Servicios Personalizados
Revista
Articulo
Indicadores
-
Citado por SciELO -
Accesos
Links relacionados
-
Citado por Google -
Similares en
SciELO -
Similares en Google
Compartir
Revista EAN
versión On-line ISSN 0120-8160
Rev. esc.adm.neg n.72 Bogotá ene./jun. 2012
Alexis Castillo Sauza**
*Ingeniero Electricista M.Sc.PhD Universidad Industrial de Santander Grupo de investigación en Sistemas de Energía Eléctrica-GISEL.
**Ingeniero Electricista, MSc (c) Zona Franca de Bogotá Grupo de investigación en Sistema de Energía Eléctrica-GISEL.
Fecha de recepción: 18 de febrero Fecha de aprobación: 12 de abril
Resumen
Minimizar el costo de la energía eléctrica en Zonas Francas de Colombia, es una necesidad apremiante por ser este un factor directamente relacionado con la competitividad de parques industriales que, bajo un régimen especial, promueven la entrada de nueva inversión al país. En este artículo se presenta una herramienta de optimización de la explotación de una planta de autogeneración que junto con la conexión convencional a la red eléctrica se usan como fuentes para el abastecimiento de energía de una Zona Franca. Bajo estas condiciones generales se ha valorado el beneficio de la condición hipotética de operación. Como herramienta computacional para resolver el modelo planteado usamos el Sistema General de Modelamiento Algebraico - GAMS - con la ayuda de MATLAB para agilizar el ingreso y procesamiento de datos.
Palabras clave: Autogeneración, Costo, Energía, Zonas francas, Tarifa, Optimización.
Abstract
Minimizing the cost of electricity in commercial areas of Colombia is one of the biggest needs of this economic sector covering the competitiveness of industrial parks that stimulates investment in this country. In this article, an optimization tool is described on the exploitation of a self- generation plant that together with the conventional connection to electrical networks is used as a source of energy to supply it to commercial areas. Under these general conditions, the advantage of operational hypothetic conditions has been evaluated. As a computational tool to determine this model, we apply the so- called General System of Algebra Model- GAMS- with the support of MATLAB to facilitate incomes and data processing.
Key words: Self- generation, Cost, Energy, Commercial areas, Tariff, Optimization.
Resuméé
Minimiser le coût de l'énergie électrique dans les zones franches colombiennes est une nécessité urgente car ces zones représentent un facteur de compétitivité de l'économie locale et qui, en vertu d'un régime fiscal différent, favorisent l'entrée de nouveaux capitaux. Cet article présente un outil permettant l'optimisation de l'exploitation énergétique qui, grâce à des générateurs électriques utilisés comme sources d'approvisionnement en énergie de zone de libre-échange, améliore la connexion classique au réseau électrique. Dans ces conditions, la valeur ajoutée du bénéfice hypothétique de l'opération se trouve valorisée. L'outil de calcul informatique mis en place pour résoudre le modèle mathématique est le Système Général de Modélisation Algébrique - GAM - qui s'utilise à l'aide du MATLAB afin de simplifier la saisie et le traitement des données.
Mots clefs: Taux d'auto génération, Coût, Énergie, Zones franches, Tarifs, Optimisation.
Resumo
Minimizar o custo da energia elétrica em Zonas de Comércio Livre da Colômbia, é uma necessidade urgente por ser um fator diretamente relacionado com a competitividade de parques industriais que em regime especial, promovem a entrada de novos investimentos no país. Neste artigo apresenta-se uma ferramenta para otimizar a explotação de uma planta de autogeração que junto com a ligacão convencional à rede elétrica são usadas como fontes para fornecer de energia uma Zona de Comércio Livre. O benefício da condição hipotética de operação foi valorado nestas condições gerais. Como ferramenta computacional para resolver o modelo proposto usouse o Sistema Geral de Modelagem Algébrica - GAMS - com a ajuda de MATLAB para agilizar o ingresso e processamento de dados.
Palavras-chave: Auto geração, Custo, Energia, Zonas de comércio livre, Tarifa, Otimização.
1. Introducción
El costo de la energía eléctrica para las zonas francas en Colombia, operadas bajo un régimen especial establecido para estimular y atraer nueva inversión al país, tiene un impacto significativo y directo sobre los bienes y servicios producidos en estos parques industriales. Los costos se han incrementado sustancialmente en los últimos años, disminuyendo la competitividad de las empresas instaladas en estas áreas estratégicas de desarrollo a nivel nacional (Fedesarrollo, 2009).
