SciELO - Scientific Electronic Library Online

 
 issue22EINSTEIN Y SU RECEPCIÓN EN COLOMBIAEINSTEIN Y LA REALIDAD DEL ESPACIO: REALISMO Y CONVENCIONALISMO* author indexsubject indexarticles search
Home Pagealphabetic serial listing  

Services on Demand

Journal

Article

Indicators

Related links

  • On index processCited by Google
  • Have no similar articlesSimilars in SciELO
  • On index processSimilars in Google

Share


Praxis Filosófica

Print version ISSN 0120-4688On-line version ISSN 2389-9387

Prax. filos.  no.22 Cali Jan./June 2006

 

EINSTEIN Y LA INDISCERNIBILIDAD*

Décio Krause

Universidad Federal de Santa Catarina

* Recibido Marzo de 2006; aprobado Abril de 2006.


RESUMEN

El tema de esta contribución me fue sugerido por el Profesor Michel Paty. Sabiendo que estoy muy interesado en la cuestión de la indiscernibilidad (o indistinguibilidad, palabra que aquí usaré como sinónima) de las partículas elementales y de sus consecuencias lógicas y filosóficas, él me hizo la excelente sugerencia de que escribiera esta pequeña nota sobre el papel desempeñado por Einstein en la consolidación de ese concepto, y también para hablar un poco de sus consecuencias lógicas y filosóficas para las bases de la física (y de la lógica) presente. En este artículo hago una revisión de algunos de los temas de naturaleza lógica relacionados con esa problemática, sin entrar en los detalles técnicos de la física, los cuales remito a los textos indicados en las referencias.

Palabras clave: Indistinguibilidad, indiscernibilidad, estadísticas cuánticas, lógica de la mecánica cuántica, lógicas no reflexivas.


ABSTRACT

The subject of this contribution was suggested to me by Prof. Michel Paty. Since he knows I am interested in the logical and philosophical implications of the problem related to the concepts of identity and individuality in quantum physics, he suggested me to write something about Einstein's contributions to this topic. Thus, in this paper, I make a brief revision on the related topics and concepts involved in such a problematic, so as advance some directions which have been touched by me and colleagues in a series of works.

Key words: Indistinguishability, indiscernibility, quantum statistics, logia of quantum mechanics, non-reflexive logics.


1. Introducción: la indiscernibilidad de los quanta

La idea de que las entidades básicas de la materia, que llamaré 'partículas elementales' (o quanta) pueden ser absolutamente indiscernibles (o 'idénticas', como prefieren decir los físicos) es de fundamental importancia para la física cuántica. Sin esa suposición, podemos decir, no habría teoría cuántica propiamente dicha, por lo menos en sus interpretaciones más usuales. La idea básica es la que sigue. Tanto las 'partículas clásicas' (esto es, aquellas descritas por la física clásica) como los quanta pueden concordar en sus características, o atributos, como la carga eléctrica, la masa u otros. Pero hay una distinción fundamental: dadas ciertas condiciones iniciales, las leyes de la física clásica nos permiten determinar con absoluta precisión la localización y la velocidad de las partículas, en cualquier momento de su existencia. En otras palabras, ellas son identificables por su posición espaciotemporal, y debido a un principio básico de la física clásica, que llamaremos Principio de Impenetrabilidad, no puede ocurrir que dos de esas partículas puedan ocupar el mismo sitio al mismo tiempo: ellas son impenetrables. En pocas palabras, las partículas clásicas son individuos. Por individuo entenderemos aquí una entidad que tiene características propias, de sí misma, que no las comparte con ninguna otra. Decimos muchas veces que un individuo es una entidad dotada de identidad. En efecto, muchas veces en filosofía se toma la propiedad "ser idéntica a a" como la característica peculiar del objeto a: solamente a es idéntico a a, y nada más. Eso implica que un individuo puede siempre ser discernido de otros, aún de los otros de su misma especie. En particular, él puede ser nombrado, y se puede contar una colección de individuos, aunque similares, incluso siguiendo los patrones habituales de los matemáticos, para quienes contar, por ejemplo una cantidad finita n de ellos, es exhibir una función biyectiva del ordinal n = {0, 1, ..., n- 1} en el conjunto en cuestión. Este punto es importante para nuestros siguientes propósitos: sea X un conjunto con n individuos (para todos lo que concierne a la física, podemos proseguir suponiendo que n es un número natural, puesto que aparentemente no necesitamos más que una cantidad finita de objetos). Así, contar los elementos de X es definir una función biyectiva f : n → X. Los valores ni∈ n pueden ser tomados como los nombres de los objetos de f(ni) ∈ X. Cada uno de ellos (nombres y objetos) es distinto de los otros, puesto que la función f es una biyección, o sea, como dije arriba, los elementos de X son distinguidos por sus nombres. La posibilidad de que siempre podamos 'seguir' una partícula por donde ella va hace que cualquier permutación de partículas (una por la otra) conduzca a estados distintos de las configuraciones inicial y final. En otros términos, y para que introduzcamos una terminología que nos será útil después, las permutaciones son consideradas como observables en el ámbito de la física clásica.

Eso se expresa diciendo que las partículas clásicas obedecen a una 'estadística' (proceso de contar) llamada Estadística de Maxwell-Boltzmann, en homenaje a dos de los mayores físicos del siglo XIX. En resumen, si tenemos dos partículas clásicas indiscernibles (o sea, que tienen las mismas propiedades) a y b, y dos estados posibles para ellas, A y B, entonces hay cuatro posibilidades, cada una con igual probabilidad de ocurrir: (i) ambas partículas están en A, (ii) ambas están en B, (iii) la partícula a está en A y la partícula b está en B, y (iv) el opuesto: la partícula b está en A y la partícula a está en B. Entonces, la distinción entre las situaciones (iii) y (iv) nos dice que, a pesar de la indiscernibilidad de las partículas, ellas son individuos, y por tanto hay alguna cosa que las distingue. Abajo hablaremos más sobre esto.

