Services on Demand
Journal
Article
Indicators
-
Cited by SciELO -
Access statistics
Related links
-
Cited by Google -
Similars in
SciELO -
Similars in Google
Share
Revista Facultad de Ingeniería Universidad de Antioquia
Print version ISSN 0120-6230On-line version ISSN 2422-2844
Rev.fac.ing.univ. Antioquia no.37 Medellín JulySep. 2006
Revista Facultad de Ingeniería N.o 37. pp. 71-81. Julio, 2006
Resumen
El poliuretano es un compuesto que se forma por la reacción de un diisocianato y un polialcohol. Aprovechando la alta reactividad del prepolímero de difenilmetano- disocianato (MDI) se forman grupos uretánicos con el ácido ricinoleico proporcionado por el aceite de higuerilla, obteniéndose un poliuretano con una dureza shore D 45. Este polímero junto con la fibra de vidrio tipo E forman el compuesto reforzado, utilizando el mecanismo de manufactura denominado poltrusión.
El proceso de poltrusión es un proceso de producción en serie y se realiza de manera industrial con resinas de poliéster con altas emisiones de compuestos orgánicos volátiles (VOC). En este trabajo se expone una alternativa de producción más eficiente y con materia prima renovable como lo es el aceite de higuerilla, eliminando las emisiones de VOC al ambiente; además, se analiza la interacción del poliuretano con fibra de vidrio en la obtención de un material compuesto (composito) con alta resistencia química y excelentes propiedades mecánicas, asociadas a la sinergia entre la fibra de vidrio y el poliuretano.
---------- Palabras clave: pultrusión, poliuretano, aceite de higuerilla, composito, fibra de vidrio.
Production and mechanical characterization of a reinforced polyurethane compound
from castor oil and polymeric MDI using the poltrusion forming method
Abstract
Polyurethane is a compound that is produced by the reaction of a diisocyanate and a polyol. Taking advantage of the high reactivity of polymeric diphenyl-methanediisociante (MDI) urethanic groups are formed with the ricinoleic acid provided by castor oil, obtaining a polyurethane with a shore D 45 hardness. This polymer forms a reinforced compound with the type E glass fiber using the poltrusión forming method. Poltrusion is a continuous forming process that is employed in the industrial scale production of polyester resins and releases high emissions of organic volatile compounds (VOC) to the environment. In this work we propose a more efficient alternative with a renewable raw material like castor oil, minimizing VOC emissions to the environment; the interaction between polyurethane and glass fiber in the production of a composite material with a high chemical resistance and excellent mechanical properties, associated with the synergy between glass fiber and polyurethane, is also studied.
Key words: poltrusion, polyurethane, castor oil, composite, glass fiber.
Introducción
El desarrollo de la humanidad ha implicado grandes cambios es su estructura tecnológica demandando el desarrollo de materiales nuevos cada día. Los compuestos reforzados o compositos (por la traducción al castellano de la palabra inglesa composites) han representado desde tiempos remotos, cuando se combinaba el barro con la paja para construir casas, una respuesta efectiva al desarrollo de nuevos materiales. Los compositos se obtienen mediante la unión física o mecánica de dos o más materiales, los cuales, al estar “entrelazados” aumentan, como un todo, sus propiedades. En este trabajo se expone la utilización de poliuretano (PU) obtenido a partir del aceite de higuerilla (AH) y el MDI polimérico como una fuente de innovación tecnológica, basándose en el cuidado al medio ambiente y en la utilización de un material proveniente de fuentes renovables (el aceite de higuerilla), el cual aporta uno de los componentes básicos para la formulación del poliuretano, el poliol; lo anterior, teniendo en cuenta la creciente demanda y posible agotamiento en un futuro próximo de un recurso no renovable como lo es el petróleo [1, 2]. El objetivo básico era obtener un compuesto con la resistencia química del poliuretano y las propiedades mecánicas que aporta la fibra de vidrio (FV). El poliuretano actuando en sinergia con la fibra de vidrio puede ser utilizado para obtener productos con elevado potencial de resistencia a la abrasión [3, 4]. Aprovechando la resistencia química del poliuretano, puede utilizarse en ambientes agresivos en donde se encuentren problemas con la corrosión de los materiales.
Entre la gran gama de compuestos reforzados se encuentran los materiales compuestos fibrosos, cuyo desempeño depende de varios factores como son la relación fibra-matriz (composición), el tipo de unión fibra-matriz, la forma y orientación de la fibra, la longitud promedio de la misma y, de una forma muy especial, la forma final y método de manufactura del producto terminado. En este trabajo se moldeó un perfil de poliuretano a partir del aceite de higuerilla y MDI polimérico, reforzado con fibra de vidrio, en forma de varilla de ½”, con total control de la orientación de la fibra gracias al proceso de manufactura denominado poltrusión. En este proceso (figuras 1, 2y 3), la fuerza motriz se encuentra después del molde (caso contrario al de la extrusión en la que la fuerza impulsora se encuentra antes del molde), haciendo un halado de las fibras que previamente han sido impregnadas con los componentes que formarán la matriz polimérica (aceite de higuerilla y MDI polimérico).
