Servicios Personalizados
Revista
Articulo
Indicadores
-
Citado por SciELO -
Accesos
Links relacionados
-
Citado por Google -
Similares en
SciELO -
Similares en Google
Compartir
Colombian Journal of Anestesiology
versión impresa ISSN 0120-3347
Rev. colomb. anestesiol. v.40 n.1 Bogotá ene./mar. 2012
https://doi.org/10.1016/S0120-3347(12)70009-6
http://dx.doi.org/10.1016/S0120-3347(12)70009-6
Revisión
Oxígeno suplementario intraoperatorio para disminuir morbimortalidad en anestesia general: revisión sistemática y meta-análisis de experimentos controlados aleatorizados
Use of intra-operative supplemental oxygen to reduce morbidity and mortality in general anesthesia: systematic review and meta-analysis of randomized controlled trials
David A. Rincón-Valenzuelaa,* y Alexandra Benavides Carohb,*
a Anestesiólogo, Candidato a Magíster en Epidemiología Clínica, Bogotá, Colombia
b Anestesióloga, Especialista en Bioética, Bogotá Colombia
Segundo puesto en el Concurso Luis Cerezo del XXIX Congreso Colombiano de Anestesiología, Medellín, Colombia (marzo de 2011). Recibido de Outcomes Research Consortium (www.or.org).
*Autor para correspondencia: Calle 23 # 66-46 Cons 403, Bogotá, Colombia.
Correo electrónico: davidrincon2810@gmail.com (D. Rincón); alexb36@gmail.com (A. Benavides).
© 2012 Publicado por Elsevier España, S.L. en nombre de Sociedad Colombiana de Anestesiología y Reanimación.
INFORMACIÓN DEL ARTÍCULO
Historia del artículo: Recibido el 20 de marzo de 2011 - Aceptado el 7 de diciembre de 2011
RESUMEN
Objetivo: Evaluar la efectividad y la seguridad del suministro de oxígeno (fracción inspirada de oxígeno, FiO2) en concentraciones altas comparado con concentraciones bajas, para poder disminuir complicaciones en pacientes sometidos a procedimientos quirúrgicos bajo anestesia general.
Métodos: Se realizaron una revisión sistemática y un meta-análisis siguiendo la metodología propuesta por la Colaboración Cochrane. Se incluyeron experimentos clínicos controlados llevados a cabo en pacientes adultos sometidos a procedimientos quirúrgicos bajo anestesia general. Se hizo una búsqueda en bases de datos (PUBMED, CENTRAL y LILACS) y, con los estudios pertinentes identificados, se complementó con una nueva búsqueda ambispectiva en bola de nieve y en fuentes de literatura gris.
Resultados: Se incluyeron 17 experimentos clínicos (4.844 pacientes), de los cuales siete fueron considerados de bajo riesgo de sesgo. Las FiO2 altas disminuyen la náusea y el vómito posoperatorio solo en cirugías de manipulación intestinal extensa (odds ratio [OR] 0,40; intervalo de confianza [IC] 95%, 0,20 a 0,80). En este mismo escenario clínico, también disminuyen el riesgo de infección del sitio operatorio (OR 0,46; IC 95%, 0,29 a 0,74) y la mortalidad (OR 0,17; IC 95%, 0,03 a 0,99). La necesidad de antiemético de rescate, tiempo de estancia en la unidad de cuidado postanestésico, admisión no esperada a la unidad de cuidados intensivos y tiempo de estancia hospitalaria posoperatoria no se afectan en ningún tipo de población quirúrgica.
Conclusiones: El oxígeno suplementario intraoperatorio en concentraciones altas (> 60%) podría disminuir el riesgo de infección del sitio operatorio y la mortalidad en cirugías en las que se produce manipulación intestinal extensa.
© 2012 Sociedad Colombiana de Anestesiología y Reanimación. Publicado por Elsevier.
Todos los derechos resevados.
ABSTRACT
Objective: To evaluate the effectiveness and safety of oxygen supplementation (inspired fraction of oxygen, FiO2) in high concentrations versus low concentrations, given with the aim of reducing complications in patients undergoing surgical procedures under general anesthesia.
Methods: A systematic review and a meta-analysis were performed following the methodology proposed by the Cochrane Collaboration. The review included controlled clinical trials conducted in patients undergoing surgical procedures under general anesthesia. After conducting data base searches (PUBMED, CENTRAL y LILACS), and once the relevant studies were identified, additional snowballing ambispective and grey literature searches were done.
Results: Of the 17 clinical trials finally included (4844 patients), 7 were considered to a have a low risk of bias. High FiO2 levels reduce post-operative nausea and vomiting only in surgeries with extensive intestinal manipulation (odds ratio [OR] 0.40; 95% confidence interval [CI] , 0.20 to 0.80). In this same clinical setting, the risk of surgical site infection (OR 0.46; 95% CI, 0.29 to 0.74), and mortality (OR 0.17; 95% CI, 0.03 to 0.99) are also reduced. There was no impact on the need for rescue anti-emetic administration, length of stay in the post-anesthetic care unit, unexpected admission to the intensive care unit, or post-operative hospital stay in any of the surgical populations.
Conclusions: Intra-operative oxygen supplementation in high concentrations (> 60%) might reduce the risk of surgical site infection and mortality in surgeries with extensive intestinal manipulation.
Keywords: General anesthesia - Effectiveness - Safety - Morbidity.
© 2012 Sociedad Colombiana de Anestesiología y Reanimación. Published by Elsevier.
All rights reserved.
Introducción
En los procedimientos anestésicos, el oxígeno (O2) es administrado rutinariamente a todos los pacientes; sin embargo, la concentración del mismo varía entre el 30% y 100% en todos los casos.
En las dos décadas anteriores se han publicado algunos estudios experimentales que han evaluado la posibilidad de que la administración de fracciones inspiradas de O2 (FiO2) altas puede afectar desenlaces después de algunos tipos de cirugías1.