Los quanta indiscernibles, por otro lado, no pueden ser distinguidos uno del otro ni aún en mente Dei, como dijeran dos italianos que trabajaron mucho en esas cuestiones, Maria Luisa Dalla Chiara y Giuliano Toraldo di Francia1 . En este caso, hay dos posibilidades cuando estamos considerando dos quanta (para más de dos, otras combinaciones son formalmente posibles, lo que posibilitaría la definición de otras formas de estadísticas): los bosones obedecen la estadística de Bose-Einstein (y aquí surge por primera vez el nombre de Einstein en este contexto), y los fermiones que obedecen la estadística de Fermi-Dirac. La distinción consiste en que los bosones pueden agregarse más de uno en un mismo estado, lo que los fermiones no pueden hacer porque cumplen el Principio de Pauli, que dice exactamente que los fermiones no pueden agregarse en multiplicidades de más de uno en cada estado. Para los bosones, los estados (iii) y (iv) anteriores son idénticos; ellos son el mismo estado. Entonces, hay solamente tres posibilidades, cada una con la misma probabilidad (1/3) de ocurrir. Eso significa que una permutación de tales partículas no es algo que se pueda constatar por medio de la física (como decimos nosotros, las permutaciones no son observables –recuérdese el caso opuesto de las partículas clásicas arriba mencionado). Para los fermiones, debido al Principio de Pauli, tendremos únicamente la situación (iv), pero en esa situación también las permutaciones no representan nada. Así, si tenemos una colección de partículas no discernibles, no podremos (en principio) definir una función 'contar' como la f introducida arriba. Pero, ¿qué significa eso en términos lógicos? Lo veremos más adelante como una de las consecuencias de la indiscernibilidad.

Pero la indiscernibilidad de los quanta es una cuestión que tiene desdoblamientos importantes. Hoy es muy importante el estudio de los llamados condensados de Bose-Einstein (BEC es la sigla en inglés para Bose-Einstein Condensates), que son usados incluso en la computación cuántica2 . Esos son agregados (gas) de átomos llevados a una temperatura de casi cero absoluto, donde ellos modifican su comportamiento, y pasan a "andar al unísono", por así decir. Cierto es que esos átomos no son la misma cosa, pues son varios de ellos. Los físicos tienen incluso modos de estimar la cantidad de átomos en una muestra. Eso nos permite decir que tal colección tiene un cardinal, pero los átomos individuales no pueden ser discernidos unos de los otros (en particular, no pueden ser 'contados', como dije arriba). Las consecuencias para la lógica serán exploradas más adelante. En verdad, la indiscernibilidad es fundamental no solamente cuando estamos hablando de partículas, sino también para otras formas de expresar la teoría cuántica, como las ondas y mismo en las más recientes teorías de campos.

2. Una breve historia de la indiscernibilidad

La historia de la indiscernibilidad, como la de la propia mecánica cuántica, no puede ser separada de la historia de la mecánica estadística. Como dijo Schrödinger, "la mecánica cuántica nació en la estadística y acabará en la estadística" (apud French & Krause 2006, p. 84). En efecto, en su contribución fundamental, que es considerada como la que dio origen a la mecánica cuántica, Planck consideró datos estadísticos, como lo hacía Boltzmann anteriormente, pero con una diferencia fundamental, y para que veamos eso necesitamos una explicación (seguiremos a Singh 2006; French & Krause 2006, caps. 3 y 4; Pais 1995, cap. 9). La historia resumida empieza con Kirchhoff en 1859, quien verificó que los cuerpos calientes emiten energía de radiación con una emisión e(λ,T), que depende de la longitud de onda λ (una función que depende de la naturaleza del cuerpo) y de la temperatura T. Del mismo modo, la absorción de la radiación a(λ,T) sigue la misma regla, de manera que la razón entre esas dos cantidades es dada por e(λ,T) = E(λ,T).a(λ,T), y entonces E(λ,T) resulta ser una función que depende únicamente de λ y T. Kirchhoff definió el cuerpo negro como aquél en que a(λ,T) = 1, y así E(λ,T) = e(λ,T). Además, él mostró que la radiación interna en una cavidad mantenida a una temperatura T se comporta como un cuerpo negro, y entonces podemos estudiar experimentalmente la radiación por intermedio de esa cavidad. En 1884, Boltzmann, usando la teoría electromagnética de Maxwell, mostró que

donde ρ(λ,T) es la densidad de energía de la radiación, con frecuencia v=c/ λ y temperatura T, siendo c la velocidad de la luz en el vacío. Después, Wien hizo una simplificación en 1894, obteniendo ρ(v,T)= v3.f(v/T), ecuación en que figura una función ρ de sólo dos variables, pero una función f de una única variable v/T. Para representar esa ley, Wien propuso que

que es la ley de Wien de la radiación, donde a y b son coeficientes numéricos que deben ser fijados por las aplicaciones. En 1900, Rayleigh propuso que ρ(v,T) = c1.v2(T), pero no calculó el coeficiente c1. Después, en 1905, propuso un valor que, no obstante, contenía un error, corregido por Jeans también en 1905, resultando

que es la ley de la radiación de Rayleigh-Jeans. El problema es que cuando v/T tiende a cero, la energía total ρ(v,T) tiende al infinito, lo que fue llamado la catástrofe ultravioleta, como la denominó Paul Ehrenfest debido a que el problema surge en la región de pequeñas longitudes de onda en el espectro. Planck, que había sucedido a Kirchhoff en Berlín, propuso trabajar en el tema de la determinación de la función ρ(v,T); en 1900, llegó a su ley de la radiación del cuerpo negro, que se escribe (Singh Op. Cit.; Eisberg y Resnick 1986, p. 37)

donde k es la constante de Boltzmann y h la constante de Planck. En la derivación de esa ley, que abarca tanto la ley de Rayleigh-Jeans (cuando v/ T tiende a cero) y la ley de Wien (cuando v/T tiende al infinito), Planck siguió los pasos de Boltzmann adoptando una versión probabilística de la entropía. Para Boltzmann, la entropía S de una configuración estaba relacionada con la probabilidad termodinámica W (el número de las subdivisiones distintas de su energía, o sea, la medida de la probabilidad de que el sistema tenga una energía dada) por la ley S = k.lnW. Planck, para calcular la probabilidad W, en un "acto desesperado" (Singh 2006, p. 2104), asumió la versión probabilista de Boltzmann, pero para él la probabilidad para una configuración de N osciladores con energía total UN=UN y entropía SN=NS, exigía necesariamente asumir que UN está formada por elementos con energía finita , Planck trabajó con el numero total WN de modos de distribuir P elementos de energía

WN = (N+P-1)!/P!(N-1)! (*)

Y, finalmente, llegó a Σ = h.v, o sea, que los osciladores con frecuencia v pueden emitir (o absorber) radiación solamente en unidades de Σ = h.v. Esa discretización es considerada como la primera y fundamental hipótesis cuántica, aunque no fuera considerada seriamente por el propio Planck, para quién ella fue solamente una necesidad formal que debería ser substituida más tarde.

