Introducción
Los culícidos (familia Culicidae) son insectos hematófagos vectores de patógenos que causan enfermedades al hombre y animales domésticos. Se estima que esta familia de dípteros puede tener más 3.553 especies, de las cuales en Colombia hay registradas 324[1]. Las enfermedades que transmiten estos zancudos están relacionadas estrictamente con la biología, distribución espacial, disponibilidad del huésped y el agente etiológico que hospeden. De acuerdo con esto, algunas enfermedades como ejemplo la Malaria, Filariosis y Encefalitis son mayormente circulantes en áreas rurales y selváticas. A diferencia del Dengue, Chikungunya y Zika donde la transmisión se da ampliamente en áreas urbanas debido a la gran cantidad de personas susceptibles y condiciones adecuadas para el desarrollo de su principal vector A. aegypti[2-6].
Uno de los aspectos clave para ejercer estrategias de disminución de los casos de Dengue, Chikungunya y Zika es mantener el vector en niveles poblacionales bajos, pero para esto es necesario hacer vigilancia entomológica que revele la distribución espacial, periodos de mayor abundancia y lugares de cría de A. aegypti. Un punto a favor para la reducción de los casos de estas enfermedades es que tienen el mismo vector, por lo cual, las actividades de control a primera instancia son las mismas.
En Colombia, como en otras regiones tropicales, los zancudos tienen todas las condiciones necesarias para proliferar y pocas expectativas en su eliminación[5,6].
Para el caso específico de A. aegypti, en esta región del país, se mantiene presente este zancudo durante todo el año. Lo cual es una consecuencia de los problemas de saneamiento ambiental y de falta de políticas de salud ejecutadas que no logran impactar en la reducción de los criaderos de este insecto, lo cual se refleja en los brotes epidémicos de Dengue, Chikungunya y Zica[3,7,8].
En las enfermedades transmitidas por culícidos deben estar presente el vector, agente etiológico y el hombre[9]. Para el caso del Dengue, una reducción en el número de casos solo se podría dar si existieran las vacunas para eliminar el virus e impedir su transmisión. De acuerdo con esto, existen expectativas sobre posibles vacunas, pero los expertos indican que aun así, el manejo de esta enfermedad debe ser integrado con diferentes estrategias, donde la más eficaz sigue siendo la eliminación de las formas larvarias y adultas del zancudo[10]. Sumado a esto, los hábitos alimenticios de las hembras de A. aegypti incrementan las probabilidades de aumentar los casos de estas enfermedades a causa que esta especie necesita alimentarse de múltiples hospederos para completar el proceso vitelogénico de sus huevos[11,12].
Para el caso específico de la Ciudad de Bucaramanga y su área metropolitana, se ha evidenciado que el Dengue presenta un comportamiento endémico debido a que frecuentemente se detectan casos autóctonos de esta enfermedad[13,14]. Una preocupación que surge es si este fenómeno de endemismo también ocurra para Chikungunya y Zika, por esta razón es necesario conocer más sobre la distribución y fluctuación temporal de A. aegypti en esta área del país, ya que en la literatura regional existen pocos estudios sobre este vector y no se conoce de literatura científica de otros culícidos presenten en esta zona metropolitana de Bucaramanga. De acuerdo con estas premisas, este trabajo tuvo como objetivos conocer la dinámica de oviposición de A. aegypti en un gradiente de tiempo, evaluar el estado gonadotrófico de hembras adultas colectadas en campo y determinar la presencia de otros culícidos en el área metropolitana de Bucaramanga.
Materiales y métodos
Lugares de monitoreo
La selección de las áreas donde se realizaron las colectas fue determinada de acuerdo con el historial de casos de dengue reportados en el área metropolitana de Bucaramanga y por sugerencia de funcionarios de la Secretaria de Salud de Santander (datos no publicados). Luego de que se confirmó que varias localidades presentaban registros de Dengue se procedió a socializar el proyecto con los líderes las juntas de los barrios Hacienda San Miguel (Piedecuesta), Alicante (Girón), Lagos 2 (Floridablanca) y la Comuna Norte el barrio Divino Niño (Bucaramanga), del área metropolitana de Bucaramanga.