En los diversos procesos de formado de productos a partir de materiales poliméricos existen numerosos aspectos a tener en cuenta; en particular, en el proceso de poltrusión debe mantenerse un estricto control operacional en variables tales como temperatura, velocidad de halado, fuerza aplicada, relación matriz-fibra, etc. En la elaboración del perfil se buscó que la fibra de vidrio estuviera orientada de forma longitudinal con el fin de aumentar la resistencia a la tracción. Las propiedades mecánicas se midieron realizando ensayos de corte utilizando la norma ASTM D 4475-85. Con el fin de analizar el comportamiento del material compuesto, se realizaron diferentes ensayos variando la relación fibra-matriz; además, se analizó la estructura de la impregnación antes y después de realizado un esfuerzo de carga según la norma citada anteriormente.
Tal como se observa en la figura 2, la zona comprendida entre el baño de resina y la rampa para el sobrante de ésta es una zona de alto riesgo para la seguridad, la salud y el ambiente debido a las altas emisiones de componentes orgánicos volátiles (VOC) como el estireno y otros compuestos propios de los sistemas de resinas tipo poliéster. En el caso de la figura 3, para matrices de poliuretano se evita la emisión de VOC debido a la ausencia de los mismos, en el proceso con poliuretano se evita también el uso de materiales para acabado superficial ya que, al expandirse el poliuretano dentro del molde se forma una piel flexible que le da una buena apariencia al producto terminado.
Figura 1 Diferentes procesos de poltrusión. (a) Poltrusión no reactiva de perfiles termoplásticos; (b) poltrusión reactiva para un perfil termoestable; (c) poltrusión reactiva para bicomponentes [2]
Figura 2 Baño de humectación típico de la fibra de vidrio con resinas tipo poliéster en un proceso de poltrusión [5]
Figura 3 Baño de humectación aplicado al sistema de producción con poliuretano a partir del aceite de higuerilla y el MDI polimérico
Materiales
Teniendo en cuenta la alta reactividad de los isocianatos, se deben tener en cuenta todos los factores de riesgo que implica el trabajo con éstos; la seguridad es un aspecto fundamental por lo que se hace necesario tomar las debidas precauciones; asociado con lo anterior se deben garantizar unas condiciones anhidras para este proceso de manufactura.
Se utilizó como isocianato un metilendifenildiisocianato (MDI polimérico) (figura 4), cuyas propiedades principales se presentan en la tabla 1; éste es un líquido viscoso de color marrón con una estrecha distribución de peso molecular y alta reactividad, cuyas principales aplicaciones están en la obtención de espumas rígidas para aislamiento de refrigeradores domésticos y comerciales, paneles de construcción, aislamiento spray, aislamiento de camiones, espumas estructurales y espumas para interior de automóviles.
Figura 4 Isómeros del MDI [2]
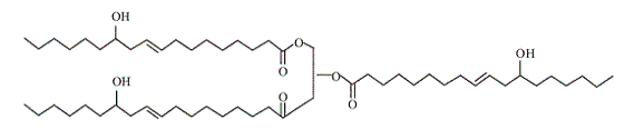
En lo que tiene que ver con el aceite de higuerilla, cuya estructura básica se presenta en la figura 5,se trabajó con aceite adquirido en el mercado al que no se le hizo ningún tratamiento de purificación, con un número de hidroxilo (número de OH) de 159 mg de KOH/g. Como catalizador se utilizó octoato de estaño. Previo a la utilización del aceite y del catalizador, y con el fin de eliminar cualquier traza de humedad, éstos se mantuvieron a 100 °C durante 6 h. La importancia de tener control preciso sobre la humedad del ambiente y mantenerla fuera del proceso radica en el hecho de que el MDI polimérico puede reaccionar con ésta y provocar un espumado en el perfil reforzado, bajando la densidad y la resistencia mecánica del mismo [6].
Tabla 1 Especificaciones del MDI polimérico [7]
A lo largo de la historia, se han utilizado diferentes tipos de vidrios minerales para producir fibras, el más común está basado en dióxido de silicio, sílice (SiO2), con adiciones de óxidos de boro, calcio, sodio, hierro y aluminio. En este trabajo, el tipo de vidrio utilizado es el llamado clase E, que durante más de 60 años se ha utilizado en la elaboración de productos de plásticos reforzados.
Las características principales de este tipo de vidrio son su bajo costo, resistencia, rigidez y buenas propiedades de aislamiento eléctrico [3, 4, 10, 11].