¿Qué nos muestra la ecuación (*)? Pensemos en N = 3 y P = 5, o sea, que tenemos 5 elementos para distribuirlos en 3 cajas. ¿Cuántas posibilidades hay? Por la ecuación, precisamente 21 posibilidades, dadas en la tabla abajo:

Como se puede percibir, la indiscernibilidad de los 'elementos' debe ser asumida necesariamente, o sea, no debe haber identificaciones de los elementos, como atribución de nombres a ellos. Solamente más tarde es cuando Ehrenfest percibió la importancia metafísica de esa suposición. Pero eso fue mucho más tarde. Albert Einstein fue el primero que percibió la importancia de la contribución de Planck a los quanta de energía discretos (el quantum de acción, como lo llamó después Bohr). En 1905, en su annus mirabilis, el publicó su famoso artículo sobre el efecto fotoeléctrico, utilizando la hipotes de Planck. Pero esa es otra historia. Desde un punto de vista filosófico, la derivación de Planck merece atención. En efecto, la hipótesis de que los elementos de energía son indiscernibles es contraria a las enseñanzas de la física clásica; si nosotros tuviéramos el cuidado de expresar con detalles la derivación de Planck en un sistema lógico, veríamos que la derivación es inconsistente, como lo percibió Einstein en 1917 (Cf. da Costa & French 2003, p. 96). Sin entrar en detalles históricos, podemos decir que este asunto nos enseña que la ciencia progresa a través de teorías informales (prototeorías, o cuasi-teorías); ciertamente, un estudio de sus fundamentos es muy importante. Entonces, debemos, entre otras cosas, entender cómo se pude asumir lógicamente esa indiscernibilidad de los quanta.

La "decantación" de la indiscernibilidad se vio a partir de 1924, año en que Einstein publicó un artículo en que trataba el modo de contar los estados posibles de agregación de los quanta indiscernibles, a partir de un trabajo que le envió el físico hindú Satyendra Nath Bose, el cual describía una nueva derivación de la ley de Planck sin hacer uso de la teoría electromagnética. En esa derivación, Bose había tomado en consideración la indiscernibilidad de los fotones, contrastando con la estadística clásica de Boltzmann, según la cual las partículas son individuos, pero Bose no había prestado la debida atención a la indiscernibilidad. Este resultado, en las manos de Einstein, condujo a la estadística de Bose-Einstein y a la fórmula que puede ser encontrada en los manuales de física, la cual es conocida como ecuación de Einstein, y está basada en la fórmula original de Planck (*) mencionada arriba. Entretanto, gracias a Einstein, ella ahora podía ser aplicada, no solamente a fotones, sino también a las partículas materiales. En efecto, la gran contribución de Einstein fue suponer que el modo de contar de Bose podría ser extendido a los átomos en general (y no solamente a los fotones), que se comportarían en un gas (más tarde se vio que eso se aplica solamente a los gases bosónicos, y no a los fermiónicos) de la forma descrita por Bose, si la temperatura no fuese muy baja (el comportamiento de los gases a temperaturas muy bajas, muy cerca del cero absoluto, ha conducido, en 1994, al descubrimiento de algo que ellos habían previsto en 1924, los condensados de Bose-Einstein, de los cuales hablamos un poco arriba). Hablar de entidades que obedecen a las 'estadísticas cuánticas', como son llamadas esas formas de contar, es asumir la indiscernibilidad de los quanta. Los objetos que puedan ser tratados como individuos, en el sentido mencionado arriba, no obedecen esas estadísticas. Así, las nuevas estadísticas aparentemente implicaron que las partículas cuánticas deberían perder su individualidad; como dijo Heisenberg: "la individualidad de los corpúsculos se perdió" (Cf. French & Krause Op. Cit., p. 105).

La indiscernibilidad de los fotones fue preponderante para la obtención de los resultados arriba descritos. Max Born, por ejemplo, dijo que "si esos fotones hubieran sido tratados como genuinas partículas, teniendo una individualidad en sí mismas, la ley de Planck no hubiera sido obtenida" (Born 1943, p. 27). Podríamos así quizás decir que Planck fue quien introdujo la indiscernibilidad en la física, pero que fue Einstein quien la llevó a situaciones más generales y fundamentales, o sea, a las partículas materiales. Veamos a continuación algunas de las consecuencias filosóficas de esas hipótesis.

3. Consecuencias de la indiscernibilidad

Primeramente, fijemos alguna terminología, que aquí solamente puede ser dada informalmente. Decimos que a y b son indiscernibles si ellos tienen todas las propiedades en común, y escribiremos a ≡ b. Por otro lado, decimos que a es idéntico a b, y escribimos a = b si, y solamente si, ellos son el mismo objeto, o sea, si no hay dos objetos, sino uno sólo, que puede ser nombrado tanto por a como por b. En las matemáticas tradicionales (o sea, aquélla que puede ser construida sobre una teoría patrón de conjuntos como Zermelo-Fraenkel), tenemos que a ≡ b si, y solamente si, a = b. Esto significa que la identidad es definida por medio de la indiscernibilidad, lo que está de acuerdo con el famoso Principio de la Identidad de los Indiscernibles, que remonta a Leibniz. O sea, en las matemáticas tradicionales, no hay entidades indiscernibles. Pero, si la mecánica cuántica pretende tratarlas, ¿cómo hacer? Primeramente, es preciso decir que, tratándose de una teoría física, podemos muy bien discutir la noción de propiedad; ¿debemos considerar las propiedades de localización espacio-temporales como legítimas?, ¿y qué decir de las relacionales? ¿O entonces debemos considerar solamente las monádicas (que son más cercanas a la noción de atributos)? Todas esas cuestiones han sido consideradas por los filósofos, quienes presentan entonces varias formulaciones del principio de Leibniz, dependiendo de qué sean las propiedades. Lo que importa para nosotros es que todas esas formas, dicen esos filósofos, son violadas por las hipótesis cuánticas sobre la indiscernibilidad (French 1989; French and Krause 2006). Entonces, eso apunta hacia la violación de una de las más básicas asunciones de las matemáticas (y de la lógica) tradicionales, la noción tradicional de identidad. Abajo veremos eso un poco más en detalle. Antes, veamos cómo la indiscernibilidad es tratada en las matemáticas usuales.

