Services on Demand
Journal
Article
Indicators
-
Cited by SciELO -
Access statistics
Related links
-
Cited by Google -
Similars in
SciELO -
Similars in Google
Share
Revista Facultad de Ingeniería Universidad de Antioquia
Print version ISSN 0120-6230
Rev.fac.ing.univ. Antioquia no.68 Medellín July/Sept. 2013
ARTÍCULO ORIGINAL
Electrokinetic remediation of mercury- contaminated soil, from the mine El Alacran-San Jorge river basin, Cordoba - Colombia
Electroremediación de suelos contaminados con mercurio, provenientes de la mina El Alacrán - cuenca del río San Jorge, departamento de Córdoba-Colombia
José Luis Marrugo Negrete, Erick López Barboza*
Grupo de Aguas, Química Aplicada y Ambiental. Universidad de Córdoba, Colombia. Cra 6 N.° 76-10. Codigo postal 354. Montería, Colombia
*Autor de correspondencia: telefax: + 57 + 4 + 786 03 81 ext. 310, correo electrónico: erickl45@hotmail.com (E. López)
(Recibido el 29 de febrero de 2012. Aceptado el 5 de agosto de 2013)
Abstract
The aim of this work was to evaluate the electrokinetic technique for remediation of mercury contaminated soils from the mine El Alacrán, located in the San Jorge river basin from Colombian's Córdoba department. KI and NaCl solutions were used as complexing agents for removing mercury at two concentrations 0.01 M and 0.05 M, by applying voltages of 30 and 40 V respectively. The best results were obtained when KI was used as complexing agent, reaching percentages of recovery up to 98.7%. The treatments where NaCl was used as complexing agent not achieved significant recoveries (< 1%), except when was used a concentration of 0.05 M NaCl with an applied voltage of 40 V reaching a recovery of 38%. In all experiments, the mercury moved towards the anode due to complexation of anionic nature complex and was observed that increasing concentrations and voltages a more efficient and speedy removal of mercury in the soil was achieved. The results showed that the iodide has properties that make it a promising electrolyte solution for the removal of mercury in the soil.
Keywords: Electrokinetic, complexing agents, soil, mercury
Resumen
El objetivo de este trabajo fue evaluar la técnica electrocinética para la remediación de suelos contaminados con mercurio de la mina El Alacrán, ubicada en la cuenca del río San Jorge en el departamento de Córdoba, Colombia. Soluciones de KI y NaCl fueron usadas como agentes complejantes para la remoción del mercurio en dos concentraciones 0.01 y 0.05 M, aplicando voltajes de 30 y 40 V respectivamente. Los mejores resultados fueron obtenidos cuando el KI se usó como agente complejante, alcanzando porcentajes de recuperación hasta de 98.7%. los tratamientos donde el NaCl se usó como agente complejante no alcanzaron recuperaciones significativas (< 1%), excepto cuando se usó una concentración de 0.05 M de NaCl con un voltaje de 40 V alcanzando una recuperación de 38%. En todos los experimentos, el mercurio se movió hacia el ánodo, debido a la formación de complejos de naturaleza aniónica y se observó que incrementando la concentración y el voltaje, una mayor eficiencia y velocidad de remoción de mercurio del suelo fue alcanzada. Los resultados muestran que el ioduro tiene propiedades que lo hacen una solución electrolítica prometedora para la remoción del mercurio en suelos contaminados.
Palabras clave: Electrocinética, agentes complejantes, suelo, mercurio
Introduction
An incautious utilization of mercury has resulted in severe contamination of soil, sediments, and water resources in association to mines and industries all over the world [1]. In the San Jorge river basin in the department of Córdoba there were several mining activities among which is the extraction of gold, which dates from the eighteenth century, where it have been used the mercury amalgamation process for the recovery of metal [2]. This process leads to direct spillage of large quantities of metal in soils and water bodies such as swamps and lagoons. The mercury-gold amalgam obtained is usually burned in open fields freeing gold and releasing the toxic metal in the form of vapor directly to the atmosphere [3]. Once deposited, the mercury form can change (primarily by microbial metabolism) into methylmercury, which has the ability to accumulate in organisms (bioaccumulation) and concentrate in food chains (biomagnifications) [4]. As an additional problem, mercury can be readily re-emitted into the atmosphere from any site that has been deposited, due to its volatility. Therefore, the release of mercury into the environment by human activities can severely contaminate the local environment and could also affect local and regional environments [5].
