Services on Demand
Journal
Article
Indicators
-
Cited by SciELO -
Access statistics
Related links
-
Cited by Google -
Similars in
SciELO -
Similars in Google
Share
Boletín de Ciencias de la Tierra
Print version ISSN 0120-3630
Bol. cienc. tierra no.24 Medellín Sep./Dec. 2008
LABORATORIO DE PREPARACIÓN DE MUESTRAS PARA FOTOLUMINISCENCIA DE LA UNIVERSIDAD EAFIT, MEDELLÍN
LABORATORY FOR PREPARATION OF SAMPLES FOR OPTICALLY STIMULATED LUMINESCENCE (OSL), EAFIT UNIVERSITY, MEDELLIN.
CAROLINA GARCÍA LONDOÑO
Universidad EAFIT, Medellín, Colombia
cgarci10@eafit.edu.co
MICHEL HERMELIN ARBAUX
Universidad EAFIT, Medellín, Colombia
GLORIA MARÍA SIERRA
Universidad EAFIT, Medellín, Colombia
Recibido para evaluación: 21 de Noviembre de 2007 / Aceptación: 04 de Noviembre de 2008 / Recibida versión final: 14 de Noviembre de 2008
RESUMEN
En el año 2005 se inició en la Universidad EAFIT, sede Medellín, la construcción del Laboratorio de Fotoluminiscencia, primero de su tipo en todo el país, destinado a contribuir al desarrollo de nuevas técnicas de datación aplicada al cuaternario. Su creación se enmarcó dentro del proyecto «Cronología y Correlación de Geoformas y Formaciones Superficiales de dos Altiplanos de la Cordillera Central» financiado por Colciencias, Código 12160516867, Contrato No. RC 2102004, llevado a cabo por el Grupo de Geología Ambiental e Ingeniería Sísmica de la Universidad EAFIT.
El método de datación por fotoluminiscencia permite datar el último momento en que un material estuvo expuesto a la luz y tiene un rango de aplicación que en condiciones óptimas va de 6 a 800 000 años. Debido a las características del método, el material para datar no puede ser expuesto a la luz desde la toma de la muestra, durante su preparación, hasta la medición de la señal luminiscente.
El Laboratorio de Preparación de Muestras para Luminiscencia de la Universidad EAFIT se distingue por presentar rasgos especiales que incluyen iluminación controlada, cámara extractora de gases, sistema de puertas eléctricas, todo esto en un ambiente esterial que asegura que las muestras no se contaminen.
En dicho laboratorio se realizaron las primeras preparaciones de muestras provenientes de los altiplanos de Llano de Ovejas y Valle de San Nicolás. Estas muestras presentan un alto contenido de arcilla y poca densidad de cuarzo, el cual es la materia prima para el método de datación por fotoluminiscencia; por lo tanto fue necesario adaptar los protocolos existentes de preparación de muestras.
Luego del tratamiento realizado a las muestras a las muestras en el Laboratorio de Fotoluminiscencia de la Universidad EAFIT, las fracciones de cuarzo obtenidas fueron enviadas al Laboratorio de Arqueometría y Geocronología (AGE Laboratory) de la Universidad McMaster en Canadá para su datación.
PALABRAS CLAVES: Fotoluminiscencia, Métodos de datación, Cuaternario, Formaciones superficiales.
ABSTRACT
In 2005 began, in EAFIT University, Medellin, the construction of the Laboratory for Preparation of Luminescence Samples (Optically Stimulated Luminescence OSL),
first in its kind in the whole country, dedicated to contribute for the development of new dating quaternary techniques. Its construction is part of the project «Chronology and Correlation of Geoforms and Superficial Formations of two Highlands, Central Mountain range» financed by Colciencias, Code 12160516867,
Contract No. RC 2102004, developed by Group of Environmental Geology and Seismic Engineering, EAFIT University.
The dating method of OSL allows dating the last moment of exposition to the light and has, under optimal conditions, an application range from 6 to 800 000 years. Due to the methodscharacteristics, the material to be dated cannot be exposed to the light from sample extraction, its preparation, until the measurement of luminescent sign.
The Laboratory for Preparation of Luminescence Samples presents special features including controlled illumination, extraction gas chamber, electric doors, all this in a sterile environment to ensure the samples are not contaminated.