Como dije, más arriba, en las matemáticas usuales (y en la lógica tradicional) no hay entidades que sean indiscernibles sin que resulten ser las mismas entidades. Pero podremos siempre utilizar alguna especie de truco para hablar de indiscernibles. Un modo de entender eso es seguir lo que hizo Hermann Weyl, que nos esclarecerá muchas cosas. En el apéndice B del su libro Philosophy of Mathematics and Natural Science (Weyl 1949), Weyl intentó tratar las colecciones (agregados) de objetos de una forma que fuese compatible con las leyes de la mecánica cuántica. La idea básica es que tenemos un conjunto S con n elementos sobre el cual está definida una relación de equivalencia ~. Si tomamos el conjunto cociente S/~, sus elementos (clases de equivalencia) C1, ..., Ck son tales que cada una de ellas tiene una cantidad de elementos de S, digamos n1, ..., nk, y esas cantidades son tales que n1+...+ nk = n. Entonces, dijo Weyl, podremos quedarnos únicamente con esa 'descomposición ordenada' y no considerar que los objetos son elementos de un conjunto, puesto que lo que nos interesa no es la naturaleza de esos objetos individualmente, sino solamente la cantidad de ellos en cada una de las clases (que él identifica con los estados físicos). Ahora bien, como podremos observar, para obtener las clases, hay por lo menos las siguientes etapas a seguir: (1) empezamos con el conjunto S, que como dijo Cantor, el fundador de la teoría de conjuntos, es una colección de objetos distintos de nuestra intuición o pensamiento; (2) mediante la relación ~, que definimos sobre S, obtenemos el cociente S/~; (3) consideramos los cardinales de cada clase, cuya suma es la cantidad de elementos de S. Lo que nos pide Weyl es que olvidemos las etapas (1) y (2), quedándonos solamente con la (3) que es la importante para los propósitos de la física. ¡Pero eso es imposible! La matemática clásica nos dice que debemos empezar con una colección de individuos, y aunque deseemos olvidar que ellos son discernibles unos de los otros (pues son elementos de un conjunto), eso hace parte de la derivación completa. Empezar por el paso (3) es omitir parte de la matemática de la cosa.

Esa estrategia de Weyl es la utilizada, aunque no de esa forma, en la mecánica cuántica. En efecto, suponga que deseamos considerar dos quanta indiscernibles, como los dos electrones de un átomo de helio en el estado fundamental3 . El procedimiento general para dos quanta en estado de superposición (entangled) es lo que sigue. Primeramente, suponemos que los quanta son dos objetos distintos con coordenadas x1 y x2, cuyos comportamientos son descritos por funciones . Escribimos entonces una función (aquí en forma simplificada) como

donde el signo + vale para los bosones y el signo – para los fermiones. Así, una permutación de los índices (lo que representa una permutación de los quanta) no conduce a un estado que tenga densidad de probabilidad distinta de la anterior, la cual es dada por |ψ(x1, x2)|2. O sea, empleamos un truco matemático semejante a lo que dijo Weyl: empezamos suponiendo que tenemos individuos y después olvidamos este hecho para que las cosas queden bien. En efecto, eso funciona bien, puesto que la mecánica cuántica es quizás la teoría mejor corroborada que tenemos hoy. Pero, filosóficamente, hay una falacia: suponemos que las entidades son individuos y después olvidamos ese hecho. ¿Podremos llegar a una teoría que no necesite de ese truco? Tal teoría sería más cercana a las intuiciones primeras de Planck y en conformidad con las estadísticas de Bose y Einstein. Lo que afirmamos es que existe tal teoría: la teoría de cuasi-conjuntos.

4. Los cuasi-conjuntos

Una cuestión importante que debemos enfatizar es que no estamos intentando decir que los quanta deben ser vistos como 'pequeñas bolitas' como la tabla de arriba puede sugerir. El hecho es que la física cuántica (y la física en general) trabaja con la hipótesis de una cierta objetividad (sin ella no se distinguiría de las matemáticas)4 , haciendo referencia, aunque indirecta, a entidades de algún tipo, las cuales son representadas en los modelos como partículas (como en algunas interpretaciones), u ondas, o cuerdas, etc. El hecho es que esas entidades, para las finalidades de la física cuántica, pueden ser tratadas como no-individuos, o sea, como entidades que no tienen una 'identidad'. Eso necesita explicación.