Con el propósito de plantear una solución al problema enunciado, en este artículo se simula una condición hipotética de operación mediante la optimización del suministro de energía para una zona franca de dos fuentes: una planta de autogeneración y la conexión existente a la red eléctrica. Bajo estas condiciones generales se ha formulado un problema de minimización de costos que modeló matemáticamente la situación para su solución.
Con la herramienta desarrollada, se han ejecutado tres escenarios para la situación planteada, considerando proyecciones de la demanda de una zona franca, de los precios de mercado y el combustible requerido por la planta de autogeneración. Los resultados correspondientes muestran que es posible para una zona franca configurar y gestionar una condición de operación de su sistema, que le permita obtener menores costos de energía eléctrica para abastecer las empresas instaladas en el parque industrial y de esta forma aumentar su competitividad.
2. Modelo de minimización
El problema que se pretende abordar es el del despacho óptimo de la demanda de una zona franca, considerando dos fuentes de alimentación de energía: una central térmica propia -en sitio- (autogeneración) y el mercado (o energía servida por el Sistema Interconectado Nacional).
Mediante la estructuración de un modelo matemático de optimización, se busca obtener un plan indicativo de arranques y paradas de la central generadora -en sitio- y en forma más general la combinación óptima de las dos fuentes disponibles para abastecer al menor costo posible la demanda de una Zona Franca.
Como lenguaje de escritura algebraica del problema se ha usado GAMS con la ayuda de MATLAB para agilizar el ingreso, análisis de sensibilidad y procesamiento de datos: estas dos herramientas soportadas en el motor de optimización CPLEX constituyen la base computacional empleada para encontrar la mejor condición de operación de la situación planteada.
2.1 Formulación matemática
Por ser un problema extremadamente complejo, la programación de la generación usualmente se divide en sub-problemas de menor envergadura de acuerdo con una jerarquía temporal, considerando distintos horizontes de programación (largo, mediano y corto plazo) y usando técnicas de descomposición. El análisis del problema planteado se realizará en el corto plazo. Se tomará como base de referencia la formulación desarrollada por Arroyo y Conejo, que hace que este problema, pese a ser combinatorio, no lineal y entero mixto, se formule como un problema estrictamente lineal que se puede resolver mediante programación lineal y entero-mixta.
2.1.1 Función objetivo
La función objetivo a minimizar está formada por los costos de la energía para una zona franca, esto es: los de adquisición en el mercado (energía servida por el sistema eléctrico nacional), los de producción propia -autogeneración- (costos variables y costos fijos) y los costos de arranque y parada de la central en sitio. De acuerdo con lo anterior, se tiene como función objetivo a minimizar:
Donde:
C: Costo de la energía eléctrica para la zona franca, en COP.
CM: Costo de la energía comprada al mercado eléctrico por la zona franca, en COP.
CG: Costo de la energía generada por la planta -en sitio- de la Zona Franca, incluyendo costos fijos y variables, en COP.
CA: Costo Total de los arranques de la planta generadora -en sitio- de la zona franca, en COP.
CP: Costo Total de las paradas de la planta generadora -en sitio- para la zona franca, en COP.
Para el desarrollo del modelo se considera que:
-
La energía de la frontera comercial será la proporcionada por la red eléctrica nacional, es decir las compras al mercado.
-
Los costos de la generación -en sitio- constan de: los costos de producción (costos variables, combustible y costos fijos), los costos de arranque y los costos de parada.
-
Para todos los efectos prácticos, las inyecciones y retiros de potencia del sistema se considerarán realizados en un solo nodo (modelo uninodal), como se muestra en la figura 1.
-
En la ejecución del despacho económico de carga no se considerará la influencia de las pérdidas en el sistema de distribución interna de la zona franca.
-
Se abordará el problema mediante una programación horaria con un horizonte temporal comprendido en el corto plazo T = 24 horas.