Sistemas de muestreo
Una vez los moradores de las viviendas estuvieron enterados del proyecto se solicitó que mínimo diez jefes de familia se postularan como voluntarios para la instalación de los dispositivos de colecta de huevos y captura de adultos (ovitrampas y trampa StegTrap), de acuerdo con esto se seleccionaron diez viviendas por barrio para un total de 40 viviendas, en las cuales se entregó un consentimiento informado código 7083 aval comité de ética (CIENCI) donde explicaba el proyecto, una vez firmado se procedió a realizar las colectas.
Para el desarrollo de este estudio se efectuaron colectas activas y pasivas de estados inmaduros y adultos de culícidos presentes en el área metropolitana de Bucaramanga en los municipios de Piedecuesta, Floridablanca, Girón y Bucaramanga, para ésta última en la comuna norte (Figura 1). El muestreo pasivo fue orientado para la recolección de huevos de A. aegypti por medio de ovitrampas[15,16], las cuales son un recipiente plástico de color negro con capacidad de 1.000 mL y un baja lenguas usado como substrato para ovoposición, que está sujeto al frasco con un gancho sujetapapeles mariposa # 2. Las ovitrampas fueron cebadas con 400 mL de infusión de heno, obtenida por fermentación de pasto "estrella africana" Cynodon plectostachyus (Poales: Poaceae) preparado en una relación de 29,19 gr en 7 L de agua mineralizada, durante siete días y después llevada al 10%[16].
Las colectas activas fueron realizadas manualmente con pipetas "Pasteur" y cucharones para tomar las larvas y pupas criadas que se detectaron en los contenedores de los lugares de muestreo. Se utilizó también un aspirador eléctrico modelo" High Power Vacuum" portable con voltaje 12v, dimensiones; 29 cm x 10cm x 12,5 cm para succionar los mosquitos adultos presentes en las áreas de estudio.
Instalación de las ovitrampas y realización de las colectas activas
Los muestreos se iniciaron en el mes de octubre de 2013 y finalizaron en el mes de octubre de 2014. En las casas seleccionadas para el estudio se colocó una ovitrampa en el intra-domicilio y otra en el peri-domicilio, dado que el muestreo se realizó en zonas urbanas del área metropolitana de Bucaramanga se establece el peri-domicilio como las zonas externas al alrededor de la vivienda. Los dispositivos instalados guardaron una distancia entre viviendas que nunca fue menor a 200 m, las trampas se dejaron expuestas durante un periodo de cinco días por cada mes de muestreo para estimar los índices de oviposición[17-21].
Luego las ovitrampas fueron recolectadas teniendo la precaución de filtrar los huevos que se desprenden de las paletas en un papel filtro, así, los huevos fueron contados y llevados al laboratorio de entomología del Centro de Investigaciones de Enfermedades Tropicales (CINTROP) de la Universidad industrial de Santander (UIS). El material colectado se dejó secar entre siete y diez días con el objetivo de permitir la maduración de los embriones presentes en lo huevos, para posteriormente estimular la eclosión. Las larvas obtenidas se alimentaron y se dejaron crecer por cinco días para ser trasladadas a vasos plásticos, dispuestos en contenedores con malla para facilitar su manipulación, alimentación y permitir que los adultos emergieran sin perder escamas y cerdas, para posteriormente ser identificados taxonómicamente.
Índices de oviposición
En las trampas instaladas mensualmente fueron calculados los índices de positividad de las ovitrampas (IPO)= (NOP/NOE)*100, donde NOP es el número de ovitrampas positivas y NOE es el número de trampas examinadas, y el índice de densidad de huevos (IDH)= NH/NOP, donde el NH corresponde al número de huevos[19,20].
Paralelamente durante la instalación de las ovitrampas se realizaron muestreos activos en bromelias, principalmente de los géneros Guzmania sp (Piedecuesta), Tillamdsia sp (Girón y Bucaramanga) y Neoregelia sp (Piedecuesta), en rutáceas género Dracaena sp (Piedecuesta) y en contenedores de agua residuales de lluvia. Tanto huevos como larvas colectadas fueron llevadas al laboratorio y se mantuvieron hasta la emergencia de los adultos, los ejemplares fueron sacrificados, montados y determinados taxonómicamente.
