 mL L-1 of water (Formador 2000®, Halcon Agroindustrial, Cajica, Colombia) and soil fertilization at 40 days after transplanting (DAT), with each plant receiving: 2 g urea (Nutrimon®), 2 g ammonium phosphate (Nutrimon®), 2 g potassium chloride (Nutrimon®, Monomeros Colombo Venezolanos, Barranquilla Colombia), and 1 g Borozinco® (Microfertiza, Bogota, Colombia).
Growth and development
Growth variables were measured at 90 DAT. Four plants per experimental unit (EU) were evaluated for plant height (cm), measured from the substrate level to the insertion of the first leaf from apex to base. Pseudostem diameter (mm) was measured 5 cm above the substrate level with a Mitutoyo digital caliper. Two plants per EU were taken and separated by organs (leaves, pseudostem, corm, and root), to be weighed fresh using a BBG precision scale (model LAB 3000). Dry matter accumulation (DM) by organ was evaluated (60 d after the treatment application) with samples of each organ dried in an oven (Memmert Model 600, Schwabach, Germany) at 65°C for 72 h. The number of total and functional leaves emitted was recorded every 15 d (Mateus-Cagua et al., 2024).
Chlorophyll index measurement (CI): The chlorophyll index was measured with a chlorophyll meter (SPAD 502, Konica Minolta, Tokyo, Japan) on the middle third of the third leaf from apex to base (recently mature leaf), averaging four readings per leaf. Measurements of the mentioned variables were performed on two plants per experimental unit at 90 DAT (Mateus-Cagua et al., 2024).
Photosynthesis and gas exchange: A portable infrared gas analyzer, model LI-6400XT (LICOR, Inc., Lincoln, Nebraska), equipped with a red-blue LED artificial chamber (6400-02B) was used. Evaluations were conducted between 9:00 and 11:30 am, with the photosynthetic photon flux density set to 300 µmol m-2 s-1 prior to a light saturation curve while the CO2 concentration was set to 400 µmol m-2 s-1; data were recorded when the coefficient of variation was less than 5%. The variables measured were net photosynthesis rate (A), transpiration rate (Tr), stomatal conductance (Gs) (Mateus-Cagua et al., 2024). This measurement was performed at 90 DAT.
Experimental design
Four experiments were established, one per locality. Eight treatments were evaluated, with four repetitions and four plants per experimental unit, distributed in a completely randomized block design. The treatments were Trichoderma koningiosis (Tk), concentration 1·109 conidia/g (1 g L-1); Bacillus amyloliquefaciens (Ba), concentration 1·109 CFU/mL, 25 mL L-1; humic extract + fulvic acids + free amino acids (Eh+Af+Al), 3 mL L-1; chitosan (Qt), 3 mL L-1; Bacillus subtilis (Bs), concentration 5.13·1010 UFC/mL, 10 mL L-1; silicon dioxide (Ds), 4 g L-1; salicylic acid (As), 8 mL L-1 and a control (T) without product application (tap water) (Tab. 2). The treatments were administered by drenching at 25 mL solution per plant, starting 30 DAT and continuing until 90 DAT, with applications every two weeks.
Table 2. Commercial information on products used in treatments.
| Treatment | Description | Manufacturer | Production city |
|---|---|---|---|
| Tk | Tricotec® | Agrosavia | Mosquera, Colombia |
| Ba | Natibac® | Agrosavia | Mosquera, Colombia |
| Eh+Af+Al | Agriful®+Tecamin® | Agrisec | Quito, Ecuador |
| Qt | KaitoSol® | Advanced green nanotechnologies | Putrajaya, Malaysia |
| Bs | Serenade® | Bayer | Tlaxcala, Mexico |
| Ds | Tierra de diatomeas® | Agropuli | Bogota, Colombia |
| As | ReLeaf® | Stoller | Zipaquira, Colombia |
Statistical analysis
The data were first analyzed separately for each locality for the growth and dry matter accumulation variables, followed by a joint analysis of the four localities for physiological variables. Tests for normality, homogeneity of variance, and independence assumptions were performed, followed by analysis of variance ANOVA to determine statistically significant differences between treatments. Multiple comparison tests were carried out using Tukey’s method, with a significance level of 0.05. A heat map was created to understand the relationship between the evaluated variables in the four localities, analyzed with Pearson’s correlation coefficient and principal component analysis PCA based on the data set from the four locations. Data were analyzed using R Studio software version 3.3.0.