La náusea y el vómito posoperatorios (NVPO) son unos de los efectos secundarios más indeseables que tiene la anestesia general, los cuales pueden ser incluso más incómodos para los pacientes que el mismo dolor posoperatorio2. Por otra parte, la fisiopatología de la NVPO no se ha comprendido completamente3.
La idea de las propiedades antieméticas del O2 surgió a partir del efecto encontrado al disminuir o evitar el uso de óxido nitroso (N2O)4. Algunos estudios experimentales han reportado el efecto antiemético del aumento de la FiO2 en pacientes sometidos a cirugías abdominales5,6. Además, algunos autores han postulado que la administración de O2 en concentraciones altas puede reducir la hipoxia intestinal (producida por el estrés quirúrgico) y, de esta manera, disminuir la liberación de serotonina producida como respuesta por su efecto vasodilatador local7.
La infección del sitio operatorio (ISO) es una complicación frecuente y, a menudo, severa que se presenta después de un procedimiento quirúrgico8. Se ha considerado esencial la optimización de las condiciones perioperatorias, ya que las primeras horas que siguen a la contaminación bacteriana son esenciales para el establecimiento de la infección en la herida9. La presión parcial de O2 en la herida quirúrgica a menudo es baja al final de la cirugía, lo cual aumenta el riesgo de infección, ya que la erradicación del inóculo bacteriano depende de la capacidad oxidativa de los neutrófilos10,11. Por esta razón, se ha propuesto que la incidencia de ISO se puede reducir al aumentar la FiO2 intraoperatoria12-15. Sin embargo, en revisiones sistemáticas previas no se ha contemplado el riesgo de sesgo de los estudios individuales y su impacto en los resultados, ni tampoco la influencia de la manipulación intestinal sobre dicho efecto.
El objetivo de esta revisión sistemática es evaluar la efectividad y la seguridad del oxígeno administrado en concentraciones altas (≥ 60%) comparado con concentraciones bajas (≤ 40%) para disminuir complicaciones en pacientes sometidos a procedimientos quirúrgicos bajo anestesia general.
Métodos
Esta revisión sistemática se realizó con la metodología de la Colaboración Cochrane16, de acuerdo a las recomendaciones de la declaración PRISMA17 y usando el instrumento R-AMS-TAR18.
Criterios de elegibilidad
Tipo de estudios
Se incluyeron exclusivamente experimentos controlados aleatorizados.
Tipo de participantes y escenarios clínicos
Se incluyeron estudios realizados en pacientes adultos y pediátricos que fueron sometidos a procedimientos quirúrgicos bajo anestesia general. Se excluyeron estudios realizados en pacientes obstétricas.
Tipo de intervenciones
Se definió como intervención experimental la administración de oxígeno suplementario intraopetatorio en concentraciones altas (≥ 60%). Esta se comparó con la intervención control, la cual consistió en la administración de oxígeno en concentraciones bajas (≤ 40%).
Tipo de desenlaces
Se evaluaron los siguientes desenlaces, según las definiciones de cada estudio:
-NVPO total
-Antiemético de rescate
-Estancia en UCPA
-Infección del sitio quirúrgico
-Admisión a UCI
-Estancia hospitalaria
-Atelectasias
-Neumonía
-Mortalidad
Identificación de los estudios
Búsquedas electrónicas en bases de datos
Se realizaron búsquedas en las siguientes bases de datos electrónicas:
-MEDLINE (Ovid SP, desde 1966 al presente)
-Cochrane Central Register of Controlled Trials CENTRAL (The Cochrane Library, número actual)
-LILACS (BIREME interface, desde 1982 al presente)
Se usaron estrategias específicas para cada base de datos, las cuales se desarrollaron a partir de la estrategia diseñada para MEDLINE.
(((randomized controlled trial[pt]) OR (controlled clinical trial[pt]) OR (randomized[tiab]) OR (placebo[tiab]) OR (clinical trials as topic[mesh:noexp]) OR (randomly[tiab]) OR (trial[ti])) NOT (animals[mh] NOT (humans[mh] AND animals[mh]))) AND ((perio-perat* OR intraoperat") AND oxygen[tiab])
Búsqueda de otras fuentes
A partir de los artículos relevantes identificados se obtuvieron nuevos términos de búsqueda para enriquecer las estrategias propuestas. Se llevó a cabo búsqueda manual en la lista de referencias de las publicaciones elegidas para identificar estudios adicionales en artículos, memorias de congresos (conference proceedings), y resúmenes (abstracts). Se usó la estrategia de búsqueda en "bola de nieve" (en inglés, snowballing) a partir de las publicaciones relevantes mediante la función "related articles" de PubMed y "citing articles" en ISI Web of Science. Se identificaron experimentos en curso:
También se realizaron búsquedas en fuentes de literatura gris:
- Clinical Medicine Netprints Collection Index to Theses Canada Portal Networked Digital Library of Theses and Dissertations
- New York Academy of Science Grey Source
- Australian Digital Thesis Program Proquest
- Digital Theses ISTP on Web of Science British Library INSIDE (www.bl.uk/insideSIGLE)
- www.nhmrc.gov.au/nics/asp/index.asp
- www.nyam.org/library/pages/grey_literature_report
Finalmente, se contactó a los autores de las publicaciones relevantes y a compañías farmacéuticas relacionadas con el fin de identificar estudios adicionales publicados y no publicados. No se usaron restricciones de lenguaje ni de fecha de publicación.
Recolección y análisis de datos
Identificación y selección de estudios