The electrokinetic remediation is an innovative technique for the decontamination and restoration of contaminated soils, sediments and other solid waste [6]. Numerous laboratory and pilot-scale experiments have demonstrated the effectiveness of the process to remove a wide variety of heavy metals and radionuclides from several porous media such as clays, sediments and soils [710]. The electrokinetic remediation involves the applying a low intensity electric current between electrodes inserted in situ in contaminated soil that allows for the mobilization of water, ions and charged small particles [11].
During treatment, contaminants can be transported by different mechanisms: electromigration (movement of ions to the electrode of opposite charge) electroosmosis (movement of water in relation to the charged surface of soil particles), and electrophoresis (movement of ions such as response to a potential difference [12]. The electroremediation has focused mainly on metal migration as electromigration is generally higher than electroosmosis [13]. The technique has been used successfully to remove > 90% ofheavy metals (arsenic, cadmium, cobalt, chromium, copper, mercury, nickel, manganese, molybdenum, lead, antimony and zinc) in clay, peat and clay soils [14]. The electrokinetic process is very promising for the remediation of contaminated soils, as it has a high removal efficiency and time effectiveness in low permeability soils [15]. Its advantages include low power consumption, tight control of the direction of the water and dissolved contaminants, and containment of pollutants in the chambers of the electrodes that make it easier the subsequent decontamination treatment [16].
This study assessed the effectiveness of the method of electrokinetic remediation in soil contaminated with mercury from the mine El Alacrán, San Jorge river basin, Córdoba department.
Soil sampling and characterization
Soil samples were taken at the mine El Alacrán situated in coordinates 7°44'29.01'' North, 75°44'10.8'' West, top of the San Jorge river basin. Samples of equal volume and weight on the horizon A were mixed and homogenized obtaining a sample representative of the soil. The sample was transported to the laboratory using plastic bags, dried at room temperature, homogenized and sieved to reject grain sizes greater than 2 mm. Soil properties were determined using the below: pH and redox potential (Eh) (potentiometric method), cationic exchange capacity (CIC) (method of extraction with ammonium acetate), organic matter content (MO) (Walkley-Black method), conductivity (EC) (potentiometric method) [17] and texture (Bouyoucos method) [18].
Electrokinetic experiment
Soil samples were arranged by the preparation of a wet paste with treatment solutions, then the soil samples were dried during 24 h at room temperature and introduced into the cells for subsequent electrokinetic treatment. The soil / solution ratio was chosen empirically so the paste had a semisolid consistency suitable for packaging in the cells (1.2 to 1.7 g cm3 density depending on the type of soil) [19].
Electrokinetic experiments were conducted in a 46 x 10 x 10 cm3 pastic box, dimensions that have shown adjustments to the process [20]. The 1 cm diameter graphite plate electrodes were placed at the ends of the box in the electrode compartments, separated from the soil by a double layer of filter paper, 1 kg of soil was located in the middle of the compartments. The total length of the soil column was 27 cm. For all treatments shown (table 1) the grade removal of Hg was assessed at time intervals of 1, 3, 5, 10 and 12 days for NaCl treatments, and 2.5, 7.5, 12.5, 17.5 and 20 h for KI treatments.
A factorial design was performed, the results were compared with a significance level of 5% to determine the existence of interaction between the levels of concentration, of the voltage and time factors.
Analysis of samples
The concentration of total mercury (HgT) was determined in triplicate using the technique ofcold vapor atomic absorption spectrometry (AAS-VF) [21, 22]. Similarly, the sequential extraction was performed in triplicate [23]. Solution samples were taken from the electrode compartments and HgT was determined. The veracity of methods was determined by analysis of reference certified material (IAEA-405) for HgT determination in soil, and accuracy and precision measurements (% recovery and variation coefficient) in with soil samples for sequential extraction procedure.
The pH and voltage gradient in the soil were monitored at stipulated times for different treatments of NaCl and KI. Samples were taken at 3, 6, 18 and 24 cm from the anode to the determination of HgT and the pH in the soil, samples were dried for 24 hours at room temperature, digested and analyzed. The soil was subjected to sequential extraction by sampling at 3, 18 and 24 cm from de anode at the end of treatment.
Sequential extraction
2g samples of soil were subjected to sequential extraction in parallel as shown in table 2.