El formalismo de la física cuántica (pensemos aquí, por simplicidad, en la teoría no relativista) es compatible con dos tipos de metafísicas: una que ve los quanta como no-individuos (esa es la 'concepción heredada' de Born, Schrödinger, Heisenberg, Bohr y otros); y otra que los considera como individuos a la par de sus hermanos 'clásicos', descritos por la física clásica, como ya dijimos más arriba en la primer sección. Cuando decimos dos metafísicas, queremos decir que el formalismo de la mecánica cuántica (por medio de los espacios de Hilbert) es compatible con dos visiones de los quanta, una como no-individuos y otra como individuos, pero la física no puede decidir cuál es la 'más correcta', si esa expresión tiene algún sentido aquí. La consideración de los quanta como individuos tiene un precio, que consiste en la restricción que hay que hacer en los estados a que ellos pueden acceder o en los considerados observables, además de una suposición de que su individualidad debe ser ocasionada por alguna forma de substrato, lo que trae más complicaciones conceptuales (véase French & Krause Op.Cit.). Aquí vamos a considerar la versión de los no-individuos, que ciertamente es la más interesante, y, además, es la que es más cercana de las bundle theories (o teorías de 'paquetes de propiedades'); o sea, que no nos comprometemos con la difícil noción de sustancia. La primera cuestión es considerar en qué sentido podremos admitir esos no-individuos. Nuestro modo de tratar la cuestión es rechazar la propiedad "ser igual a a", que ciertamente es verdadera para a y solamente para ella. Representemos esa propiedad escribiendo, por definición, I(x) =D x = a, y pensemos entonces en el Principio de Identidad de los Indiscernibles que, como dijimos arriba, es algo que debemos considerar. En un lenguaje de segundo orden podemos escribir ese principio, que llamaremos PII, como F(F(x)↔F(y))→x = y, en el cual x y y son variables individuales y F es una variable para las propiedades de esos individuos. Es fácil probar que si I(x) es contada entre las propiedades de los individuos, entonces PII es un teorema de la lógica de segundo orden. En efecto, si I(x) está entre las propiedades y si a y b tienen en común todas sus propiedades, entonces como I(a) es ciertamente verdadera, tenemos I(b), o sea, b = a. Así, si intentamos violar PII admitiendo que podemos tener objetos indiscernibles sin admitir algo 'por detrás' de las propiedades (alguna forma de substratum), una de las salidas es negar la 'autenticidad' de I(x) como una propiedad 'legítima'. Eso puede parecer extraño, pero concuerda con las ideas de Schrödinger, para quien el concepto de identidad carece de sentido para las partículas elementales de la física cuántica (Schrödinger 1952, pp.17-8; French & Krause Op. Cit.). O sea, expresiones de la forma x = y (como también su negación: x ≠ y) no son bien formadas si x y y denotan esas entidades. Así, sin hablar (formalmente, en el lenguaje objeto) de la identidad y de la diversidad de las entidades básicas de que tratan nuestras teorías, podremos considerar que ellas pueden tener todos los atributos o propiedades en común sin que resulten ser las mismas cosas. El PII deja de ser válido generalmente. Los detalles formales de esos sistemas no serán presentados aquí (pero véase French & Krause Op. Cit.), pero podremos decir que los no-individuos son, hablando intuitivamente, entidades que carecen de identidad, o entonces que no obedecen a la teoría de la identidad de la lógica tradicional. Asimismo, debido a los postulados, podemos tener colecciones de esas entidades, los cuasi-conjuntos, los cuales pueden tener un cardinal, expresando la cantidad de sus elementos, pero ese cardinal no es definido como usualmente, por medio de los ordinales; en resumen, hay cuasi-conjuntos que tienen cardinales, pero no ordinales.

5. Los cuasi-conjuntos en uso

Como dijimos arriba, la derivación de las estadísticas cuánticas depende de la hipótesis de la indiscernibilidad de los quanta. Como hemos visto, primero consideramos que los objetos cuánticos son (en los formalismos) individuos, nombrados de algún modo, por ejemplo por sus coordenadas, y después alguna forma del Postulado de Indiscernibilidad, expresando condiciones de simetría, es entonces necesariamente introducido, una que dice que cualquier permutación de esos individuos no representa nada de significativo. En esta sección veremos dos aplicaciones de la teoría de cuasi-conjuntos; primero, cómo podremos expresar cosas como la descomposición atómica de un cierto elemento químico por medio de ciertas cuasi-relaciones que nos ayudarán a entender cómo las estadísticas entran en esa descripción.5 Después veremos cómo podemos entonces derivar las estadísticas sin hacer esa hipótesis de la necesidad de introducir postulados de simetría. Para eso, usaremos la teoría de los cuasi-conjuntos, aunque sin dar todos los detalles de ella, lo que puede verse en los trabajos seleccionados en las referencias.

Veamos el primer ejemplo. Mostraremos en líneas generales cómo se puede obtener la distribución electrónica del átomo de sodio en términos de los cuasi-conjuntos, presentando una fórmula del lenguaje de esa teoría que corresponde a la expresión 1s22s22p63s1, sin necesidad de nombrar las entidades. Haremos uso de cuantificadores restringidos: A x(...) debe ser leído así: x(x A → (...)), y ∃A x(...) es: ∃x(x∈ A ∧ (...)). Ahora supongamos que P es una colección de cuasi-conjuntos no vacíos cuyos elementos son objetos para los cuales la relación de identidad no se aplica (ellos son llamados m-átomos; si x es un m-átomo, escribimos m(x)). La unión de P, ∪P, es el cuasi-conjunto de los 'quanta'. Sea S un 'conjunto' finito y totalmente ordenado (los conjuntos son copias de los conjuntos de Zermelo-Fraenkel con ur-elementos, o sea, objetos que no son conjuntos pero que pueden ser elementos de los conjuntos) cuyos elementos llamaremos 'estados cuánticos', denotados por s1, ..., sn. Además, sea F un predicado unitario definido así: F(x) =Dm(x) ∧ Sx (si s es un cuasi-conjunto tal que x∈ s, entonces el cardinal de s es 1) –eso puede ser escrito en el lenguaje objeto, pero aquí no haremos eso. Intuitivamente, F dice que x es un quanta que no puede pertenecer a más de un estado cuántico; llamaremos esos quanta fermiones. Si ¬F(x), entonces x es un bosón (si la teoría es consistente, ningún m-átomo puede ser un fermión y un bosón, com ose puede probar). Sea R la relación (más precisamente, una cuasi-relación, pero esas diferencias no importan aquí)

6

sujeta a la siguiente condición: si ⟨p, s⟩ ∈ R y si F(x) para todo x ∈ p, entonces el cardinal de p es 1. Llamaremos esa restricción Principio de Pauli. Tomemos entonces nuestro ejemplo. Supongamos un átomo de sodio. Entonces ∪P tiene 11 elementos para ser distribuidos, y sea S = {s1, ..., s12} la colección de estados posibles –la razón para 12 estados quedará claro enseguida. Así, en este caso la relación R es

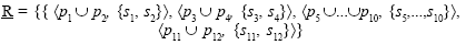
con los cardinales de pi (i = 1, ..., 11) iguales a uno y el cardinal de p12 siendo cero. Dada una relación R como la de arriba, siempre podemos seleccionar una familia de sub-cuasi-conjuntos Si (i = 1, ..., n) de S tal que su intersección sea vacía, o sea, ∩Si = ∅. En nuestro caso, podemos tener S1 = {s1, s2}, S2 = {s3, s4}, S3 = {s5, s6, s7, s8, s9, s10}, S4 = {s11, s12}. Cada Si es llamado un bin de energía, o un macro-estado. Los elementos s ∈ Si son los estados de energía, o micro-estados. Así, cada Si de nuestro ejemplo corresponde a un nivel de energía para los electrones del átomo de sodio. El macro-estado S4 permite dos quanta, mas como el cardinal de s12 es cero, solamente hay un electrón en él. De este modo, tenemos la relación

donde los cardinales de p1 ∪ p2 y de p3∪ p4 son iguales a 2, el de p5 ∪...∪p10 es 6 y el de p11 ∪ p12 es 1. Esa relación R es la versión cuasiconjuntista de la expresión 1s22s22p63s1.