Los autores hicieron una identificación de los títulos y los resúmenes encontrados en las búsquedas electrónica, manual, snowballing, estudios en curso, literatura gris y contacto con expertos y con la industria. Cada título y resumen se clasificó como relevante, irrelevante o incierto. Se seleccionaron los textos completos de los artículos que hubieran sido clasificados como relevantes o inciertos por al menos uno de los autores.
Posteriormente, los autores hicieron una selección independiente de las publicaciones identificadas que cumplían con los criterios de selección mediante una lista de chequeo. Se calculó el estadístico kappa para cuantificar la concordancia entre evaluadores. No se enmascararon los títulos, dado que los dos evaluadores son anestesiólogos y reconocen fácilmente la fuente, a pesar de no estar declarada. Las discordancias se solucionaron mediante acuerdo.
Extracción y manejo de datos
Un autor (DARV) hizo una extracción inicial de datos relacionados con aspectos descriptivos de los métodos, los participantes y las intervenciones de cada estudio mediante un formato específico. Luego, ambos autores extrajeron los resultados de las intervenciones de manera independiente, y los registraron en un formato específico. Las discordancias se solucionaron mediante acuerdo. El ingreso de los datos en el RevMan fue simple. No se enmascararon ni los autores ni la fuente de la publicación.
Evaluación de riesgo de sesgo en los estudios incluidos
Ambos autores evaluaron de manera independiente el riesgo de sesgo en cada estudio mediante un formato específico. Se evaluaron los siguientes aspectos de acuerdo con el Cochrane Handbook for Reviews of Interventions16:
-Generación de la secuencia de asignación
-Ocultamiento de la asignación
-Enmascaramiento de participantes (pacientes, cuidadores, evaluador de desenlaces, etc.)
-Datos incompletos en el análisis de desenlaces
-Reporte selectivo de desenlaces
-Otras fuentes de sesgos
Cuando los datos requeridos no estaban disponibles en los reportes de los estudios, se buscó información adicional contactando al autor principal del estudio por correo electrónico.
Medida del efecto del tratamiento
Para desenlaces dicotómicos, se calculó la razón de razones (OR, del inglés Odds Ratio). Para desenlaces continuos, se usó la escala adecuada (horas, días) según correspondiera. Para todos los estimadores se calcularon intervalos de confianza de 95% (IC 95%).
Unidad de análisis
Se tomó como unidad de análisis a cada paciente aleatorizado. Con respecto al manejo de estudios con múltiples grupos de tratamiento, se evitó el "error de unidad de análisis" al combinar los grupos similares para realizar una comparación única16.
Manejo de datos perdidos
Cuando fue necesario, se contactó con los autores de los estudios incluidos con el fin de recuperar datos perdidos. Cuando fue posible contactarlos, se buscaron datos disponibles y cuando esto no se pudo hacer, se calcularon los datos perdidos (por ejemplo, se calcularon desviaciones estándar a partir de errores estándar o intervalos de confianza). Si a pesar de estos esfuerzos no se pudo obtener los datos perdidos, se realizó el análisis incluyendo solo los datos disponibles.
Evaluación de la heterogeneidad
La heterogeneidad y la inconsistencia se evaluaron mediante cuatro estrategias: comparación de los métodos, participantes e intervenciones de los estudios (heterogeneidad metodológica), comparación del tipo de pacientes (heterogeneidad clínica), evaluación visual del gráfico de bosque (en inglés forrest plot), y estadísticos Chi2, Tau2 e I2.
La heterogeneidad estadística existirá cuando el valor P del estadístico Chi2 sea menor a 0,10 o la prueba I2 sea mayor a 50%. La infravaloración del valor P para detectar heterogeneidad se hace con el fin de evitar resultados falsos negativos cuando se evalúan pocos estudios o aquellos que cuentan con tamaños de muestra pequeños. También se evaluó el grado de inconsistencia entre los estudios mediante el estadístico I2, donde un valor mayor a 50% indica la presencia de inconsistencia significativa16.
Evaluación del sesgo de reporte
El sesgo de reporte fue abordado mediante una evaluación detallada de la metodología de los estudios. El sesgo de publicación se evaluó mediante el gráfico de embudo (en inglés funnel plot) para cada desenlace que hubiera sido evaluado por 10 o más estudios16.
Síntesis de datos
Los resultados de los estudios se combinaron cuantitativamente de acuerdo al desenlace medido, para lo cual se usó el programa estadístico de la Colaboración Cochrane, Review Manager (RevMan 5.0). El análisis cuantitativo de los desenlaces se realizó con base en la "intención a tratar". Sin embargo, y cuando no fue posible obtener los datos necesarios, se optó por analizar los datos por protocolo. La diferencia de medias para desenlaces continuos medidos se calculó con la misma escala y los estimados agrupados usando un modelo de "efectos aleatorios"19.
Análisis de subgrupos
Los análisis de subgrupos se realizaron para todos los desenlaces y también según la manipulación intestinal, de acuerdo con la modificación de la clasificación propuesta por Disbrow20:
-Ausente
-Limitada
-Extensa
Análisis de sensibilidad
Se realizaron análisis de sensibilidad con el fin de explorar el origen de la heterogeneidad, el efecto del riesgo de sesgo (bajo frente a incierto/alto) y el uso concomitante de óxido nitroso (N2O) sobre los resultados.
Resultados
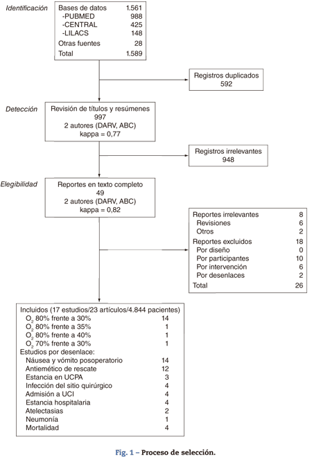
El proceso de selección de los estudios se describe en la figura 1. Los estudios incluidos se relacionan en la tabla 1. Los estudios excluidos se relacionan en la tabla 2. Siete de los 17 estudios incluidos (41%) se clasificaron como con "bajo riesgo de sesgo".