La identificación taxonómica de los mosquitos colectados se realizó por comparación de características morfológicas de acuerdo a claves taxonómicas[21-23]. Algunas determinaciones taxonómicas se confirmaron comparando especímenes con la colección entomológica del Laboratorio de Entomología del Instituto Nacional de Salud en Bogotá. Colombia. Los individuos se identificaron hasta especie, sin embargo, los individuos restantes que no coincidieron con distribución espacial con los reportes de especies de culcidae de Rozo-Lopez y Mengual1 para Colombia se denominaron "spp".
Estado gonadotrófico
En el octavo mes de muestreo correspondiente a mayo y junio se realizó una colecta utilizando trampas para hembras grávidas StegTrap [24] cebadas con agua instaladas por cinco días para capturar vivos los especímenes para las pruebas, además de este método se uso un aspirador eléctrico accionado durante 15 min para captura de los adultos presentes en las viviendas (peridomicilio-intradomicilio), paralelo al muestreo de las trampas (ovitrampas), a este material se le determinó el número de ciclos gonadotróficos[25-30].
Análisis estadístico
Todos los datos fueron sometidos a las pruebas de normalidad y homocedasticidad (Kolmogorov Smirnov y Levene). Cada uno de los muestreos donde se hicieron las colectas y se estimaron los índices de oviposición se analizaron con la prueba T-Student para muestras independientes donde se comparó si existían diferencias estadísticas entre áreas intra y peridomicilio. También se hizo un análisis de correlación de Pearson para determinar la relación entre los índices de oviposición y las variables precipitación y temperatura las cuales fueron tomadas del IDEAM para cada localidad. La significancia estadística se consideró con valores de p ≤ 0,05, en todos los análisis se utilizó el Software Statistica V11.
Resultados
Durante el estudio se detectó A. aegypti en todos los lugares de muestreo del área metropolitana de Bucaramanga. Se recolectaron 25.254 huevos que corresponden a 39,1% en Girón, 36,8% en Bucaramanga, 15,2% Floridablanca y 8,9% en Piedecuesta. Se observó también el número de ovitrampas y los índices de oviposición en general, en el peridomicilio fueron mayor que en el intradomicilio siendo esto estadísticamente significativo para NOE e IPO. Sin embargo, los índices no permitieron detectar un patrón de comportamiento que indiquen los meses de mayor y menor porcentaje de ovoposición (Tabla 1).
Tabla 1 Número de ovitrampas e Índices oviposición obtenidos en el área metropolitana de Bucaramanga.

NOP: Número de ovitrampas positivas, NOE: Número de ovitrampas examinadas, NH: Número de huevos, IPO: Índice de positividad de ovitrampas, IDH: índice de huevos.
En cuanto al análisis de correlación entre los índices de oviposición con las variables Precipitación (P) y Temperatura (T°) se detectó que el área metropolitana se correlacionó en menor medida con las variables de precipitación y temperatura que cuando se comparó individualmente cuando se hizo la comparación con los municipios. En este sentido, el análisis de los municipios evidenció correlaciones positivas (> 0,5) en NOP, NH e IPO en peridomicilio y IPO y IDH en intradomicilio. De cualquier forma, en Floridablanca fueron evidentes las correlaciones positivas en peridomicilio entre el índice IPO con la precipitación y la temperatura (Tabla 2).
Tabla 2 Correlaciones de los índices de oviposición obtenidos en el área metropolitana de Bucaramanga.

P: precipitación, T: Temperatura, NOP: Número de ovitrampas positivas, NH: Número de huevos, IPO: Índice de positividad de ovitrampas, IDH: índice de huevos
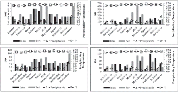
En cuanto al análisis de fluctuación de todas localidades de muestreo, únicamente el municipio de Piedecuesta no presentó oviposición constante en todos los meses (Figuras 2-5). En la ciudad de Bucaramanga la oviposición se evidenció en todos los meses de colecta y fue observado que los índices de ovipisición oscilaron durante el muestro. El índices IDH resultó similar tanto en las colectas intradomicilio como en peridomicilio, sin embargo, se obtuvieron más huevos en el intradomicilio. En este municipio, los mayores picos de oviposición se presentaron en octubre y mayo-junio para intradomicilio y peridomicilio respectivamente para los índices NI y IDH. Los índices más bajos de oviposición fueron en enero para NOP e IPO en peridomicilio (Figura 2).

Figura 2 Número de trampas, índices de oviposición y variables climáticas como la presipitación (P) y la temperatura (T) obtendidos en la ciudad de Bucaramanga.