Figura 5 Molécula principal del aceite de higuerilla [7]
La tabla 2presenta una formulación típica para la elaboración de poliuretano a partir de aceite de higuerilla y MDI polimérico; esta formulación corresponde al ensayo E, cuyos datos principales se encuentran en la tabla 3; como puede observarse en esta última tabla la variable principal que se manipuló en la fase experimental fue la relación fibra-matriz.
Tabla 2 Formulación típica para la producción del poliuretano [8]
Tabla 3 Relación de cantidades para los diferentes experimentos
En la tabla 3(g/cm3) corresponde a la densidad calculada de la varilla elaborada.
Resultados y análisis de resultados
Se elaboró un perfil de poliuretano reforzado con fibra de vidrio de ½” de diámetro con una dureza clasificada como shore D 45, a éste se le realizaron ensayos mecánicos aplicando la norma ASTM D 4475-85 para evaluación de la resistencia a esfuerzos cortantes [12]; estas pruebas se realizaron en una máquina universal de ensayos (figura 6).
De acuerdo con la norma ASTM D4475-85, la medida del esfuerzo de corte para un perfil de un material compuesto fabricado por el mecanismo de poltrusión se puede representar mediante la siguiente ecuación:
Donde
S: esfuerzo de corte, psi.
P: carga de ruptura, lbf.
d: diámetro de la probeta, in.
La tabla 4presenta los resultados más sobresalientes de los ensayos realizados (tabla 3). Vale la pena aclarar que los ensayos mecánicos se realizaron por triplicado, a una temperatura de 22 °C, con probetas de 13 cm. de longitud. De acuerdo con los datos de la tabla anterior se observa cómo la cantidad de fibra no afecta, de forma significativa, la magnitud del esfuerzo de corte.
Figura 6 Montaje para ensayos de esfuerzo según norma ASTM D4475-85
Tabla 4 Resultados de los ensayos mecánicos según norma ASTM D4475-85
Podría decirse, entonces, que el esfuerzo al corte lo está soportando la matriz de poliuretano. De otro lado, teniendo en cuenta la orientación de la fibra, lo que sí se esperaría, es que si se realizara un ensayo de tracción, la resistencia final del material aumentase al adicionar más fibra al compuesto. Un aspecto importante a resaltar en este análisis es la recuperación casi instantánea del material después de haber sido sometido a los ensayos, dado que al terminar el experimento y retirar la carga de la probeta se observaba como ésta recuperaba su forma; a algunas de estas probetas se les realizó nuevamente el ensayo de resistencia al esfuerzo de corte y se encontró que perdían, en promedio, un 45% de su capacidad inicial. Lo anterior está asociado, nuevamente, con el hecho de que es la matriz de poliuretano la que está soportando la carga. Además de la caracterización mediante ensayos mecánicos, se tomaron fotografías a los compuestos utilizando la técnica de microscopía electrónica de barrido (SEM); se aprovechó que el microscopio tiene la posibilidad de hacer microanálisis de rayos X (EDX) para determinar la composición química elemental. Al observar las dos fotografías de la figura 7se puede ver como el poliuretano crece dentro de la zona de curado separando los hilos de la fibra de vidrio dentro del compuesto, garantizando una distribución de éstos casi homogénea dentro del material compuesto; ésta es, de nuevo, una razón que explica el porqué al realizar los ensayos de corte se encuentra que la cantidad de fibra de vidrio casi no afecta los resultados.
También se observa cómo la disposición, claramente orientada de las fibras, garantiza que el compuesto de poliuretano reforzado con fibra de vidrio presente resistencia mecánica excelente.
Figura 7 Fotografías de compuestos reforzados con fibra de vidrio. Izquierda con 35% y derecha vista frontal con 60%
La figura 8presenta fotografías tomadas al compuesto reforzado con 45% de fibra de vidrio después de haber sido sometido al ensayo de resistencia al esfuerzo cortante, estas fotografías se tomaron en la zona de fractura de la probeta; se observa claramente como existe ruptura en el material de refuerzo; a pesar de lo anterior, el material conserva, en menor extensión, una adecuada resistencia a los esfuerzos cortantes.
Figura 8 Fotografías de la zona de fractura del compuesto reforzado con 45% de fibra
Se aprecia en la fotografía de la figura 9, correspondiente a una distancia de 20 m, un zona de cambio en la textura del material; con el fin de analizar si la composición variaba debido a algún elemento exógeno del proceso, se realizó microanálisis de rayos X (EDX); en la figura 10se observa, según los resultados del EDX que no existen cambios considerables en la composición, luego, se podría establecer como hipótesis que este cambio en la textura del material puede estar asociado con la formación oligómeros debido al exceso de MDI polimérico utilizado (recuérdese que la relación NCO/OH es mayor que uno) [2].