No se encontraron diferencias significativas en la incidencia de náusea y vómito posoperatorios (NVPO) en cirugías sin manipulación intestinal. Tampoco se encontraron diferencias entre los resultados de los estudios según el riesgo de sesgo (fig. 2).

En estudios realizados en cirugías con manipulación intestinal limitada, no se encontraron diferencias en la incidencia de NVPO con el uso de FiO2 altas; sin embargo, existe heterogeneidad entre los estudios, especialmente entre los de bajo riesgo de sesgo. Esta heterogeneidad se reduce (I2 = 0%) cuando se excluye del análisis el estudio de Sadrolsadat37, el cual fue el único en el que se usó oxígeno con óxido nitroso. De igual manera, no hay evidencia de cambio en la incidencia del desenlace (fig. 3).

En cirugías de manipulación intestinal extensa, se encontró un efecto benéfico de las concentraciones de oxígeno altas para la reducción en la incidencia de NVPO (fig. 4). Este resultado se obtuvo exclusivamente de estudios con riesgo de sesgo incierto o alto.

En estudios realizados en varios tipos de cirugías en los cuales no se puede clasificar la manipulación intestinal, no se encontraron diferencias en la incidencia de NVPO con el uso de FiO2 altas. Este resultado es independiente del riesgo de sesgo de los estudios (fig. 5).

No se encontraron diferencias en la necesidad de antiemético de rescate en cirugías sin manipulación intestinal (fig. 6).

Este resultado es consistente, a pesar de las diferencias en el riesgo de sesgo de los estudios.
No se encontraron diferencias en la necesidad de antiemético de rescate en cirugías con manipulación intestinal limitada (fig. 7).

Tampoco se hallaron diferencias en la necesidad de antiemético de rescate en cirugías con manipulación intestinal intensa (fig. 8). Sin embargo, estos datos provienen de estudios con riesgo de sesgo alto o incierto.

En estudios con manipulación intestinal heterogénea, tampoco se encontraron diferencias en la necesidad de antiemético de rescate con el uso de concentraciones de O2 altas (fig. 9).

El efecto de la administración de FiO2 altas sobre la estancia en la unidad de cuidados posanestésicos (UCPA) solo fue evaluado en estudios con manipulación intestinal limitada, en los cuales no fue evidente ninguna diferencia (fig. 10).

El efecto de la administración de concentraciones de oxígeno altas sobre la incidencia de infección del sitio operatorio (ISO) fue evaluado en estudios con manipulación intestinal extensa y heterogénea. En estudios con manipulación intestinal extensa se encontró una reducción en la ISO (fig. 11). No hubo evidencia de que el riesgo de sesgo influenciara este resultado.

En estudios con manipulación intestinal heterogénea, solo se encontraron diferencias cuando se incluyó el estudio de Pryor y colaboradores27, en el cual se usó oxígeno y óxido nitroso (fig. 12).

En estudios con manipulación intestinal extensa no se encontró ningún efecto de las FiO2 altas sobre la admisión a UCI (fig. 13). Tampoco hubo evidencia de influencia del riesgo de sesgo de los estudios sobre este resultado.