In the Laboratory for Preparation of Luminescence Samples were generated the first prepared samples from Llano de Ovejas and San Nicolas Valley. These samples present high clay content and low quartz density, being the last one the Basic material for this dating method;therefore it was necessary to adapt the existent protocols to the new conditions.
After be treated in the Laboratory for Preparation of Luminescence Samples, the quartz fractions were delivered to the Arqueometry and Geocronology Laboratory (AGE Laboratory) in McMaster University, Canada were the dating process was carried out.
KEY WORDS: Fotoluminiscence, Dating methods, Quaternary, Superficial formations.
1. INTRODUCCIÓN
El Grupo de Geología Ambiental de la Universidad EAFIT ha realizado diversos proyectos que incluyen estudios de las formaciones superficiales del Departamento de Antioquia, muchas de las cuales se formaron durante el Cuaternario superior. Durante estos estudios surgió la necesidad de encontrar un método de datación que permitiera datar el momento de la depositación de diferentes materiales. De ahí surgió la idea de utilizar el método de fotoluminiscencia, el cual permite datar el último momento en que un material estuvo expuesto a la luz y tiene un rango de aplicación que en condiciones óptimas va de 6 a 800 000 años, lo cual le confiere gran importancia para el estudio de depósitos del Cuaternario superior.
Este método requiere que el material para datar no sea expuesto a la luz, desde la toma de la muestra, durante su preparación, hasta la medición de la señal luminiscente.
El proceso completo de datación por fotoluminiscencia demanda la preparación de las muestras en un lugar con condiciones especiales de iluminación, ventilación y limpieza para su posterior datación con equipos especiales de alto costo.
Es así como se construyó durante los años 2005 a 2006 el Laboratorio de Fotoluminiscencia de la Universidad EAFIT, en el cual se realiza la preparación de muestras. Debido a los altos costos y al componente radioactivo de los equipos de datación, no fue posible equipar completamente el Laboratorio de Fotoluminiscencia de la Universidad EAFIT para realizar todo el proceso datación en sus instalaciones, por lo cual una vez obtenida las fracciones de cuarzo, éstas fueron enviadas al Laboratorio de Arqueometría y Geocronología (AGE Laboratory) de la Universidad McMaster en Canadá para su posterior datación.
El material utilizado para la datación por fotoluminiscencia son granos de cuarzo de tamaños arena fina de 90 a 212 mm, los cuales se obtienen luego de someter la muestra a varias sesiones de tamizado en humedo y tratarla con reactivos especiales incluyendo Peroxido, Acido Cloridrico y Sodio Polytungstato.
Las primeras dataciones con fotoluminiscencia se realizaron en las formaciones superficiales del Llano de Ovejas. Las muestras obtenidas, propias del trópico húmedo, se caracterizan por presentar altos contenidos de arcilla y poco cuarzo por lo cual fue necesario adaptar los protocolos de laboratorio existentes diseñados inicialmente para muestras muy cuarzosas.
Este trabajo se enmarca dentro del proyecto «Cronología y Correlación de Geoformas y Formaciones Superficiales de dos Altiplanos de la Cordillera Central» financiado por Colciencias Código 12160516867, Contrato No. RC 2102004
con la Universidad EAFIT, Grupo de Geología Ambiental e Ingeniería Sísmica.
2. CARACTERISTICAS DEL LABORATORIO DE FOTOLUMINISCENCIA DE LA UNIVERSIDAD EAFIT
El Laboratorio de Fotoluminiscencia, del Bloque de Geología de la Universidad EAFIT está dividido en dos secciones, la primera es un espacio iluminado con luz blanca normal de 10 m 2 destinado al trabajo de oficina equipado con escritorio y armarios. Al segundo espacio se accede luego de cruzar dos puertas negras que se abren mediante un sistema eléctrico que impide que las dos se abran a la vez para así evitar la entrada de luz al laboratorio.
El segundo espacio de aproximadamente 18 m 2 constituye el laboratorio como tal. Se caracteriza por estar completamente pintado de negro para evitar los reflejos de la poca luz existente producida por tres lámparas de tubo de luz blanca recubiertos con capas de papel espacial filtro UV y filtro naranja.