Ahora tratemos el segundo ejemplo, el de las estadísticas. Suponga que tenemos una cuasi-relación como la R definida en el ejemplo precedente, o sea, R = {⟨p, s⟩ : p∈ P ∧ s ∈ S}, y supongamos además que el cardinal de la unión de P (o sea, la cantidad de quanta considerados) es N. Los estados posibles son, por supuesto, los K elementos de S = {S1, ..., Sk}, como arriba, el cual es una colección de sub-cuasi-conjuntos de S que son dos a dos disjuntos. Entonces, para una situación particular i, podremos definir una relación Ri = {⟨p, s⟩ : p∈ P ∧ s ∈ Si}, donde Si es un elemento particular de S. Cada una de las relaciones Ri describe intuitivamente una distribución particular de Ni quanta en los Ki estados de Si. Así, podremos considerar la cuestión básica: ¿De cuántas maneras distintas podremos distribuir Ni bosones indiscernibles en Ki estados cuánticos? Una vez que la correspondencia entre los bosones y los estados cuánticos es dada por las relaciones Ri y considerando que los bosones no están sujetos al Principio de Pauli formulado arriba, la respuesta es la cantidad de relaciones Ri que podamos formar. Para ver eso con un ejemplo, supongamos que P = 5 y que haya tres estados en S, que llamaremos s1, s2 y s3. Una vez que colecciones (cuasi-conjuntos) de esos bosones con la misma cardinalidad sean indiscernibles (esa afirmativa resulta de los postulados de la teoría de cuasiconjuntos), hay precisamente 21 relaciones posibles, las cuales ejemplifican exactamente las 21 situaciones de la tabla mostrada en la sección 2 precedente. Tomemos por ejemplo la relación R5, que corresponde a la quinta línea de la tabla, o sea, R5 = {⟨p1, s1⟩, ⟨p2, s2⟩, ⟨p3, s3⟩}, con los cardinales de p1, p2 y p3 siendo respectivamente 4, 0 y 1.

De manera general, calculando las relaciones Ri que puedan ser formadas, llegamos una vez más exactamente la ecuación (*) de la sección 2 (llamada ecuación de Einstein), que generaliza la de Planck, pero con N en el lugar de P en la ecuación y con S en el lugar de N en la misma. Es importante decir que esa fórmula surgió aquí de manera 'natural', debido a la noindividualidad de los quanta, sin que fuese necesario postular cualquier condición de simetría. El lector debe reparar que no iniciamos la derivación asumiendo que los quanta fueran individuos, por ejemplo atribuyéndoles índices o nombres. La derivación fue 'natural', como pensamos que debe ser con los quanta tales como los describe la física cuántica. Podríamos proseguir con otros ejemplos, pero lo que dijimos, pienso, es suficiente para dar una idea de los desarrollos posibles en la teoría de cuasi-conjuntos (para más detalles, véase el artículo mencionado arriba).

6. Un realismo de no-individuos

La idea de considerar no-individuos de eso modo nos ayuda a entender uno de los problemas centrales del debate cuántico. Como sabemos todos hoy, Einstein objetó contra la interpretación probabilista de la mecánica cuántica debido a su fuerte creencia en la separabilidad. En efecto, la filosofía de Einstein está fuertemente conectada con las ideas de localidad y separabilidad. Luego, después del artículo en que presentan la 'paradoja EPR' (Einstein-Podolski-Rosen), contestando la supuesta completitud de la mecánica cuántica, como la defendía Bohr y su escuela, Einstein formuló su propia versión del argumento de la incompletud de la mecánica cuántica (él no había estado plenamente de acuerdo con la versión definitiva del artículo original, hecha por Podolski), la cual está fuertemente vinculada a esas dos nociones. Por separabilidad entenderemos la situación en que sistemas separados espacialmente tienen asociados a ellos estados de cosas reales independientes (Howard 1985; 2004). De conformidad con Einstein, el realismo "no es una doctrina filosófica sobre la interpretación de las teorías científicas o de la semántica de los términos teóricos (...) sino que es un postulado físico, uno de los más típicamente interesantes" (citado por Howard 2004). Esa idea fundamenta su concepción de la realidad física. Como dijo el propio Einstein:

(...) lo que concebimos como existiendo ('actual') debe estar localizado en el espacio y en el tiempo. Esto es, lo real en una parte del espacio, A, debería (en teoría) de algún modo 'existir' independientemente de lo que es pensado como real en otra parte del espacio B. Si un sistema físico se extiende sobre las partes A y B, entonces lo que esté presente en B debería tener una existencia independiente de lo que esté presente en A. Lo que esté presente en B debería entonces no depender del tipo de medición desarrollada en la parte del espacio A; él debería también ser independiente de si una medición es o no realizada en A. (en Howard, 2004).

Así, como dijo Howard, "el realismo es entonces la tesis de la separabilidad espacial, la afirmación de que la separación espacial es una condición suficiente para la individuación de los sistemas físicos, y esa hipótesis es hecha aquí como una condición cuasi necesaria para la posibilidad de una ciencia inteligible de la física" (Ibíd). En efecto, en una carta a Born, Einstein insistió que

... si uno abandona la hipótesis de que lo que existe en diferentes partes del espacio tiene su propia e independiente existencia real, entonces yo simplemente no puedo ver lo que la física pretende describir. Lo que es pensado como un 'sistema' es, antes de todo, únicamente una convención, y yo no puedo ver cómo uno podría dividir el mundo objetivamente de un modo que él pudiera hacer declaraciones sobre una parte de él. (en French and Krause 2006, Chap. 4).