En estudios con manipulación intestinal limitada tampoco se encontró ningún efecto de las FiO2 altas sobre la admisión a UCI (fig. 14). De la misma manera, no hubo evidencia de influencia del riesgo de sesgo de los estudios sobre este resultado.

No se encontró ningún efecto de la administración de altas concentraciones de oxígeno sobre la estancia hospitalaria en estudios con manipulación intestinal extensa (fig. 15). No hubo evidencia de influencia del riesgo de sesgo de los estudios sobre este resultado.

En estudios con manipulación heterogénea no se encontró una disminución en la estancia hospitalaria con el uso de FiO2 altas (fig. 16). Sin embargo, fue evidente la influencia del riesgo de sesgo de los estudios sobre este resultado, ya que en el estudio con alto riesgo de sesgo (40) la estancia en el hospital se redujo en un día con la administración de concentraciones de O2 altas.

El uso de diferentes concentraciones de FiO2 tampoco afectó a la incidencia de atelectasias, independientemente del método usado para su diagnóstico, el grado de la manipulación intestinal, o el riesgo de sesgo de los estudios (fig. 17).

No se encontraron diferencias en la incidencia de neumonía posoperatoria con el uso de FiO2 altas en el intraoperatorio (fig. 18).

La incidencia de mortalidad no se afecta con el uso de altas concentraciones de oxígeno en estudios con manipulación intestinal extensa y bajo riesgo de sesgo (fig. 19). No hubo influencia de los estudios con alto riesgo de sesgo en el aumento de la heterogeneidad. Al evaluar el efecto de las FiO2 altas sobre la mortalidad sin reparar en el riesgo de sesgo de los estudios, se encontró una disminución marginal de este desenlace (fig. 19).

El resultado anterior no fue consistente al tener en cuenta estudios con manipulación intestinal heterogénea (fig. 20), en los cuales fue evidente la influencia del riesgo de sesgo sobre los resultados.

El análisis de los gráficos de embudo no evidencia la posibilidad de riesgo de publicación (fig. 21) en NVPO. En otros desenlaces, no se evaluó el sesgo depublicación con "funnel plots" por el pequeño número de estudios usados para cada meta-análisis.