El laboratorio cuenta con un horno para el secado de las muestras y con una campana grande para la extracción los gases generados al realizar el tratamiento con reactivos como Acido Clorhidrico. Además presenta una zona húmeda, una estación de lavado de emergencia, varias mesas con gabinetes y armarios que contienen la vidriería, los materiales y los reactivos.
3. PRINCIPIOS DEL MÉTODO DE DATACIÓN POR FOTOLUMINISCENCIA
La técnica de datación por luminiscencia o OSL (Optical Stimulated Luminiscence) presenta ventajas en términos de rango de edades y tipo de material con respecto a métodos de datación como carbono 14 y 40Ar/39Ar (Fattahi & Stephen, 2003).
La característica principal de este método es que data el último momento en que un material fue expuesto a la luz. En el caso de los depósitos estima la edad de la depositación, lo cual no sólo es importante para la correlación de cuerpos separados geográficamente, sino también para facilitar el estudio paleoclimático y paleoambiental. Una gran ventaja del método es que utiliza como materia prima el cuarzo, uno de los minerales más resistentes y abundantes en los diferentes climas y particularmente en el trópico húmedo.
Aitken (1998) plantea que mientras dura la exposición de un material a la luz (bleaching event ), su señal latente es cercana a cero. Cuando el suministro de luz es suspendido al ser enterrado el material, esa señal latente comienza a aumentar ya que está expuesto a un débil flujo de radiación ionizante proveniente del torio, uranio y potasio40 que se encuentran en el sedimento, así como también de los rayos cósmicos y del rubidio87 (Figura 1).
Figura 1. Principios a escala macro del método de fotoluminiscencia (Tomado de García, 2007)
Una vez preparada la muestra de granos de cuarzo ó feldespato, se expone a un rayo controlado de luz, con características semejantes a la luz solar, de tal manera que el mineral emite una señal luminiscente proporcional a la energía acumulada desde del último momento de exposición, la cual se mide con un fotomultímetro.
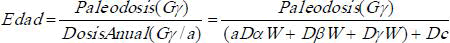
La edad se obtiene a partir del cociente entre la energía total acumulada durante el período de enterramiento (paleodosis ) y la dosis anual de radiación que ha recibido el mineral, que depende de factores radioactivos internos (del mineral) y externos (del sedimento y de los rayos cósmicos en el ambiente).

Donde:
W = contenido de agua
a = coeficiente de atenuación de la radiación alfa
Da = radiación alfa
Db = radiación beta
Dg = radiación gamma
Dc = radiación cósmica
A nivel atómico, lo que sucede es que los átomos radiactivos presentes en los materiales que rodean un cristal de cuarzo sepultado que no recibe luz, así como los átomos que conforman el cristal, liberan partículas a, b y g que pueden desalojar a los electrones de sus posiciones normales en su órbita alrededor del núcleo. En ocasiones los electrones liberados quedan atrapados en un defecto de la estructura cristalina del cuarzo. Esas trampas de cristal se llenan gradualmente con electrones, a un ritmo regular en el tiempo. Si se conoce ese ritmo (dosis anual ) y es posible hacer un conteo de los electrones atrapados (paleodosis), se puede calcular cuánto tiempo ha pasado desde que el cuarzo estuvo expuesto por última vez a la luz del día. La luz comunica suficiente energía a los electrones atrapados para liberarlos y permitirles volver a su lugar original haciendo que el reloj vuelva a cero; por esto la medición se debe hacer en un cuarto iluminado únicamente con luces rojas especiales muy tenues (con filtro UV y filtro naranja), en el cual se colocan los granos de cuarzo en un lector de luminiscencia que les dispara un haz de fotones, liberando los electrones atrapados.
Cuando los electrones se instalan nuevamente en su órbita liberan energía en forma de luz (luminiscencia) la cual se mide para saber cuántos electrones estaban atrapados y calcular el tiempo de enterramiento.
Figura 2. Principios a escala atómica del método de fotoluminiscencia (Tomado de García, 2007)
4. METODOLOGÍA PARA LA TOMA DE MUESTRAS EN CAMPO PARA DATACIÓN CON FOTOLUMINISCENCIA.
Ya que las muestras no pueden ser expuestas a la luz en ningún momento y teniendo en cuenta el alto contenido de humedad y poco contenido de cuarzo, se construyó un aparato percutor de acero para la extracción de muestras que permitiese sacar muestras de 20 cm de longitud por 10 cm de diámetro (Figura 3).