Las críticas usualmente dirigidas contra el principio de la separabilidad están centradas en el hecho de que él funciona como un principio de individuación para los sistemas cuánticos. Como individuos, los sistemas cuánticos no deberían poder estar en estados de superposición (entangled states), pues los individuos deberían tener propiedades particulares, lo que contraría la idea de la superposición. Entonces, la separabilidad, vista como una condición suficiente para la individualidad, sugiere que la violación de las desigualdades de Bell implicaría, primeramente, que deberíamos rechazar la separabilidad de los objetos cuánticos en estados de superposición y por tanto, en segundo lugar, esos objetos, estando en tales estados, no deberían poder ser considerados como individuos. En otras palabras, el teorema de Bell implicaría la no-individualidad.

Por nuestra parte, pensamos que la eliminación de la idea de separabilidad, como está indicada arriba, se justifica solamente si nosotros aceptamos los objetos cuánticos como si fueran 'objetos clásicos', y sabemos que ellos no lo son. Entonces, si suponemos que hay 'objetos' (por la falta de una palabra más adecuada) que no tienen individualidad, pero que pueden ser agrupados en colecciones que tienen un cardinal pero no un ordinal asociado (aunque ese cardinal pueda cambiar con el tiempo, como es el caso cuando entran las consideraciones relativistas), podremos hablar de 'ellos' sin individualizarlos. Entretanto, como esas entidades (eventualmente) se asemejan totalmente, como los electrones, no hay cómo decir que forman sistemas que tienen sus propiedades características (o individuales), y eso vale inclusive para las propiedades de localización espacio-temporal. En efecto, uno podría decir, podemos nombrar dos electrones que están localizados en posiciones distintas del espacio en un instante dado, como uno aquí en la red de mi computador (llamemos a ese electrón Pedro) y otro en la pared de mi casa (al cual llamaremos Paulo). Pero esos nombres solamente ocasionan una individualidad ficticia (mock individuality), como la llaman Dalla Chiara y Toraldo di Francia (1993, p. 266), no pudiendo ser considerados como 'designadores rígidos' en el sentido de Kripke (o sea, como términos del lenguaje que designan los mismos objetos en todos los mundos posibles), pues 'Pedro' puede ser el nombre de cualquier electrón del universo, sin que haya diferencia entre dos situaciones obtenidas cambiando 'un Pedro' por 'otro' (en verdad, todos los electrones son 'Pedros'). Déjenme insistir en este punto. Hoy en día existen ciertas experiencias en las cuales se puede 'aprisionar' un electrón por medio de fuertes campos electro-magnéticos. Si llamamos a uno de esos electrones 'Pedro', uno podría decir que él queda individualizado. Si realizamos el experimento dos veces en locales distintos, entonces el otro quanta de la misma especie podría llamarse 'Paulo', y podríamos pensar que quedan individualizados por sus localizaciones espaciales. Pero eso no es así tan simple. La idea asociada a un nombre es la de que sirva para que nosotros podamos reconocer el objeto nombrado en otras situaciones, como cuando nos encontramos en otra ocasión a un amigo (Pedro) en la calle y lo llamamos por su nombre. Aunque, como dijo Hume, lo hacemos por la fuerza del hábito, todo pasa como si la persona que reconocimos como siendo nuestro amigo sea de hecho él. Eso no ocurre con los electrones. Sería como si cualesquiera de nuestros amigos pudiera ser Pedro, y sabemos que este no es el caso con nuestros amigos. El electrón aprisionado en el experimento puede ser cambiado por 'otro' (sea lo que sea que entendamos por 'otro' en este contexto), por ejemplo deshaciendo el experimento y haciéndolo una vez más (jamás podremos decir que el 'nuevo' electrón aprisionado es el mismo que el anterior, o que es distinto de él; esas palabras no tienen sentido preciso aquí). Además, en el formalismo, si representamos el quanta 'Pedro' πορ |⎠1⟩ y el quanta 'Paulo' πορ |⎠2⟩, entonces si intentamos hablar del sistema conjunto debemos hacerlo por una función |⎠12⟩ = |⎠1⟩ |⎠1⟩ ± |⎠2⟩|⎠1⟩ (excepto por unas constantes, como indiqué en la ecuación (**) de la sección 3, y entonces la densidad de probabilidad conjunta será | |⎠12⟩|2, θυε εσ διστιντα δε ||⎠1⟩|2 + ||⎠1⟩|2 debido a un término de interferencia θυε απαρεχε εν ελ δεσαρρολλο δε ||⎠12⟩|2. En síntesis, los quanta ya no pueden ser individualizados, de modo que ya no sabremos cuál de ellos está donde debería estar 'Pedro' y cuál es el que está donde debería estar 'Paulo'. Ellos se quedan misturados (entangled) y su identidad se pierde. De esa forma, como dijo Schrödinger, si intentamos decir que el electrón que estaba aquí en un instante de tiempo t1 es el mismo electrón que está allá en el tiempo t2 (con t2 > t1), eso debe ser entendido solamente como una abreviación de lenguaje (1952, p. 17). En verdad, no tenemos un lenguaje adecuado para tratar de esas entidades que no tienen individualidad. La teoría de cuasi-conjuntos puede prestarse, por lo menos parcialmente, para esos propósitos (Ballón 2000).

La insistencia de Einstein en que deba haber separabilidad puede entonces ser entendida no como implicando que los sistemas físicos sean individuos, sino que aun sin individualidad, como es la suposición que dije para llegar a la estadística de Bose-Einstein, sean contados como más de uno, lo que lleva necesariamente a una ontología de no-individuos. La dificultad de tratamiento de esa ontología, como se puede percibir, es grande, pero quizás los sistemas de cuasi-conjuntos mencionados arriba puedan ser una primera aproximación en esa dirección. Así, se ve que la contribución fundamental de Einstein, cuyos precursores fueran Planck y Bose, sugirió también una nueva ontología. Eso muestra que las ideas del gran maestro continúan proporcionándonos nuevas y originales suposiciones filosóficas y aún lógicas.


Agradezco a Michel Paty por las conversaciones que tuvimos sobre el tema de este artículo y por los esclarecimientos que me ha dado, también a Regino Martínez-Chavanz, pero no quiero decir que ellos van a estar de acuerdo con todo lo que aquí digo. Quiero también expresar mis agradecimientos a Germán Guerrero Pino por la invitación a someter este artículo a la revista Praxis Filosófica, y a él y a Regino por toda su ayuda en la preparación de la versión final.