Discusión
En esta revisión sistemática se encontraron 17 estudios relevantes para responder la pregunta de investigación planteada. No se puede pasar por alto el hecho de que 10 de 17 artículos fueron clasificados con riesgo de sesgo alto o incierto, lo cual disminuye la cantidad de evidencia con resultados confiables sobre el tema.
Fue evidente que el efecto de diferentes FiO2 sobre los desenlaces estudiados dependió en gran parte del grado de manipulación intestinal a la que fue sometido el paciente, aunque entre los estudios incluidos existen varios procedimientos quirúrgicos que no fueron estudiados como cirugía vascular mayor, por ejemplo la reparación de aneurisma de aorta abdominal, en el cual la isquemia y manipulación intestinal son considerables. Se debe destacar el hecho de que en los desenlaces de seguridad (atelectasias y neumonía) no se demostró ninguna influencia de las diferentes FiO2, aunque se debe tener en cuenta que en la mayoría de los estudios se usó presión positiva al final de la espiración (PEEP) de por lo menos 5 mmHg.
Algunas revisiones sistemáticas con meta-análisis ya habían estudiado el efecto de las FiO2 altas en varios desenlaces, especialmente para la disminución de la NVPO5,6 y la disminución de ISO12-15. Sin embargo, ninguna de estas había contemplado de manera sistemática el efecto que pueden tener los aspectos metodológicos de los estudios individuales sobre el resultado final. Además, combinaron de manera inapropiada estudios en los que se uso N2O o nitrógeno como segundo gas, lo que impone un factor de confusión a los estudios, por lo que su influencia sobre los resultados debía ser estudiada. En efecto, en esta revisión se encontró que la inclusión de estos estudios27,37 aumenta considerablemente la heterogeneidad estadística, aunque no necesariamente modifica los resultados.
Se debe tener en cuenta que el análisis de subgrupos usado en este meta-análisis disminuye el poder estadístico y la precisión de los resultados a costa de reducir la heterogeneidad. Por esta razón, esta revisión está sujeta a una alta probabilidad de resultados falsos negativos, es decir, que puede no encontrar diferencias entre las intervenciones donde realmente sí las hay.
En conclusión, el oxígeno suplementario intraoperatorio a FiO2 altas (≥ 60%) podría disminuir el riesgo de infección del sitio operatorio y la mortalidad exclusivamente en cirugías en las que se produce manipulación intestinal extensa (p. ej., cirugía colorrectal). Cerca del 60% de los estudios tienen un riesgo de sesgo incierto o alto, lo que impide concluir irrefutablemente que las altas concentraciones de oxígeno tengan propiedades antieméticas que sean clínicamente importantes. La necesidad de antiemético de rescate, el tiempo de estancia en la UCPA, la admisión no esperada a UCI y el tiempo de estancia hospitalaria posoperatoria no se afectan en ningún tipo de población quirúrgica. Tampoco se encontró que la FiO2 en el rango usado en los estudios (entre 30% y 80%) tenga influencia sobre la incidencia de atelectasias o neumonía, independientemente de la manipulación intestinal.
Se requieren estudios experimentales con bajo riesgo de sesgo para disminuir los vacíos en el conocimiento respecto a la concentración ideal de O2 intraoperatorio en anestesia general.
Conflictos de interés
A Outcomes Research Consortium se atribuyen varios estudios incluidos. Ninguno de los autores obtiene beneficio económico por los resultados de esta revisión sistemática.
Fuente de financiación: recursos propios de los autores.
REFERENCIAS
1. Kabon B, Kurz A. Optimal perioperative oxygen administration. Curr Opin Anaesthesiol. 2006;19:11-8. [ Links ]
2. Macario A, Weinger M, Carney S, Kim A. Which clinical anesthesia outcomes are important to avoid? The perspective of patients. Anesth Analg. 1999;89:652-8. [ Links ]
3. Watcha MF, White PF. Postoperative nausea and vomiting. Its etiology, treatment, and prevention. Anesthesiology. 1992;77:162-84. [ Links ]
4. Overdyk FJ, Roy RC. If nitrous oxide induces emesis, maybe 100% oxygen is an antiemetic. Anesth Analg. 1997;84:231-2. [ Links ]
5. Rincón DA, Valero JF. [Supplemental oxygen for the prevention of postoperative nausea and vomiting: a meta-analysis of randomized clinical trials]. Rev Esp Anestesiol Reanim. 2008;55:101-9. [ Links ]
6. Orhan-Sungur M, Kranke P, Sessler D, Apfel CC. Does supplemental oxygen reduce postoperative nausea and vomiting? A meta-analysis of randomized controlled trials. Anesth Analg. 2008;106:1733-8. [ Links ]
7. Ochmann C, Tuschy B, Beschmann R, Hamm F, Rohm KD, Piper SN. Supplemental oxygen reduces serotonin levels in plasma and platelets during colorectal surgery and reduces postoperative nausea and vomiting. Eur J Anaesthesiol. 2010;27: 1036-43. [ Links ]
8. Coello R, Charlett A, Wilson J, Ward V, Pearson A, Borriello P. Adverse impact of surgical site infections in English hospitals. J Hosp Infect. 2005;60:93-103. [ Links ]
9. Miles AA, Miles EM, Burke J. The value and duration of defence reactions of the skin to the primary lodgement of bacteria. Br J Exp Pathol. 1957;38:79-96. [ Links ]
10. Allen DB, Maguire JJ, Mahdavian M, Wicke C, Marcocci L, Scheuen-stuhl H, et al. Wound hypoxia and acidosis limit neutrophil bacterial killing mechanisms. Arch Surg. 1997;132: 991-6. [ Links ]
11. Hopf HW, Hunt TK, West JM, Blomquist P, Goodson WH, Jensen JA, et al. Wound tissue oxygen tension predicts the risk of wound infection in surgical patients. Arch Surg. 1997;132:997-1004; discussion 1005. [ Links ]