La formulación matemática con la que se modelan cada una de los componentes de la función objetivo es:
-
Costo de compra de energía al mercado. El costo de la energía comprada al mercado, por parte de la zona franca, se formula de la siguiente manera:
Donde:
m (t): potencia demandada y comprada al mercado eléctrico, en la hora t y en MW.
λ:(t)est: precio estimado de la energía en el mercado eléctrico en la hora t y en COP/MW.
-
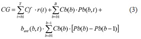
Costo de la planta generadora. La característica de entrada-salida de una planta se obtiene a partir de datos empíricos o cálculos de diseño. Para la formulación del modelo desarrollado en este trabajo se ha usado una linealización por tramos de potencia, tal y como se muestra en la figura 2, la cual representa una aproximación aceptable para el problema de programación horaria planteado y la cual conduce a la siguiente expresión:
Donde:
Cf: Costo fijo de operación de la planta generadora -en sitio- en COP.
r (t) : Variable binaria que es igual a 1 sí la central generadora -en sitio- está operando en la hora t en caso contrario es cero.
B: Conjunto de índices de los bloques de potencia de la planta generadora -en sitio- (cada bloque notado como b1, b2, etc.).
Cb (b): Costo de generación del bloque de potencia b de la Planta Generadora -en sitio- en COP/MW.
Pb (b): Potencia del bloque b en MW.
Pb (b,t): Potencia del bloque b en su condición de marginal, es decir el último bloque considerado, y en la hora de generación t, en MW.
bent (b,t): Variable binaria que es igual a 1sí el bloque b es marginal en la hora de operación t.