Figura 3. Equipo de extracción de muestras para fotoluminiscencia basado en un sistema de percusión tipo shelby.
El procedimiento de toma de muestras se realiza por dos personas (Figura 4). Es necesario que el perfil esté limpio y plano para asegurar que no haya contaminación de la muestra. Una vez extraída la muestra, ésta se coloca en una bolsa negra para fotografía para eliminar la entrada de luz.
Figura 4. Toma de muestras para fotoluminiscencia utilizando el aparato percutor. Debido al alto grado de compactación general de la muestra, es necesario la participación de al menos dos personas en le proceso de extracción.
Luego de extraer la muestra, se amplia el agujero dejado por el tubo de acero hasta ~30 cm de profundidad y se introduce un espectrómetro gamma para calcular la incidencia de rayos cósmicos y rayos gamma.
5. METODOLOGÍA DE PREPARACIÓN PRELIMINAR DE MUESTRAS TÍPICAS DEL TRÓPICO HÚMEDO PARA DATACIÓN CON FOTOLUMINISCENCIA.
Inicialmente se contó con los protocolos para preparación de muestras para luminiscencia de la Universidad McMaster cedidos por la investigadora Gloria López. Estos protocolos fueron desarrollados para muestras con pocas arcillas como las zonas costeras y desiertos. Fue necesario adaptar los procedimientos e incluir nuevos pasos y nuevos reactivos, como múltiples sesiones de tamizado y dispersantes, para así obtener buenos resultados con las muestras altamente arcillosas típicas del trópico húmedo. El procedimiento detallado de toma y preparación de muestras se encuentra en García (sometido).
El procedimiento se inicia con la apertura del núcleo de aluminio que contiene la muestra. Este núcleo se divide en dos mitades transversales (Figura 5), una de las cuales se guarda como archivo; a la otra se le quitan los bordes (por haber sido expuestos a la luz) y se introduce en un beaker, se pesa y se seca a 60ºC para calcular el contenido de agua inicial.
Figura 5. Ejemplo de una muestra abiertar dentro del laboratorio oscuro. El núcleo seleccionado se muestra con los bordes removidos.
Luego de remover ~5 g de la muestra seca para análisis químicos (U, Th y K) por NAA (análisis de activación de neutrones) se agrega CALGON (hexametafosfato de sodio) y se deja reaccionando durante varios días para dispersar las arcillas. Posteriormente se tamizan las muestras en húmedo en tamices con malla de nylon desechable de tamaños 212 μm (o 250 mm), 150 μm (o 133 mm) y 90 μm (Figura 6)
Figura 6.a. Esquema de montaje para tamizado en húmedo b. Foto de montaje para tamizado en húmedo
El beaker o envase con la fracción < 90 μm se cambia cada vez que se llena y se le agrega sulfuro o carbonato de magnesio (40 ml de una preparación de 1 l de agua destilada con 80 g de soluto) para flocular las arcillas y limos y así acelerar el proceso de asentamiento de los mismos para su posterior pesado.
Una vez terminado el tamizado inicial, a las fracciones 90150 μm y 150212 μm se les agrega CALGON, se dejan reaccionando hasta el día siguiente, se tamizan en húmedo nuevamente y posteriormente se secan.
Luego de tamizar por segunda vez y registrar el peso en seco de las fracciones 90150
μm y 150212 μm se inicia el tratamiento químico bajo la campana extractora (Figura 7). Inicialmente las muestras se tratan por uno o varios días (hasta que no haya reacción) con HCl 3337% para remover fosfatos y carbonatos. Luego de lavar varias veces la muestra, se agrega H 2 O 2 35% o 50% para remover todo material orgánico y se deja hasta que no haya ninguna reacción.
Figura 7. Campana extractora de gases
Una vez enjuagada cada fracción luego del tratamiento, se agrega una vez más CALGON hasta el día siguiente y se tamiza nuevamente para remover cualquier resto de arcilla presente.
Luego de secar la muestra y registrar su peso, se procede a la separación con líquidos pesados usando Sodio Politungstato (SPT) de densidad 2.67 g/cm3 en embudos separadores dentro de un armario para disminuir la entrada de luz (Figura 8).