12. Brar MS, Brar SS, Dixon E. Perioperative supplemental oxygen in colorectal patients: a meta-analysis. J. Surg. Res. 2011;166:227-35. [ Links ]
13. Chura JC, Boyd A, Argenta PA. Surgical site infections and supplemental perioperative oxygen in colorectal surgery patients: a systematic review. Surg Infect (Larchmt). 2007;8:455-61. [ Links ]
14. Qadan M, Akca O, Mahid SS, Hornung CA, Polk HC. Perioperative supplemental oxygen therapy and surgical site infection: a meta-analysis of randomized controlled trials. Arch Surg. 2009;144:359-66; discussion 366-7. [ Links ]
15. Al-Niaimi A, Safdar N. Supplemental perioperative oxygen for reducing surgical site infection: a meta-analysis. J Eval Clin Pract. 2009;15:360-5. [ Links ]
16. Higgins JPT, Green S. Cochrane handbook for systematic reviews of interventions. John Wiley and Sons; 2008. [ Links ]
17. Liberati A, Altman DG, Tetzlaff J, Mulrow C, Gotzsche PC, Ioan-nidis JPA, et al. The PRISMA statement for reporting systematic reviews and meta-analyses of studies that evaluate health care interventions: explanation and elaboration. J Clin Epidemiol. 2009;62:e1-34. [ Links ]
18. Kung J, Chiappelli F, Cajulis OO, Avezova R, Kossan G, Chew L, et al. From systematic reviews to clinical recommendations for evidence-based health care: validation of revised assessment of multiple systematic reviews (R-AMSTAR) for grading of clinical relevance. Open Dent J. 2010;4:84-91. [ Links ]
19. Kranke P. Evidence-based practice: how to perform and use systematic reviews for clinical decision-making. Eur J Anaesthesiol. 2010;27:763-72. [ Links ]
20. Disbrow EA, Bennett HL, Owings JT. Effect of preoperative suggestion on postoperative gastrointestinal motility. West J Med 1993;158:488-92. [ Links ]
21. Greif R, Akca O, Horn EP, Kurz A, Sessler DI. Supplemental perioperative oxygen to reduce the incidence of surgical-wound infection. N Engl J. Med 2000;342:161-7. [ Links ]
22. Greif R, Laciny S, Rapf B, Hickle RS, Sessler DI. Supplemental oxygen reduces the incidence of postoperative nausea and vomiting. Anesthesiology. 1999;91:1246-52. [ Links ]
23. Akca O, Podolsky A, Eisenhuber E, Panzer O, Hetz H, Lampl K, et al. Comparable postoperative pulmonary atelectasis in patients given 30% or 80% oxygen during and 2 hours after colon resection. Anesthesiology. 1999;91:991-8. [ Links ]
24. Goll V, Akca O, Greif R, Freitag H, Arkilic CF, Scheck T, et al. On-dansetron is no more effective than supplemental intraoperative oxygen for prevention of postoperative nausea and vomiting. Anesth Analg. 2001;92:112-7. [ Links ]
25. Joris JL, Poth NJ, Djamadar AM, Sessler DI, Hamoir EE, Deféchereux TR, et al. Supplemental oxygen does not reduce postoperative nausea and vomiting after thyroidectomy. Br J Anaesth. 2003;91:857-61. [ Links ]
26. Purhonen S, Turunen M, Ruohoaho U, Niskanen M, Hynynen M. Supplemental oxygen does not reduce the incidence of postoperative nausea and vomiting after ambulatory gynecologic laparoscopy. Anesth Analg. 2003;96:91-6. [ Links ]
27. Pryor KO, Fahey TJ, Lien CA, Goldstein PA. Surgical site infection and the routine use of perioperative hyperoxia in a general surgical population: a randomized controlled trial. JAMA. 2004;291:79-87. [ Links ]
28. Turan A, Apfel CC, Kumpch M, Danzeisen O, Eberhart LHJ, Forst H, et al. Does the efficacy of supplemental oxygen for the prevention of postoperative nausea and vomiting depend on the measured outcome, observational period or site of surgery? Anaesthesia. 2006;61:628-33. [ Links ]
29. Apfel CC, Korttila K, Abdalla M, Kerger H, Turan A, Vedder I, et al. A factorial trial of six interventions for the prevention of postoperative nausea and vomiting. N Engl J Med. 2004;350:2441-51. [ Links ]
30. Apfel CC, Korttila K, Abdalla M, Biedler A, Kranke P, Pocock SJ, et al. An international multicenter protocol to assess the single and combined benefits of antiemetic interventions in a controlled clinical trial of a 2x2x2x2x2x2 factorial design (IMPACT). Control Clin Trials. 2003;24:736-51. [ Links ]
31. Donaldson ABP. The effect of supplemental oxygen on post-operative nausea and vomiting in children undergoing dental work. Anaesth Intensive Care. 2005;33:744-8. [ Links ]
32. Treschan TA, Zimmer C, Nass C, Stegen B, Esser J, Peters J. Inspired oxygen fraction of 0.8 does not attenuate postoperative nausea and vomiting after strabismus surgery. Anesthesiology. 2005;103:6-10. [ Links ]
33. Belda FJ, Aguilera L, García de la Asunción J, Alberti J, Vicente R, Ferrándiz L, et al. Supplemental perioperative oxygen and the risk of surgical wound infection: a randomized controlled trial. JAMA. 2005;294:2035-42. [ Links ]
34. García de la Asunción J, Belda FJ, Greif R, Barber G, Viña J, Sastre J. Inspired supplemental oxygen reduces markers of oxidative stress during elective colon surgery. Br J Surg. 2007;94:475-7. [ Links ]
35. Purhonen S, Niskanen M, Wüstefeld M, Hirvonen E, Hynynen M. Supplemental 80% oxygen does not attenuate post-operative nausea and vomiting after breast surgery. Acta Anaesthesiol Scand. 2006;50:26-31. [ Links ]
36. Piper SN, Rohm KD, Boldt J, Faust KL, Maleck WH, Kranke P, et al. Inspired oxygen fraction of 0.8 compared with 0.4 does not further reduce postoperative nausea and vomiting in dolasetron-treated patients undergoing laparoscopic cholecystectomy. Br J Anaesth. 2006;97:647-53. [ Links ]