Esta representación resulta un poco compleja porque de esta forma se pueden considerar características cóncavas o convexas y garantizar una solución real en términos de máquina, es decir, primero se despacha el bloque b1, y luego el b2 y así sucesivamente.
La potencia generada por la central en la hora t es:
-
Costo de los arranques de la planta generadora. El costo total de los arranques se expresa de la siguiente manera:
a (t): Variable binaria que es igual a 1 sí la central generadora -en sitio- es arrancada al comienzo del periodo t.
A: Costo de arranque de la central generadora -en sitio- en COP.
-
Costo de las paradas. El costo total de las paradas se formula así:
p (t): Variable binaria que es igual a 1sí la central generadora -en sitio- es apagada o parada al comienzo del periodo t.
P: Costo de parada de la central generadora -en sitio- en COP.
2.1.2 Restricciones
El problema de minimización planteado tiene dos tipos de restricciones: las restricciones propias de la carga (particularmente de la demanda) y las restricciones técnicas inherentes a la clase de central térmica.
-
Restricción de demanda. La restricción de demanda se puede modelar de la siguiente forma:
d (t): Demanda de la zona franca, en la hora t, en MW.
g (t): Potencia de la salida de la central generadora -en sitio- en la hora t, en MW.
m (t): Potencia comprada al mercado eléctrico nacional (servida por el SIN) en la hora t, en MW.
-
Potencia máxima nominal y potencia máxima de parada de la planta generadora. Las plantas térmicas, ya sean a gas o a carbón, tienen una limitación máxima en la potencia que pueden producir, llamada potencia máxima nominal que se debe a características de diseño. La potencia máxima nominal también puede variar si alguna de las unidades que compone la planta se encuentra en mantenimiento. Así mismo dentro de los parámetros de diseño se tiene una rampa de potencia límite para que la planta pueda ser parada, que es la variación de potencia máxima que soporta la unidad en una hora al momento de ser apagada. Dentro del modelo propuesto, estas restricciones serán valores constantes expresados en MW y MW/h respectivamente. Así mismo, se tendrán en cuenta estas dos restricciones dependiendo de la condición de operación (en funcionamiento o si se va a apagar), en una expresión matemática así:
Pmax: Potencia máxima nominal de la central generadora -en sitio-, en MW.
: Variación máxima de potencia en una hora que permite la central generadora -en sitio- en la parada, en MW/h.
La ecuación (8) limita la generación a su valor máximo y al mismo tiempo limita los cambios de potencia horaria a las rampas de toma de carga.
-
Potencia mínima disponible - Mínimo técnico de la planta generadora. La potencia mínima, llamada mínimo técnico, se debe a criterios de diseño, a aspectos de estabilidad del grupo generador y a la misma potencia requerida para la sincronización con el sistema demandante. Ahora bien, si la central no está sincronizada su potencia de salida es 0 (inferior al mínimo técnico). Esta restricción se puede expresar así:
Pmin: Potencia mínima disponible de la central generadora -en sitio-, en MW.
-
Rampa de toma de carga y potencia mínima de arranque de la planta generadora. La siguiente expresión limita la operación de la planta a la rampa (o variación) de toma de carga y a la variación máxima potencia que soporta el grupo generador en el arranque:
: Rampa o variación máxima de toma de carga en una hora de la central generadora -en sitio-, en MW/h.
: Variación máxima de potencia en una hora que permite la central generadora -en sitio- en el arranque, en MW/h.
-
Rampa de deslastre de carga y potencia máxima de parada de la planta generadora. La rampa de deslastre de carga de la central térmica se formula de la siguiente manera, en esencia limitando la operación a la rampa de bajada o deslastre de carga y a la potencia máxima de parada:
: Rampa o variación máxima de deslastre de carga en una hora de la central generadora -en sitio-, en; MW/h.
-
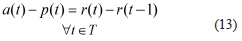
Relación entre las variables binarias de arranque, parada y operación. Como se observa en la formulación de las restricciones de los arranques, paradas y entradas en operación de la central generadora -en sitio-, la lógica de las mismas es modelada mediante variables binarias a(t), p(t) y r(t) respectivamente. Es decir, estas restricciones impiden que dentro del modelo la central pueda ser arrancada y parada en la misma hora. De acuerdo con lo anterior se incluyen las siguientes expresiones que determinan tanto la exclusividad de arranque o parada cómo la relación de estas variables con el estado de la central generadora:
-
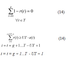
Tiempo mínimo de funcionamiento. Una central térmica solo puede soportar cambios graduales en la temperatura con el fin que sus componentes no fallen o se produzca un envejecimiento prematuro de los mismos. Es decir, una condición en este sentido es evitar paradas con demasiada frecuencia. Por consiguiente, el tiempo mínimo de funcionamiento es el número mínimo de horas que una central debe permanecer operando una vez que es encendida. Las siguientes ecuaciones modelan esta limitación en la operación de la central:
g: Tiempo de operación, en horas, que le falta a la central generadora -en sitio- para cumplir el tiempo mínimo de funcionamiento UT, considerando que al inicio del horizonte de tiempo de estudio T la central ya estaba operando.
UT: Tiempo mínimo de funcionamiento de la central generadora -en sitio-, en horas.
3. Ejecución del modelo
se evalúa el desempeño del modelo sobre un periodo de diez años, que es el lapso de tiempo comúnmente considerado para entornos de inversión en zonas francas en Colombia. Para esto, se requiere proyectar todas las variables que intervienen en el desempeño de la central como instrumento de autogeneración de energía, en el periodo considerado. Se asume que las condiciones que afectan el desempeño del modelo (precio de generación, demanda, precio de mercado, etc.) son constantes en un mes durante el cual está representado por un día tipo. Cada día tipo es evaluado con resolución horaria. En consecuencia, para modelar un año se requiere evaluar el modelo 12 veces, donde cada ejecución representa un mes. A continuación se presenta la proyección de las variables mencionadas en un periodo de 10 años con resolución mensual. Los resultados de este análisis pueden servir de entrada para una valoración técnico-financiera, que no está incluida en este estudio.
3.1 Proyecciones de la demanda
Para estas proyecciones se parte de la premisa que la zona franca bajo análisis presenta una curva de demanda horaria tipo, como se muestra en la figura 3. Esta característica representa el patrón de consumo del mes base de análisis. El perfil de esta curva se mantendrá en todo el periodo de estudio, dado que se asume que las cargas que entrarán en el futuro, son de carácter tecnológico (es decir cargas que se pueden considerar constantes durante las 24 horas del día). Por lo anterior la curva de demanda horaria variará con resolución mensual, de acuerdo con factores de estacionalidad determinados históricamente e interanual de acuerdo con crecimientos proyectados.