Centrifugation and analysis of the supernatant followed. New soil was taken for each extraction, so that each extraction step was independent of the steps before.
Results and discussion
Analytical parameters
In the different matrices the calibration curve used for the determination of Hg was Y = 0.0007 + 0.0072 with r2 = 0.9998, it was prepared from the triplicate determination of 5 standard solutions of Hg undigested. It was found that the method was precise and accurate according to table 3.
Table 4 shows the accuracy of the method of sequential extraction of soil samples made without the subsequent electrokinetic treatment. The results show no significant differences between the sum of the concentrations of the extracted fractions and by digestion of HgT in the soil determined concentration, therefore the method was precise and accurate.
The detection limit for determination of HgT in soil was 3.571 ng/g, in solution it was 0.0076 ng/mL, determinations of HgT at the different treatments of NaCl and KI were over the detection limit in the soil and the electrode compartments.
Soils
The soil was characterized by determining some physicochemical properties, listed in table 5. The soil has a silty clay loam texture, is considered extremely acidic, with an average organic matter content, and low salt content, with a high ICC due to clay content and organic matter. The concentration of HgT found in soil was 3.05 ± 0.04 μg/g found in the range of soils contaminated with Hg (0.2 - 100 μg/g) [24].
Current
The current through the soil was between 2 and 40 mA, when we used 40 V it was the greatest variation in treatments.
pH
A strong change in pH was observed from the first day due to the production of hydrogen ions in the anode and hydroxide ions at the cathode (figure 1). The change in pH tended toward the cathode since the mobility of hydrogen ions is greater than the mobility of the hydroxides [11].
Mercury transport and speciation during the chloride experiment (experiment I)
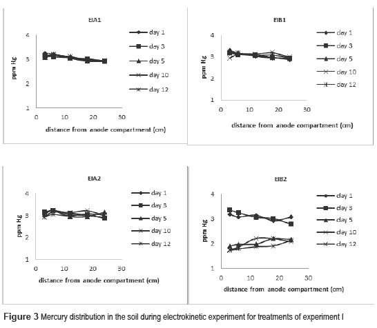
After 12 day of electrokinetic experiment, the Hg was transported to the anode because the chlorides formed strong complexes with Hg, Hg movement towards the anode obtained in this experiment is consistent with results reported by other authors [25] in electrodialitic experiments in soils of a chlor-alkali site. Hypothesis of these experiments stated that the direction of movement of Hg was due to complex formation HgCl42-. The fractionation and distribution of Hg during the experiment I is showed below (figure 2). As well as the variation in concentrations of HgT respect to the anode compartment (figure 3).
Figure 2 shows the Hg present in the F1 fraction (Hg-w) and F2 fraction (Hg-h) was mobilized in the different treatments, unlike the Hg present in the other fractions which was not susceptible to mobilization. For EIA1 treatment a slight accumulation was observed at 6 cm from the anode. In EIB1 and EIA2 treatments is presumed Hg present in F1 and F2 fractions was moved toward to the anode after 5 days, because it was observed a decrease of the contaminant in the soil and a slight recovery of the same (1%) after 12 days. In EIB2 treatment Hg in solution (Hg-w) was removed completely at 3, 18 and 24 cm from the anode, as in the F2 fraction (Hg-h) at 3 and 18 cm from the anode, Hg in the F3 fraction (Hg-O) was removed about 10.9% at 3 cm, 4.4% at 18 cm and 1.3% at 24 cm from the anode compartment, in F4 and F5 fractions Hg was not susceptible to be mobilized. After 5 days there was a decrease in the concentration of HgT and its subsequent recovery in the anode compartment (38%) once the electrokinetic experiment was finished.
Figure 3 shows low mobilization of Hg in presence of NaCl, except EIB2 treatment where 38% of Hg in soil is removed showing the interaction between different factors (p <0.05).
Mercury transport and speciation during the iodide experiment (experiment II)
After 20 h of electrokinetic experiment, Hg in experiment II was transported toward the anode. This was presumably due to formation mercury iodide complex which have negative charge (HgI-3 and HgI-2), the movement of Hg to the anode obtained in this experiment is consistent with other studies [12], [20] where Hg was mobilized in the same direction.
Figure 4 shows the sequential extraction after 20 h of treatment EIIA1. Graphic of fractionation of mercury for treatments EIIB1 and EIIA2 are not shown, since the mercury was removed almost entirely.