Figura 9 Fotografía utilizando microscopía electrónica de barrido SEM
Figura 10 Microanálisis de rayos X (EDX) para composición química de los puntos resaltados de la figura 9
Conclusiones
El aceite de higuerilla sin tratamiento previo sirve como poliol para la elaboración de poliuretanos. Se presenta, entonces, como una alternativa interesante dado que proviene de un recurso renovable. Vale la pena mencionar que en las formulaciones elaboradas en este estudio no se utilizaron extendedores de cadena, lo que hace aún más relevante el uso de esta materia prima.
El poliuretano obtenido junto con la fibra de vidrio producen, como se había previsto, un material compuesto con unas interesantes propiedades; entre éstas podemos mencionar: excelente comportamiento mecánico, baja densidad, estabilidad dimensional, buen acabado. En lo relacionado con el comportamiento mecánico se puede decir que, para los ensayos de corte no existe mayor influencia en cuanto a la cantidad de fibra de vidrio utilizada para el refuerzo. El proceso de poltrusión, utilizado en este trabajo, se considera adecuado ya que garantiza la orientación de las fibras, esto proporciona unas buenas propiedades mecánicas no sólo para esfuerzos cortantes sino también en el caso de esfuerzos tensiles. Además, es un proceso continuo que asegura la adecuada velocidad de producción y la obtención de un producto final uniforme. La utilización de este proceso con poliuretanos ofrece ventajas con respecto al uso de resinas tipo poliéster, estas últimas presentan el inconveniente que, al polimerizar se presenta una reducción en el volumen, esto conduce a que se deban tomar acciones correctivas para garantizar la estabilidad dimensional del perfil; esta situación no se presenta con los poliuretanos ya que éstos al polimerizar se expanden.
Los análisis por microscopía electrónica de barrido (SEM) muestran que existe homogeneidad en la impregnación de la fibra de vidrio con el poliuretano.
Aunque no se realizaron ensayos bajo norma para evaluar la resistencia química del material compuesto, sí se puede mencionar que estudios preliminares, realizados en cámara salina, indican un buen comportamiento de los compuestos reforzados en este aspecto; lo anterior, mediante la realización de los ensayos apropiados, podría conducir a la utilización de estos compuestos en atmósferas altamente corrosivas.
Agradecimientos
Los autores expresan su profundo agradecimiento a los profesores Néstor Algecira y Miguel Quintero, al ingeniero Héctor Torres de la Universidad Nacional de Colombia y a Industrias Plásticas JOARGOBE por el préstamo de la maquina de poltrusión.
Referencias
1. J. Gómez. Introduction to composite materials. Mexico. 1.a ed. OSI Specialties. México. 1990. pp. 1-112. [ Links ]
2. O. Günter. Polyurethane handbook. Hanser Publisher. Berlín. 1993. pp. 11-669. [ Links ]
3. S. S. A. Tortorello. “Effect of structure on the thermal stability of photocurable urethane acrylate formulations”. Journal Applied Polymer Science. Vol. 43. 1991. pp. 699-707. [ Links ]
4. B. Kim, H. Paik. Modification of aqueous polyurethane dispersions via tetraphenylethane iniferters. Journal Applied Polymer Science.Vol. 73. 1999. pp. 2993 3000. [ Links ]
5. F. Trevor. Pultrusión for engineers. CRC Press New York. 2000. pp. 1-336. [ Links ]
6. M. Szycher´s. Handbook of polyurethanes. CRC Press; New Cork.1999. pp.2.1-2.12. [ Links ]
7. http://www.Groshea.com, general@groshea.com consultado 10 julio de 2005. [ Links ]
8. F. González. J. Cadavid. S. “Síntesis de poliuretano rígido a partir del poliol renovable del aceite de higuerilla y MDI polimérico”. En: III Congreso internacional de materiales simposio materia 2005. Cartagena, Colombia. Septiembre, 2005. Ponencia G-5. [ Links ]
9. http://www.connblade.com/ cb/images/ConnBlade.gif consultado el 10 julio de 2005 [ Links ]
10. L. George. Handbook of Fiberglass and Advanced Plastic Composites. Huntingdon New York. 1975. pp.1-152. [ Links ]
11. V. Milos. Technical Approach to Glass. Elsevier. New York. 1990. pp. 1-392. [ Links ]
12. C. M. Renaud http://www.plastunivers.com/Tecnica/Hemeroteca/ ArticuloCompleto.asp?ID=8275 consultado el 15 de agosto de 2005. [ Links ]
* Autor de Correspondencia: teléfono +97+1+3165000 ext. 14100. fax +97+1+ 316500 ext. 14053, correo electrónico: franciscounal@hotmail.com (Francisco González).



