Los factores multiplicadores para proyectar mensualmente los consumos de la figura 3 se detallan en la tabla 1. Así por ejemplo, para obtener el consumo diario del mes de febrero del año base, todos los consumos horarios de la figura 3 se deben multiplicar por el factor 1,12.

Las proyecciones de crecimiento anual de demanda se establecen tomando como referencia análisis de creci-miento, expectativas comerciales y desarrollos futuros. Por lo anterior y como se puede ver en la tabla 2, se han considerado tres escenarios posibles de crecimiento de la demanda (escenario alto, medio y bajo).

3.2 Proyecciones de los precios del mercado
Hay diversas consideraciones que determinan el precio de compra de la energía en el mercado para una zona franca en Colombia. Para los propósitos de este estudio se considera una negociación en la cual la componente de generación de la tarifa está sujeta 100% al costo marginal del mercado eléctrico con un perfil diario de comportamiento típico, figura 4. Para obtener los costos finales de mercado -tarifa- se suma a caca uno de los costos de generación una comercialización Czf,m asumida de 5 COP/kWh más los cargos regulados asumiendo la conexión al Sistema de Distribución Local -SDL- a un nivel de tensión III (Sistemas con tensión nominal mayor o igual a 30 kV y menor de 62 kV) y el incremento por la contribución del 20%.

Los datos presentados en la figura 4 se escalan, para obtener el perfil de precios de cada mes, mediante factores definidos en las tablas 3 y 4.


3.3 Proyecciones de las características de la central térmica
Se considera que el precio del combustible primario cambia con resolución anual. En la tabla 5, se presenta el conjunto de incrementos porcentuales de precio de combustible y por lo tanto de generación.

De acuerdo con la disponibilidad de datos en el año base los datos de los parámetros técnicos que definen el desempeño de la planta de autogeneración, de acuerdo con la definición del modelo desarrollado, se presentan en la tabla 6.

En la tabla 7, se muestran los valores correspondientes a la linealización por bloques de la función de costos de la central térmica usada para el análisis.

4. Resultados y análisis
De acuerdo con los datos antes suministrados se requiere ejecutar el modelo 12 veces por año durante los diez años que se desean analizar. Por lo tanto, por cada escenario de valoración se requieren 120 simulaciones de despacho económico. Antes de ver los de la explotación con carácter interanual se revisan los resultados del modelo en el año base, esto permite entender los detalles de respuesta del modelo.
4.1 Análisis de resultados en el año base
En un modelo puramente financiero, donde se tienen dos fuentes ideales de aprovisionamiento, el suministro con resolución horaria se toma de la que tiene menor precio; solución que podría denominarse como trivial y que no aporta demasiado. En el sistema y el modelo de optimización desarrollado esta consideración es irreal, especialmente por las restricciones de operación de la central que limitan sus entregas de potencia.
Entonces, considerando las restricciones técnicas descritas en la formulación del modelo y asignando los valores de la tabla 6 y tabla 7, se obtienen los resultados de explotación mostrados en la tabla 8. Los resultados muestran que la demanda de la zona franca bajo análisis se atiende de la siguiente manera: entre las horas 1 y 7 se a partir de compras de energía en el mercado eléctrico nacional, entre las horas 8 y 11 de forma compartida entre la central térmica y compras en el mercado y de la hora 12 a la 24 sólo realizando compras en el mercado.