RESULTS AND DISCUSSION
Growth parameters
The biostimulant treatments that showed significant differences (P≤0.05) with improved plant height response varied by locality. In Santa Maria, the application of Qt increased plant height by 20.8% compared to the control (water). In Palermo, As resulted in an increase of 14.9%. In Timana, Tk and Ba treatments increased plant height by 14.43 and 13.75%, respectively. In Garzon, Tk increased plant height by 26.8%, As by 23.5%, Ba by 22.08%, Ds by 21.18%, and Qt by 19.14% (Tab. 3).
Table 3. Influence of biostimulants on growth and development variables in 'Dominico- Hartón’ plantain plants at 90 days.
| Locality | Treatment | Height (cm) | Pseudostem diameter (mm) | Functional leaves | Total leaves |
|---|---|---|---|---|---|
| Santa Maria | Tk | 20.76±4.25 b | 17.63±3.04 | 7.15±0.88 | 8.28±1.02 |
| Ba | 22.69±4.20 ab | 19.46±2.36 | 6.29±0.81 | 8.08±0.84 | |
| Eh+Af+Al | 22.42±3.86 ab | 18.85±3.22 | 6.73±1.09 | 8.04±1.07 | |
| Qt | 25.31±2.88 a | 19.08±2.52 | 6.30±1.03 | 8.04±0.48 | |
| Bs | 23.58±2.87 ab | 18.87±2.04 | 6.34±1.17 | 8.03±1.05 | |
| Ds | 23.71±3.29 ab | 18.14±2.58 | 6.16±0.79 | 7.78±0.85 | |
| As | 22.86±3.05 ab | 20.56±2.27 | 5.96±0.57 | 7.97±0.97 | |
| T | 20.95±3.07 ab | 19.70±2.19 | 6.13±1.05 | 8.01±0.93 | |
| P-value | 0.025371* | 0.19354 | 0.07051 | 0.9596 | |
| Palermo | Tk | 27.40±3.02 ab | 22.02±2.18 b | 5.1±1.10 ab | 5.06±0.99 b |
| Ba | 25.24±4.58 b | 23.13±2.37 ab | 5.2±1.68 ab | 5.36±1.24 b | |
| Eh+Af+Al | 27.70±3.27 ab | 23.68±2.65 ab | 5.5±1.17 ab | 5.32±1.41 b | |
| Qt | 26.67±2.00 ab | 23.53±2.30 ab | 6.4±1.07 a | 6.78±0.78 a | |
| Bs | 24.77±2.38 b | 22.90±2.49 ab | 5.2±1.61 ab | 5.34±0.91 b | |
| Ds | 25.41±2.36 b | 22.80±2.57 ab | 5.1±1.10 ab | 5.24±0.72 b | |
| As | 30.02±1.87 a | 25.58±2.59 a | 4.1±0.99 b | 4.56±0.70 b | |
| T | 26.12±1.73 b | 22.52±1.65 ab | 4.6±1.07 b | 4.94±0.93 b | |
| P-value | 0.001371 ** | 0.05126 | 0.01381* | 0.0007243*** | |
| Garzon | Tk | 29.76±3.54 a | 23.95±3.28 | 7.55±0.76 | 7.94±0.70 |
| Ba | 28.64±3.80 a | 23.16±3.25 | 6.80±0.63 | 7.02±0.70 | |
| Eh+Af+Al | 26.88±3.29 ab | 23.18±2.66 | 6.40±1.07 | 6.76±1.14 | |
| Qt | 27.95±3.16 a | 23.00±2.51 | 7.00±0.94 | 7.42±1.00 | |
| Bs | 26.14±4.69 ab | 21.76±3.28 | 7.10±0.99 | 7.60±0.97 | |
| Ds | 28.43±3.07 a | 23.67±3.47 | 6.90±0.73 | 7.38±0.72 | |
| As | 28.98±2.14 a | 23.15±2.56 | 7.00±0.66 | 7.22±0.76 | |
| T | 23.46±1.83 b | 21.14±1.77 | 7.30±1.05 | 7.44±1.04 | |
| P-value | 0.0001151 *** | 0.33943 | 0.1762 | 0.1481 | |
| Timana | Tk | 31.87±3.60 a | 22.47±2.99 | 7.6±0.69 | 8.04±0.75 |
| Ba | 31.68±3.18 a | 22.58±2.55 | 7.2±0.78 | 7.56±0.82 | |
| Eh+Af+Al | 27.90±4.24 b | 20.45±3.54 | 7.1±0.99 | 7.54±0.83 | |
| Qt | 29.94±2.88 ab | 22.55±2.85 | 7.1±0.99 | 7.60±0.88 | |
| Bs | 30.54±4.56 ab | 22.31±2.47 | 7.4±0.51 | 7.80±0.87 | |
| Ds | 30.53±3.89 ab | 21.98±2.28 | 7.8±0.63 | 8.24±0.66 | |
| As | 31.16±4.44 ab | 22.83±2.67 | 7.0±1.24 | 7.44±1.26 | |
| T | 27.85±1.58 b | 20.86±1.35 | 7.6±0.69 | 8.00±0.84 | |
| P-value | 0.04846* | 0.3512 | 0.3454 | 0.4062 |
Means within columns with different letters differ statistically according to Tukey’s test (P≤0.05) (n=10). Tk: T. koningiosis, Ba: B. amyloliquefaciens, Eh+Af+Al: humic extract + fulvic acids + free amino acids, Qt: chitosan, Bs: B. subtilis, Ds: silicon dioxide, As: salicylic acid, and T: control.