Figure 5 shows a decrease in the concentration of HgT in the soil in different treatments. In EIIA1 treatment there is a significant decrease in the concentration of mercury in the soil, reaching a recovery in the anode compartment of 68.9% 20 h after starting the experiment. In EIIB1, EIIA2 and EIIB2 treatments it was achieved recoveries even of 98.7% after 12.5 h, 17.5 h and 7.5 h respectively, showing the interaction between the different factors (p <0.05). Other authors [12] hypothesized that the recovered mercury associated with F3 and F4 fractions is due to the reducing properties of iodide. For the mercury associated with the F5 in the form of sulfur removed in most treatments, a similar study [26] proposed that their mobilization is due to the oxidation of sulphide of mercury by triiodide, which could be formed by the reaction of iodide with iodine solution.
Conclusions
In both experiments it was observed that increasing concentrations and voltages in the treatments a more efficient and speedy removal of mercury in the soil was observed. The pollutant is moved toward the anode, it is assumed due to the formation of anionic complexes (HgCl42-, HgCl3-) for experiment I and (HgI-3 and HgI-2) for experiment II.
In the treatments where NaCl was used only in the EIB2 treatment a significant recovery (38%) was achieved. The high recovery percentages of 98.7% in experiment II showed that the iodide has properties that make it a promising electrolyte solution for the removal of mercury in the soil. The iodide is a much stronger complexing agent than chloride, resulting in the formation of a higher percentage of anionic complexes after its addition. Furthermore iodide has the advantage of forming a water soluble oxidizing in the anode compartment. This additional oxidative capacity may be necessary to release the sulfur-mercury bond. Chloride do not form an anion with a similar oxidative capacity.
Acknowledgments
Authors gratefully acknowledge the Colombian Institute for the Development of Science and Technology - COLCIENCIAS for the financial support of the project 1112-489-25604 contract 472 Colciencias-University of Cordoba.
References
1. D. Hylander, M. Meili. ''The rise and fall of mercury: converting a resource to refuse after 500 years of mining and pollution''. Environ. Sci. Technol. Vol. 35. 2005. pp. 1-36. [ Links ]
2. J. Marrugo, E. Lans. Impacto Ambiental por Contaminación con Níquel, Mercurio y Cadmio en Aguas, Peces y Sedimentos en la Cuenca del Rio San Jorge, en el departamento de Córdoba, Informe final. Universidad de Córdoba. Montería, Colombia. 2005. pp. 104. [ Links ]
3. J. Olivero, B. Johnson. El Lado Gris de la Minería del Oro: La Contaminación con Mercurio en el Norte de Colombia. Universidad de Cartagena. Cartagena, Colombia. 2002. pp. 123. Disponible en: http://www.reactivos.com/images/LIBRO_MERCURIO_-_Olivero-Johnson-Colombia.pdf. Consultado: Mayo 2012. [ Links ]
4. Programa de las Naciones Unidas para el Medio Ambiente. Dependencia de productos químicos (PNUMA). Evaluación mundial sobre mercurio. PNUMA. Ginebra. 2002. pp. 289. Disponible en: http://www.chem.unep.ch/mercury/Report/final%20report/assessment-report-summary-spanish-final.pdf. Consultado: Noviembre 2007. [ Links ]
5. L. Tian, H. Guo, A. Gao, T. Lu, Q. Li. ''Effects of Mercury Released from Gold Extraction by Amalgamation on Renal Function and Environment in Shanxi, China''. Bulletin of Environmental Contamination and Toxicology. Vol. 83. 2009. pp. 71-74. [ Links ]
6. M. Pazos, M. Sanroman, C. Cameselle. ''Improvement in electrokinetic remediation of heavy metal spiked kaolin with the polarity exchange technique''. Chemosphere. Vol. 62. 2005. pp. 817-822. [ Links ]
7. Y. Acar, A. Alshawabkeh. ''Principles of electrokinetic remediation''. Environ. Sci. and Technol. Vol. 27. 1993. pp. 2638-2647. [ Links ]