37. Sadrolsadat SH, Shoroghi M, Farahbakhsh F, Moharreri RS, Sheikhvatan M, Abbasi A. The effect of supplemental 70% oxygen on postoperative nausea and vomiting in patients undergoing inguinal hernia surgery. Hernia. 2008;12:167-71. [ Links ]
38. McKeen DM, Arellano R, O'Connell C. Supplemental oxygen does not prevent postoperative nausea and vomiting after gynecological laparoscopy. Can J Anaesth. 2009;56:651-7. [ Links ]
39. Meyhoff CS, Wetterslev J, Jorgensen LN, Henneberg SW, Simonsen I, Pulawska T, et al. Perioperative oxygen fraction - effect on surgical site infection and pulmonary complications after abdominal surgery: a randomized clinical trial. Rationale and design of the PROXI-Trial. Trials. 2008;9:58. [ Links ]
40. Meyhoff CS, Wetterslev J, Jorgensen LN, Henneberg SW, Hogdall C, Lundvall L, et al. Effect of high perioperative oxygen fraction on surgical site infection and pulmonary complications after abdominal surgery: the PROXI randomized clinical trial. JAMA. 2009;302:1543-50. [ Links ]
41. Simurina T, Mraovic B, Mikulandra S, Sonicki Z, Sulen N, Dukic B, et al. Effects of high intraoperative inspired oxygen on post-operative nausea and vomiting in gynecologic laparoscopic surgery. J Clin Anesth 2010;22:492-8. [ Links ]
42. Khaw KS, Wang CC, Ngan Kee WD, Pang CP, Rogers MS. Effects of high inspired oxygen fraction during elective caesarean section under spinal anaesthesia on maternal and fetal oxygenation and lipid peroxidation. Br J Anaesth. 2002;88:18-23. [ Links ]
43. Kober A, Fleischackl R, Scheck T, Lieba F, Strasser H, Friedmann A, et al. A randomized controlled trial of oxygen for reducing nausea and vomiting during emergency transport of patients older than 60 years with minor trauma. Mayo Clin Proc.2002;77:35-8. [ Links ]
44. Ngan Kee WD, Khaw KS, Ma KC, Wong ASY, Lee BB. Randomized, double-blind comparison of different inspired oxygen fractions during general anaesthesia for Caesarean section. Br J Anaesth. 2002;89:556-61. [ Links ]
45. Parpaglioni R, Capogna G, Celleno D, Fusco P. Intraoperative fetal oxygen saturation during Caesarean section: general anaesthesia using sevoflurane with either 100% oxygen or 50% nitrous oxide in oxygen. Eur J Anaesthesiol. 2002;19:115-8. [ Links ]
46. Purhonen S, Niskanen M, Wüstefeld M, Mustonen P, Hynynen M. Supplemental oxygen for prevention of nausea and vomiting after breast surgery. Br J Anaesth. 2003;91:284-7. [ Links ]
47. Mayzler O, Weksler N, Domchik S, Klein M, Mizrahi S, Gurman GM. Does supplemental perioperative oxygen administration reduce the incidence of wound infection in elective colorectal surgery? Minerva Anestesiol. 2005;71:21-5. [ Links ]
48. Ghods AA, Soleimani M, Narimani M. Effect of postoperative supplemental oxygen on nausea and vomiting after cesarean birth. J. Perianesth. Nurs. 2005;20:200-5. [ Links ]
49. Sinha PK, Neema PK, Unnikrishnan KP, Varma PK, Jaykumar K, Rathod RC. Effect of lung ventilation with 50% oxygen in air or nitrous oxide versus 100% oxygen on oxygenation index after cardiopulmonary bypass. J Cardiothorac Vasc Anesth 2006;20:136-42. [ Links ]
50. Myles PS, Leslie K, Chan MTV, Forbes A, Paech MJ, Peyton P, et al. Avoidance of nitrous oxide for patients undergoing major surgery: a randomized controlled trial. Anesthesiology. 2007;107:221-31. [ Links ]
51. Phillips TW, Broussard DM, Sumrall WD, Hart SR. Intraoperative oxygen administration does not reduce the incidence or severity of nausea or vomiting associated with neuraxial anesthesia for cesarean delivery. Anesth Analg 2007;105:1113-7. [ Links ]
52. Mraovic B, Simurina T, Sonicki Z, Skitarelic N, Gan TJ. The doseresponse of nitrous oxide in postoperative nausea in patients undergoing gynecologic laparoscopic surgery: a preliminary study. Anesth Analg 2008;107:818-23. [ Links ]
53. Gardella C, Goltra LB, Laschansky E, Drolette L, Magaret A, Chadwick HS, et al. High-concentration supplemental perioperative oxygen to reduce the incidence of postcesarean surgical site infection: a randomized controlled trial. Obstet Gynecol. 2008;112:545-52. [ Links ]
54. Khaw KS, Wang CC, Ngan Kee WD, Tam WH, Ng FF, Critchley LAH, et al. Supplementary oxygen for emergency Caesarean section under regional anaesthesia. Br J Anaesth. 2009;102:90-6. [ Links ]
55. Pécora FST, Malbouisson LMS, Torres MLA. [Supplemental oxygen and the incidence of perioperative nausea and vomiting in cesarean sections under subarachnoid block]. Rev Bras Anestesiol. 2009;59:558-69. [ Links ]
56. Anthony T, Murray BW, Sum-Ping JT, Lenkovsky F, Vornik VD, Parker BJ, et al. Evaluating an evidence-based bundle for preventing surgical site infection: a randomized trial. Arch Surg. 2011;146:263-9. [ Links ]
57. Kabon B, Rozum R, Marschalek C, Prager G, Fleischmann E, Chiari A, et al. Supplemental postoperative oxygen and tissue oxygen tension in morbidly obese patients. Obes Surg. 2010;20:885-94. [ Links ]
58. Khaw KS, Ngan Kee WD, Chu CY, Ng FF, Tam WH, Critchley LAH, et al. Effects of different inspired oxygen fractions on lipid peroxidation during general anaesthesia for elective Caesarean section. Br J Anaesth. 2010;105:355-60. [ Links ]
59. Zoremba M, Dette F, Hunecke T, Braunecker S, Wulf H. The influence of perioperative oxygen concentration on postoperative lung function in moderately obese adults. Eur J Anaesthesiol. 2010;27:501-7. [ Links ]










texto en 