Growth response to the microorganism-based biostimulants (Tk and Ba) was observed in two localities, Garzon and Timana, which exhibited intermediate environmental conditions between Palermo and Santa Maria, with higher rainfall and contrasting temperatures (27.12 - 17°C). According to Etesami and Glick (2024), the response of treated plants may be influenced by locality. Trichoderma promotes growth by producing vitamins, solubilizing nutrients, synthesizing phytohormones like auxins and cytokinins, and enhancing root development (Rodríguez-García and Vargas-Rojas, 2022; Mandal et al., 2023). B. amyloliquefaciens treatment showed significant growth promotion, attributed to bacterial synthesis of IAA, which responds to environmental signals, inducing changes in root architecture and enhancing nutrient uptake (Keswani et al., 2020).
In Palermo, As significantly promoted growth in plant height and pseudostem diameter, (P≤0.05) (Tab. 3), with a 13.58% increase in pseudostem diameter compared to the control treatment. As plays a role in growth and development under both stress and non-stress conditions (Khan et al., 2020) and influences many physiological and metabolic processes, strengthening the oxidative defense system (Kaya et al., 2023).
In Santa Maria and Garzon, the localities with the lowest temperatures in the study (17°C and 19.9°C), the Qt treatment resulted in greater plant height. This growth stimulation is attributed to increased water and mineral absorption, nitrogen input into the soil derived from chitin, and phytohormone synthesis (Chakraborty et al., 2020; Stasińska-Jakubas and Hawrylak-Nowak, 2022). The environmental conditions in Garzon allowed the Tk and Ba (microbial origin) and As and Ds (non-microbial) treatments to significantly increase plant height. According to Ramírez-Olvera et al. (2021) and Raza et al. (2023), Ds stimulates plant growth in terms of height, leaf number, and biomass by modulating the concentration of vital biomolecules and nutrients, in addition to reducing water loss from the cell wall.
The total number of leaves ranged from 7 to 8 leaves and functional leaves ranged from 6 to 7 at the 90 d measurement in the localities of Garzon, Timana, and Santa Maria, indicating good agronomic management during the evaluation period, as no leaves were removed due to sanitary problems. However, in the locality of Palermo, this value ranged between 4 to 6 in total and functional leaves, due to the removal of senescent leaves at 75 d. In this locality, significant differences (P≤0.05) were found between treatments, with the highest total and functional leaf emission rate observed in plants treated with Qt, showing increases of 37.2 and 39.1% compared to the control for total and functional leaves, respectively.
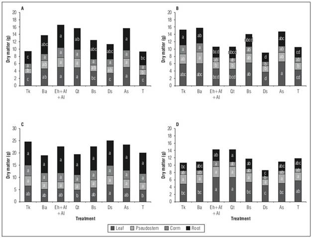
Dry matter accumulation (DM)
Dry matter accumulation per plant was highest in Palermo, ranging from 18 to 25 g per plant across the treatments evaluated, while in Santa Maria, Garzon, and Timana, values ranged from 9 to 16 g per plant. Palermo had the highest temperature and precipitation among the four localities. According to the results obtained (Fig. 1), significant differences (P≤0.05) were found between treatments for the different tissues evaluated across the four localities. Compared to the control, the As-based treatment showed an increase in leaf dry matter of 73.7 and 50.2% in Santa Maria and Garzon, respectively, which are the cooler localities. Similarly, treatments with Qt and Eh+Af+Al achieved a positive effect, with leaf dry matter gains of 70.6 and 73.0% in Santa Maria and 16.5 and 15.1% in Timana, respectively. In Palermo, the Ds treatment achieved the highest increase (40.1%).