Figura 3 Número de trampas, índices de oviposición y variables climáticas como la precipitación (P) y la temperatura (T) obtenidos en el municipio de Girón.

Figura 4 Número de trampas, índices de oviposición y variables climáticas como la precipitación (P) y la temperatura (T) obtenidos en el municipio de Floridablanca.

Figura 5 Número de trampas, índices de oviposición y variables climáticas como la precipitación (P) y la temperatura (T) obtenidos en el municipio de Piedecuesta.
En Girón los índices de oviposición fueron evidentemente mayores en peridomicilio excepto para IDH. En este municipio se presentó un aumento de la oviposición que inició en febrero con su pico en abril con posterior decrecimiento en septiembre (NH y IDH) (Figura 3).
Para el municipio de Floridablanca el índice de oviposición fue mayor en el peridomicilio para IPO. El número de ovitrampas positivas y los índices más altos de oviposición se presentaron en marzo, abril y noviembre (NOP-peridomicilio), noviembre (IPO-peridomicilio). Sin embargo, para NH fue en abril para peridomicilio, pero para IDH se presentó el más alto índice en septiembre para intradomicilio (Figura 4).
En Piedecuesta, los índices en general fueron menores cuando se compararon con los otros municipios. En el mes de enero no se detectó la oviposición de A. aegypti, en septiembre no se detectó oviposicón en septiembre en intradomicilio y mayo-junio se presentó la mayor oviposición para NH, lo cual no fue coincidente con IDH. En este municipio el número de trampas instaladas positivas y los índices de oviposición fueron mayores en intradomicilio para NH y IDH, sin embargo, para NOP e IPO ocurrió lo contrario (Figura 5).
Se realizó el estado gonotrófico de las hembras colectadas en el área metropolitana en el muestreo activo para un total de 18 hembras de A. aegypti y cuatro hembras de Culex quinquefasciatus. Para A. aegypti se determinó que en intradomicilio el 46,7% de las hembras no presentan actividad hematofágica, 33,3% presentan un único ciclo gonotrófico y 20% acusaron dos ciclos gonotróficos. En peridomicilio 66,7% de las hembras no presentan actividad hematofágica y 33,3% presentan un único ciclo gonotrófico siendo Girón la localidad con los mosquitos más activos, ya que de seis hembras colectadas cuatro presentaron actividad hematofágica de dos ciclos gonotrófico. Para Cx. quinquefasciatus se determinó que en el intradomicilio 50% de las hembras no presentaron actividad hematofágica y el otro 50% presentó un único ciclo gonotrófico (Tabla 3).
Tabla 3 Estados gonadotrófico de mosquitos del área metropolitana de Bucaramanga realizados por aspiración entre mayo y junio.

* Única colecta en mayo.
+ Un A. aegypti capturado con la trampa StegTrap.
Durante el muestreo pasivo se colectaron larvas en bromelias, recipientes y llantas de los cuales se encontraron las siguientes especies; Culex spissipes, Culex quinquefasciatus, Limatus durhamii, Toxorhynchites spp y Wyeomyia davisi (Tabla 4).
Discusión
Áreas metropolitanas de los países neotropicales ubicadas por debajo de la altitud de 2200 msnm ofrecen condiciones ideales para la proliferación del zancudo A. aegypti. Sin embargo, esta distribución altitudinal de este insecto se ha ampliado en Colombia hasta los 2302 msnm[27]. Para el caso de este estudio los municipios de Piedecuesta, Floridablanca, y la comuna norte de Bucaramanga además de estar por debajo de la altitud ideal para la proliferación del mosquito ofrecen condiciones de temperatura, humedad y precipitaciones perfectas para que A. aegypti se presente de manera constante como se evidenció en esta investigación.