1 Jonathan Lowe hace comentarios semejantes en su libro [2001], p. 62. Ese énfasis es importante porque nos dice que no se trata de una cuestión de encontrarse mecanismos o variables ocultas que puedan caracterizar los quanta individualmente, porque eso es imposible, o que indicaría la necesidad de aceptar una ontología de no-individuos en alguna acepción. Pero abajo veremos que la mecánica cuántica (o su formalismo) es también compatible con una metafísica de individuos, pero a un precio.

2 Una página donde se puede encontrar explicaciones introductorias sobre los BECs es la "BEC Homepage", en http://www.colorado.edu/physics/2000/bec/.

3 Las personas interesadas en los detalles pueden consultar el libro de E. Merzbacher, Quantum Mechanics (1970), p. 442, para ver la ecuación de Schrödinger en el caso específico del átomo de helio. Esa ecuación utiliza un operador, el Hamiltoniano, que contiene dos índices para nombrar los dos electrones, pero es simétrico con respecto a un cambio de tales índices. En otras palabras, esos 'nombres' son ficticios; el propio Merzbacher hace referencia a la "hipótesis provisional de que las partículas son distinguibles en principio", y continúa: "De hecho, sabemos que esa hipótesis [de que ellas son distintas] es falsa, pero (...) [ella] puede ser tratada con negligencia." (Ibíd., p. 442-3). Eso corrobora fuertemente lo que estamos intentando decir.

4Pero como saben los filósofos, esa interpretación de las teorías físicas es también tema de controversias. Nosotros no vemos cómo evitar ese compromiso de las teorías físicas con entidades 'reales' de algún tipo. El problema está, en nuestra opinión, en el modo de cómo nos acercamos y representamos esa 'realidad' por medio de nuestras teorías; podremos ser realistas, y creer en un mundo independiente de nosotros, o ser antirealistas, de algún tipo, acreditando que nosotros 'elaboramos' el mundo de cierta forma, sea con partículas, con ondas u otra cosa. Una interesante defensa de un antirealismo es presentada por E. Brian Davis en su libro [2003], que es contestada por Martin Gardner en su reseña del mismo libro (véase Gardner 2005).

5 Esas ideas fueran presentadas en Krause, Sant'Anna y Volkov 1999.

6 Una nueva alerta: hay diferencias entre las notaciones usadas en la teoría de los cuasiconjuntos, pero estaremos aquí utilizando la notación usual por simplicidad. Eso no nos hace perder la generalidad y es más aceptable desde un punto de vista intuitivo.


Referencias Bibliográficas

Ballón, J. C., "Física cuántica y teoría cuasiconjuntista: ¿Nueva lógica o nueva concepción de cientificidad?", in M. Giusti (ed.), La Filosofía del Siglo XX: Balance y Perspectivas, Anales del 7º Congreso Nacional de Filosofía, Lima, Perú, Fondo Editorial de la PUC/Perú, Julio 2000, 397-407.        [ Links ]

Born, M., Experiment and Theory in Physics, Cambridge, Cambridge Univ. Press, 1943.        [ Links ]

da Costa, N. C. A. and French, S., Partial Truth: A Unitary Approach to Models and Scientific Reasoning, Oxford, Oxford Univ. Press, 2003.        [ Links ]

Dalla Chiara, M. L and Toraldo di Francia, G., "Individuals, kinds and names in physics", in G. Corsi et al. (eds.), Bridging the Gap: Philosophy, Mathematics, and Physics, Dordrecht, Kluwer Ac. Pub., 1993, 261-283 (Boston Studies in the Philosophy of Science Series, Vol. 140).        [ Links ]

Davies, E. Brian, Science in the Looking Glass: What do Scientists Really Know?, Oxford, Oxford Univ. Press, 2003.        [ Links ]

Eisberg, R. e Resnick, R., Física Quântica. Rio de Janeiro, Campus, 4ª. Ed., 1986. French, S., "Why the principle of the identity of indiscernibles is not contingently true Esther", Synthese 78, 1989, 141-66.        [ Links ]         [ Links ]

French, S. and Krause, D., Identity in Physics: a Historical, Philosophical and Formal Analysis, Oxford, Oxford Univ. Press, 2006.        [ Links ]

Gardner, M., "Science in the looking glass: what do scientists really know?", Notices de la American Mathematical Society, Decembre 2005, 1344-7.        [ Links ]

Howard, Don A., (1985) "Einstein on locality and separalility", Studies in History and Philosophy of Science 16, 171-201.        [ Links ]

Howard, Don A., (2004) "Einstein's Philosophy of Science", The Stanford Encyclopedia of Philosophy, Spring 2004 Edition, E.N. Zalta (ed.), plato.stanford.edu/archives/spr2004/entries/einstein \- -philscience.        [ Links ]

Krause, D., Sant'Anna, A. S. and Volkov, A. G., "Quasi-set theory for bosons and fermions: quantum distributions", Foundations of Physics Letters 12 (1), 1999, 51-66.        [ Links ]

Krause, D., "Una ojeada a las bases ontológicas de la física cuántica", Praxis Filosófica, Nueva serie, No. 21, Julio-Diciembre 2005, pp. 5-20.        [ Links ]

Lowe, E. J., The Possibility of Metaphysics, Oxford, Clarendon Press, 2001.        [ Links ]

Merzbacher, E., Quantum Mechanics, New York, John Wiley and Sons, 2a. ed., 1970. Pais, A., Sutil é o Senhor: a Ciência e a Vida de Albert Einstein, S. Paulo, Nova Fronteira, 1995.        [ Links ]         [ Links ]

Roldán Charria, J., Ben-Dov, Y. Guerrero Pino, G., La complementariedad: una filosofía para el siglo XXI, Programa Editorial Universidad del Valle, Cali, 2004.        [ Links ]

Schrödinger, E., Science and Humanism, Cambridge, Cambridge Univ. Press, 1952.        [ Links ]

Singh, V., "Einstein and the quantum", Current Sci. 89 (12), 2005, 2101-2112.        [ Links ]

Weyl, H., Philosophy of Mathematics and Natural Science, Princeton, Princeton Univ. Press, 1949.        [ Links ]

Creative Commons License All the contents of this journal, except where otherwise noted, is licensed under a Creative Commons Attribution License