Figure 1. Dry matter in plants by organ. Locality: A. Santa Maria; B. Garzon; C. Palermo; D. Timana. Means (n=8) within columns with different letters differ statistically according to Tukey’s test (P≤0.05). Tk: T. koningiosis, Ba: B. amyloliquefaciens, Eh+Af+Al: humic extract + fulvic acids + free amino acids, Qt: chitosan, Bs: B. subtilis, Ds: silicon dioxide, As: salicylic acid, and T: control.
In turn, DM accumulation in the pseudostem showed significant differences in the localities of Santa Maria and Garzon, similar to the leaf DM results. Treatments based on Eh+Af+Al, Qt, and As showed increases of 77.2, 71.0, and 64.3% in DM compared to the control in Santa Maria, and in Garzon, Ba increased DM by 56.8%. Dry matter accumulation in the root also showed significant differences between treatments. In Santa Maria, Eh+Af+Al and As increased DM by 73 and 40.7% compared to the control. In Garzon, the Tk treatment and in Timana, Qt showed increases of 55.5 and 23.5%, respectively.
The effect of biostimulant substances on growth promotion across plant organs has been studied in a wide variety of crops (Rana et al., 2022). According to Mateus-Cagua and Rodríguez-Yzquierdo (2019), the distribution of DM among plant organs during the vegetative phase showed the highest percentage accumulation in the leaf, followed by the pseudostem, corm, and root. The Eh+Af+Al treatment showed significant differences in leaf, pseudostem, and root. Beneficial effects of humic biostimulants on plant growth have been observed, such as increased plant height and root weight in bananas and plantains (Martínez et al., 2021). Moreover, Mateus-Cagua and Rodríguez-Yzquierdo (2019) demonstrated changes in root length and architecture, primarily in adventitious and lateral roots. Humic extracts (Eh) and fulvic acids (Af) are compounds that enhance soil fertility, root nutrition, and soil cation exchange capacity (Dubey and Sharma, 2023). Free amino acids, (Al) which are protein hydrolysates containing nitrogen, boost basic nutrition and plant growth (Vasconcelos and Chaves, 2020).
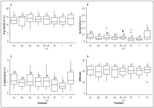
Photosynthetic activity
Results by locality did not show significant differences between treatments except for transpiration in Santa Maria and photosynthesis in Palermo (data not shown). However, statistically significant differences (P≤0.05) were found for stomatal conductance (Gs), and transpiration (Tr) for the entire pool of data for each treatment from the four localities evaluated, when biostimulants were applied (Fig. 2).

Figure 2. Physiological behavior variables in plants with the application of biostimulant substances in four localities. A: photosynthesis (A), B: stomatal conductance (Gs), C: transpiration (Tr), D: chlorophyll index (SPAD). Tk: T. koningiosis, Ba: B. amyloliquefaciens, Eh+Af+Al: humic extract + fulvic acids + free amino acids, Qt: chitosan, Bs: B. subtilis, Ds: silicon dioxide, As: salicylic acid, and T: control. Means (n=16) within columns with different letters differ statistically according to Tukey's test P≤0.05.
Plants treated with biostimulants showed higher values compared to the control treatment. Tk showed significant differences (P≤0.05) among treatments, with an increase of 62.2% in Gs and 48.9% in Tr. In photosynthesis (A) and chlorophyll index (CI), no significant differences were found between treatments (P≤0.05). However, all biostimulant treatments showed a higher photosynthetic rate (A) than the control.
CI followed a similar trend to Gs and Tr, except for the Ba treatment (38.53), which performed lower than the control (39.16 SPAD units). In Musaceae, normal CI values range from 40 to 50; values below 30 indicate a stress condition that impairs physiological function in the plant (Mateus-Caguaet al., 2024). In this context, the observed values align with the optimal range for this variable. According to Yasmeen and Siddiqui (2017) and Khalil and Youssef (2024), the application of Trichoderma harzianum enhances photosynthetic pigments, positively modulates physiological and biochemical processes, and increases stomatal conductance and photosynthetic efficiency in other crops.