Figura 8. Montaje para separación con líquidos pesados. Los embudos separadores se colocan dentro de un armario para disminuir la entrada de luz y se dejan reposar al menos dos horas para asegurar una buena separación
Debido al alto grado de meteorización de las muestras tratadas, no habían feldespatos presentes, pero en el caso de existir muestras con feldespato, se realiza un paso extra para separarlas del cuarzo. Para esto se agrega agua destilada a la preparación de SPT hasta disminuir su densidad a 2.58 g/cm3 y con esto separar el feldespato del cuarzo.
Luego de lavar cada fracción y guardar el SPT utilizado para ser reciclado posteriormente, se secan todas las muestras obtenidas y luego se guardan debidamente marcados. De estas muestras se selecciona la fracción de cuarzo de mayor peso (mínimo 5 g) y se prepara para su transporte al laboratorio de Canadá mediante varias capas de aluminio, papel y cinta negra para asegurar que no sea expuesta a la luz.
Una vez en el Laboratorio de Arqueometría y Geocronología (AGE Laboratory) de la Universidad McMaster en Canadá, las muestras de cuarzo son tratadas con 40% HF para remover las plagioclasas que pudiesen haber quedado y para eliminar la capa exterior de cada grano y así evitar la interferencia de los rayos a en los resultados. Luego el cuarzo se trata por 40 min en 10% HCl para remover la fluorita precipitada.
Posteriormente se realizan las mediciones de fotoluminiscencia utilizando un Sistema RISÆ TL/OSL Modelo TLDA15, equipado con una fuente 90 Sr b y fuentes de luz azul de 470 nm y un filtro de 7 mm grueso pasabanda tipo Hoya U340 (270400 nm). Los detalles del procedimiento de datación por fotoluminiscencia se pueden encontrar en López et al. (sometido).
6. CONCLUSIONES
En este trabajo se presenta el Laboratorio de Preparación de Muestras para Fotoluminiscencia de la Universidad EAFIT construido entre los años 2005 y 2006 y la metodología de preparación. Ya se han obtenido las primeras muestras de cuarzo procedentes de las formaciones superficiales del Llano de Ovejas datadas en el Laboratorio de Arqueometría y Geocronología (AGE Laboratory) de la Universidad McMaster en Canadá.
La preparación de las muestras en Colombia antes de ser enviadas al exterior para su posterior datación, no solo permite disminuir los costos sino que también tiene otras ventajas respecto a enviar la muestra sin tratamiento como lo son: al aminorar el tiempo entre la toma de la muestra y el tratamiento disminuye la posibilidad de error en los resultados el obtener el cuarzo puro y descartar las arcillas, permite disminuir ostencialmente el tamano de la muestra a ser enviada a su datación y por lo tanto facilita su transporte y manipulacion; el realizar el pretatamiento en Colombia, facilita la labor del laboratorio donde se realiza la datacion y por lo tanto disminuye el tiempo transcurrido para obtener los resultados.
Se pretende con este trabajo informar de la existencia de este laboratorio a la comunidad científica del país interesada en el estudio del Cuaternario superior con el fin de buscar proyectos que incluyan dataciones por fotoluminiscencia que favorezcan así a todo el entorno científico colombiano.
REFERENCIAS
[1] Aitken, M.J., 1998. An Introduction to Optical Dating: the Dating of Quaternary Sediments by the Use of Photonstimulated Luminescence. Oxford Science Publications. 267 P. [ Links ]
[2] Fattahi, M. & Stephen, S., 2003. Dating volcanic and related sediments by luminescence methods: a review. EarthScience Reviews 62, pp. 229264 [ Links ]
[3] García, C., 2007. Datación por Fotoluminiscencia de algunas Formaciones Superficiales del Llano de Ovejas, Cordillera Central, Antioquia. Tesis de Maestría, Universidad EAFIT. 121 P. [ Links ]
[4] Lopez, G.I., Hermelin, M., García, C., Sierra, G.M., Toro, G.E. & Rink, W.J. sometido (2007). Evaluation of the Evolution of a High Elevation Plateau in the Northern Central Cordillera of the Andes, Colombia, South America: First Optical Ages and Preliminary Results. Geomorphology. [ Links ]