Se evidencia que las compras de energía en el mercado se dan cuando el precio es bajo, lo cual es lógico. Adicionalmente se aprecia que la demanda en cada hora es satisfecha o vía compras en el mercado o vía auto-generación.
Estos resultados están muy condicionados por la flexibilidad de la unidad de generación. El beneficio de usar la central, frente a realizar solo compras en el mercado, se puede visualizar en la tabla 9.

La operación conjunta de las dos fuentes de suministro de energía presenta beneficios frente a realizar sólo compras al mercado de energía eléctrica. El ahorro es porcentualmente modesto para el mes 1, del año base (2,8 %). Con el fin de tener una referencia válida de los ahorros, el modelo de optimización se ejecuta para los 12 meses del año base con el fin de recoger la estacionalidad anual del consumo y el precio de marcado. En la figura 5, se presentan los aportes de energía de cada una de las fuentes para atender la demanda mensual.

De los resultados se observan algunas tendencias claras:
-
Cuando la demanda mensual es alta, el aporte de la autogeneración es mayor. Esta situación se presenta fundamentalmente porque en los periodos de máxima demanda de la zona franca bajo análisis (que conserva un comportamiento similar de la demanda nacional) el precio de mercado aumenta y por lo tanto es más ventajoso autogenerar.
-
Se mantiene la tendencia vista en el mes 1 del año base. En general la demanda es atendida básicamente por un tipo de fuente. Esto está dado porque se ha simulado una central con una excelente flexibilidad de operación.
El ahorro que se obtiene, producto de la incorporación de la autogeneración, se evalúa como la diferencia entre los costos correspondientes de explotación adquiriendo energía en el mercado y a través de la estrategia planteada en este estudio. El ahorro mensual, derivado de la incorporación de la autogeneración, se puede ver en la figura 6. Se observa una variación mensual importante, donde los mayores ahorros se obtienen en los meses finales del año. En el año base, el ahorro monetario es del 12,64%, respecto al costo de adquisición de toda la energía requerida por la zona franca en el mercado de energía eléctrica nacional. El costo del suministro de energía, realizando sólo compras en el mercado, equivale a 16.750 millones/año y realizando la explotación conjunta asciende a 14.630 millones/año. Esto equivale a un ahorro bruto de 2.120 millones/año.

4.2 Extensión del modelo en el largo plazo
Hasta el momento, se ha estimado el beneficio que se puede obtener, y sus limitantes, analizando el comportamiento del modelo en el periodo de un año, donde se puede ver el desempeño de esta alternativa para una zona franca ante la estacionalidad diaria y anual tanto de los precios de mercado de la energía como de la demanda. A continuación se muestran los resultados de la alternativa planteada, evaluados sobre un periodo de 10 años y condicionados por la variación de los parámetros de largo plazo, como son: el precio del combustible, el precio de la energía en el mercado eléctrico y crecimiento de la demanda de la zona franca bajo análisis.
4.2.1 Valoración de largo plazo (escenario medio)
Con los datos correspondientes al escenario medio se ha ejecutado la rutina para cada mes del año, representada por un día tipo de dicho mes y extendiéndola para los 10 años del periodo considerado. Es decir, se ha optimizado la explotación de la adquisición de la energía para la zona franca en 120 periodos. Para cada uno de estos escenarios se ha calculado el costo de operación conjunta mercado-autogeneración y el costo de compras solo en el mercado. En la tabla 10 se muestra el costo de suministro de energía en un periodo de 10 años, adquiriendo energía en el mercado y autogenerando. Se aprecia un fuerte crecimiento del costo de suministro de la energía, debido fundamentalmente al incremento esperado de la demanda.