Las ovitrampas resultaron altamente sensitivas para detectar A. aegypti como se ha observado en varios países como Brasil, Colombia e India[18,28,30-31]. Se observa cierto grado de coincidencia comparando los resultados estimados de IDH del área metropolitana de Bucaramanga con trabajos similares como el de Romero-Vivas y Falconar[31] realizado en Puerto Triunfo, departamento del Magdalena. Por ejemplo, el IDH de los dos estudios arrojaron meses similares en cuanto al mayor índice de huevos en los meses de julio, septiembre, y con un bajo índice en noviembre, diciembre y enero. En los trabajos referenciados anteriormente y en estos datos del área metropolitana de Bucaramanga se observa que ninguno se relacionó significativamente con las variables Temperatura y Precipitación lo cual está acorde con Romero-Vivas y Falconar[31]. En este sentido se detecta que en esta área del trópico el comportamiento de oviposición no sigue un comportamiento estacional como en Argentina Estallo, et al. [32], Micieli & Campos[33] y Codeço, et al. [29] para el Sur de Brasil. Por el contrario, la presencia de A. aegypti es constante todo el año, lo cual es esperado para esta región del neotrópico.
Sobre el comportamiento de ovoposición de A. aegypti evidenciado por el índice IPO en área peridomiciliar se observó en general mayor que intradomicilio. Este dato podría estar relacionado con una mayor disponibilidad de criaderos en las áreas externas de las viviendas, o podría explicarse también por un posible desplazamiento hacia los exteriores de las viviendas después de alimentarse[34,35]. De igual forma, estos datos alertan para tomar medidas de control en el interior de las viviendas pues los índices de oviposición fueron positivos en las dos áreas de muestreo.
La estimación del ciclo gonadotrófico de A. aegypti y Cx. quinquefasciatus en las zonas de estudio del área metropolitana de Bucaramanga acusó que un mayor porcentaje de hembras de estas especies no presentaron actividad de oviposición comparado con las que pasaron uno y dos ciclos gonotróficos. Sin embargo, este comportamiento no se repitió en los municipios de Piedecuesta y Giron, en estos lugares, como se detectó para hembras de A. aegypti, las cuales evidenciaron en su paridad el paso por uno y dos ciclos gonadotróficos lo cuál concuerda con los reportes para esta especie en Sao Paulo y Rio de Janeiro en Brasil[12,36]. De cualquier forma, estos resultados aunque no son nuevos para estas especies, si evidencian una aproximación de lo que puede estar pasando en el área metropolitana de Bucaramanga sobre la discordancia gonadotrofica de estos zancudos, lo cual en su comportamiento indica que realiza varias alimentaciones hasta completar la cantidad de sangre adecuada para madurar sus huevos y ovipositar[26,37-40].
En cuanto a las especies de mosquitos recolectadas en este estudio, se observó que además de A. aegypti están presentes otros mosquitos de importancia médica como Cx. quinquefasciatus, Cx. spissipes, Wyeomyia davisi y Limatus durhamii [21-23] . Báscicamente, la presencia de estas especies fue posible por los diferentes criaderos de culicidae y la abundante vegetación ornamental dispuesta que estaban en los lugares de colecta. Sin embargo, de forma inusual y en menor cantidad que las otras especies de zancudos en este estudio se detectó la presencia de A. aegypti en bromelias en las localidades de Bucaramanga, Floridablanca y Giron. En este sentido, se observa al igual que en otros estudios como A. aegypti puede estar presente en criaderos diferentes a los artificiales[40-42]. Las colectas activas permitieron evidenciar que A. aegypti compartió las bromelias como criadero con Wyeomyia davisi y Toxorhynchites spp. Sin embargo, esta especie generalmente se encuentra compartiendo hábitat con A. albopictus con más frecuencia que otros culícidos en criaderos naturales y artificiales[16,43-44].
Si bien, otro aspecto para resaltar es que en las bromelias se detectó también Toxorhynchites spp, mosquito que no presenta hábitos hematofagos y que ejerse control de larvas por su hábitos depredadores de los géneros Wyeomyia y Limatus colectados en criaderos naturales como las bromelias, bambus y huecos de arboles[45,46].
También llama la atención con este estudio la presencia de Culex quinquefasciatus en el área metropolitana de Bucaramanga, este zancudo, generalmente tiene su nicho en lugares donde la disponibilidad de criaderos se relacionan con aguas altamente eutroficadas, a pesar de esto, se detectó dentro de las viviendas, lo cual resulta en una alerta pues se ha especulado que esta especie también puede transmitir Zika[47].
En conclusión, para este primer estudio entomológico realizado en el área metropolitana de Bucaramanga, fueron detectadas diferentes especies de zancudos, siendo Aedes aegypti la especie presente en todo el año.
