8. R. Probstein, R. Hicks. ''Removal of contaminant from soils by electric fields''. Science. Vol. 260. 1993. pp. 498-503. [ Links ]
9. B. Haran, B. Popov, G. Zheng, R. White. ''Development of a new electrochemical technique for decontamination of hexavalent chromium for low surface charged soils''. Environ Progress. Vol. l. 1996. pp. 166-172. [ Links ]
10. J. Yu, I. Neretnieks. ''Modelling of transport and reaction processes in a porous medium in an electrical field''. Chem. Eng. Sci. Vol. 51. 1996. pp. 4355-4368. [ Links ]
11. D. De La Rosa, M. Teutli, M. Ramírez. ''Polluted soils electroremediation, a technical review for field application''. Int. Contam. Ambient. Vol. 23. 2007. pp. 129-138. [ Links ]
12. A. García, J. Rodríguez, F. García, C. Vereda, C. Gómez. ''Aplicación de la técnica de electrodescontaminación a un suelo contaminado por mercurio de la zona de Almadén''. Estudios de la Zona no Saturada del Suelo. Vol. 8. 2007. pp. 81-94. [ Links ]
13. A. Yeung. ''Electrokinetic flow processes in porous media and their applications''. Advances in Porous Media. Vol. 2. Ed. Elsevier M. Y. Corapcioglu, Amsterdam, the Netherlands. 1994. pp. 309-395. [ Links ]
14. R. Lageman, W. Pool, G. Seffinga. ''Electro- reclamation: Theory and practice''. Chem. And Ind. Vol. 18. 1989. pp. 585-590. [ Links ]
15. H. Stichnothe, A. Czediwoda, A. Schonbucher. Electrokinetic removal of cadmium from fine-grained soil. 3rd International Symposium on Environmental Geotechnology. San Diego, USA. 1996. pp. 780-785. [ Links ]
16. M. Page, C. Page. ''Electroremediation of contaminated soils''. Journal Environ. Eng. Vol. 128. 2002. pp. 208-219. [ Links ]
17. B. Motta, M. Rodríguez, H. Montenegro, J. Marulanda, A. Correa, M. Bendeck. Métodos analíticos del laboratorio de suelos. 5a. ed. Ed. IGAC. Bogotá D.C. Colombia. 1990. pp. 502. [ Links ]
18. I. Pla. ''Metodología para la caracterización física con fines de diagnóstico de problemas de manejo y conservación de suelos en condiciones tropicales''. Revista de la Facultad de Agronomía (UCV). Vol. 33. 1983. pp. 15-91. [ Links ]
19. M. Vásquez, C. Arbelo, L. Hernández, D. Grandoso, M. Lemus. ''Correlation of the Physicochemical Properties in soils from Tenerife Island, Measuring the electric Current in an electronikinetic experiment''. Portugalia e Electrochimica acta. Vol. 27. 2009. pp. 419-427. [ Links ]
20. P. Suer, B. Allard. ''Mercury transport and speciation during electrokinetic soil remediation''. Water, air and soil pollution. Vol. 143. 2002. pp. 99-109. [ Links ]
21. M. Sadiq, T. Zaidi, M. At-Mohana. ''Sample weight and digestion temperature as critical factors in mercury determination in fish''. Bulletin of Environmental Contamination and Toxicology. Vol. 47. 1991. pp. 335-341. [ Links ]
22. Environmental protection Agency (USEPA). Method 7471B for determination of mercury in solid or semisolid waste. Revision 2. USEPA. Cincinnati, US. 2007. pp. 11. [ Links ]
23. N. Bloom, E. Preus, J. Katon, M. Hiltner. ''Selective extractions to assess the biogeochemically relevant fractionation of inorganic mercury in sediments and soils''. Analytica Chimica Acta. Vol. 479. 2003. pp. 233-248. [ Links ]
24. M. Jiménez. Desarrollo de métodos analíticos para especiación de mercurio y su aplicación a la comarca de Almadén. Tesis doctoral. Ediciones de la Universidad de Castilla la Mancha. Cuenca. Castilla- La Mancha, España. 2009. pp. 384. [ Links ]
25. H. Hansen, L. Ottosen, B. Klein. ''Electrodialytic remediation of soils polluted with Cu, Cr, Hg, Pb and Zn''. Journal of Chemical Technol. and Biotechnol. Vol. 70. 1997. pp. 67-73. [ Links ]
26. P. Suer, T. Lifvergren. ''Mercury-contaminated soil remediation by iodide and electroreclamation''. Journal of Environmental Engineering. Vol. 129. 2003. pp. 441-446. [ Links ]






