Multivariate analysis
Correlation coefficient
Figure 3 shows a very strong positive correlation (P≤0.001) between stomatal conductance (Gs) and transpiration (Tr), total and functional leaves (0.90); fresh root with dry corm weight, fresh and dry leaf weight (0.85); fresh leaf weight and fresh pseudostem weight (0.81); and fresh corm weight with dry pseudostem weight (0.81). The positive relationship between Gs and Tr (Fig. 3 and 4) indicates the physiological state and health of a plant, as well as its response to experimental conditions, making these parameters good predictors of crop development and productivity (Ospina-Salazaret al., 2018). This correlation has been studied in various crops. In sugarcane (Saccharum spp.), high and significant correlations were observed between stomatal conductance, transpiration rate, and chlorophyll index (CI) before harvest (Mendez-Adorno et al., 2016).

Figure 3. Pearson correlation coefficient for growth and physiological behavior variables in plantain cv. Dominico-Hartón.
A considerable negative correlation was also found between growth and biomass variables (total and functional leaves, pseudostem perimeter, and fresh and dry corm and root weight) with the chlorophyll index (CI) (-0.52 to -0.75). (Fig. 3 and 4). This trend may be attributed to the high biomass accumulation in various organs at 90 d, but it is more negative in root biomass (-0.76), which creates a restricted condition in root distribution in the substrate, reducing the formation of photosynthetic pigments and consequently lowering the chlorophyll index in the plant. According to Rizzardi et al. (2001), competition among plant roots interferes with water and nutrient availability, occurring when the depletion zone exceeds itself.
In contrast, no relationship was found between photosynthesis and growth and biomass accumulation variables (P>0.05), presenting a weak positive correlation for plant height (0.05), dry and fresh leaf weight (0.13 and 0.06), and fresh and dry pseudostem weight (0.02). A weak negative correlation was found between total and functional leaves, pseudostem perimeter, and fresh and dry corm and root weight (-0.01 to -0.09).
Principal component analysis
The analysis incorporated the data of the evaluated variables in the two main dimensions PC1=49% and PC2=20%, representing 69% of the data variability (Fig. 4). In general, the evaluated physiological variables (A, Tr, Gs, and CI) were distributed in the right quadrant of the PC1 scatter plot, and variables associated with growth and biomass accumulation were located in the left quadrant of PC2. Figure 4 also shows cluster formation by locality. Timana, Santa Maria, and Garzon exhibited greater expression in physiological parameters such as photosynthesis, transpiration, stomatal conductance, and chlorophyll index, in contrast to Palermo, which showed a negative correlation in these parameters but displayed a greater expression of biomass variables in root, corm, and leaves. Palermo experienced warmer conditions with higher temperature and solar radiation compared to the other three localities. According to Restrepo-Díaz and Sánchez-Reinoso (2020), temperature (high or low) alters source-sink relationships potentially reducing the supply of photoassimilates from the source. This effect is related to plant photosynthesis and the solar radiation intercepted by the plant, affecting biomass accumulation in the plant.

Figure 4. Biplot of data using principal component analysis of growth and physiological behavior variables.
For this study, local climatic conditions influenced the expression of variables associated with physiological behavior, growth, and biomass production. The variables that determined the effect of the treatments were primarily related to biomass accumulation, such as dry matter in different organs. These were correlated with growth parameters such as pseudostem diameter, plant height, leaf emission, stomatal conductance, transpiration, and chlorophyll index.
CONCLUSION
There was an increase in growth variables, including height and pseudostem diameter, in plants treated with chitosan, Trichoderma koningiosis, salicylic acid, Bacillus amyloliquefaciens, and silicon dioxide treatments. The biostimulants salicylic acid, chitosan, and the combination of humic extract, fulvic acids, free amino acids, and B. amyloliquefaciens presented a positive effect on biomass accumulation in leaf, stem, and root.
The use of biostimulant substances in plantain at the nursery stage significantly influences physiological behavior and gas exchange parameters such as transpiration and stomatal conductance. The performance of treatments is influenced by local environmental conditions; therefore, the recommendations for the use of biostimulants should be differentiated based on a specific environment or locality.