Para valorar los beneficios de la adquisición y explotación de la autogeneración, de deben cuantificar los costos adquiriendo toda la energía en el mercado, que es la opción de existente actualmente, lo cual se muestra en la tabla 11. Como es de esperar, el costo presentado en la tabla 10 será siempre menor al presentado en la tabla 11, pues este último resultado cuenta con menos variables de decisión.

La diferencia de costos entre estas dos formas de atención de la demanda representa el ahorro producido por la integración de la central de autogeneración en el mix energético de una zona franca y se puede ver en la tabla 12.

Se evidencia que el ahorro porcentualmente disminuye en el periodo considerado, partiendo del 12,64% para terminar en un 3,46% al final del periodo. Sin embargo, esto no quiere decir que el ahorro sea menor, no en términos absolutos, de hecho en valores corrientes se incrementa de 2.120 a 11.515 millones COP/año, esto supone un incremento del beneficio del 445 %. Es esta última senda de ahorros los que se deben tomar en consideración en una valoración de factibilidad de inversión.
Un inversionista experimentado sabe que no es posible valorar la viabilidad de un proyecto usando los resultados de un único escenario de predicciones, por ésto en la siguiente sección se hace una valoración de los resultados usando diversos escenarios.
4.2.2 Valoración de la sensibilidad sobre otros escenarios
Como se comentó previamente, en esta sección se valorará el beneficio de la autogeneración empleando el modelo de despacho económico de la demanda desarrollado, bajo diversos escenarios. Esto supone la consideración de escenarios que a pesar de ser poco probables pueden ocurrir y tener consecuencias muy adversas o muy convenientes.
En el caso aquí planteado existe mucha incertidumbre en los parámetros de largo plazo, especialmente en lo referente al precio de combustible (el precio del gas presentan especial volatilidad en Colombia). Es necesario por lo tanto definir los escenarios adecuados y evaluar el desempeño conjunto de la central de autogeneración y las compras en el mercado en cada uno de ellos. Se definen tres escenarios a saber:
-
Escenario pesimista: este escenario contiene aquellas variables que hacen que el beneficio de la implantación de la autogeneración sea mínimo, para lo cual se considera la proyección de crecimiento mínimo de la demanda, crecimiento mínimo de los precios de mercado y crecimiento máximo de los precios del combustible.
-
Escenario medio: este escenario toma el valor esperado de las variables en el mediano plazo y los crecimientos medios de todas las variables involucradas.
-
Escenario optimista: se toman para este caso aquellos valores que favorecen la incorporación de la central de autogeneración. En este escenario se toma el escenario de crecimiento máximo de la demanda, crecimiento máximo de los precios de mercado y crecimiento mínimo de los precios de combustible.
Las proyecciones de los ahorros, producto de usar de forma óptima para el abastecimiento de la demanda de la zona franca tanto la central de autogeneración como las compras en el mercado de energía, en el escenario medio, optimista y pesimista se presentan en la tabla 13, tabla 14 y tabla 15 respectivamente. Se han presentado los resultado en millones de pesos colombianos mmCOP y millones de dólares americanos mmUSD, estos últimos por que resultan más familiares para inversionistas de gran volumen.



De estos resultados mostrados se puede decir que:
-
En todos los escenarios el beneficio se reduce porcentualmente para horizontes lejanos.
-
En valores corrientes, el ahorro en términos absoluto crece en el escenario medio y optimista y decrece en el escenario pesimista.
-
En el escenario pesimista el ahorro a partir de 2016 se hace nulo. Esto quiere decir que no es rentable usar la central de autogeneración.
-
Considerando que la inversión es de 9,5 mmUSD el periodo de retorno de la inversión (payback en términos anglosajones) es de 5, 4 e infinito en los escenarios medio, optimista y pesimista respectivamente. Es importante anotar en este punto, que los equipos requeridos para instalar la planta dentro de la zona franca, están libres de IVA, aranceles y costos de nacionalización, lo cual representa un menor costo de aproximadamente el 30% con respecto a los equipos que se instalen en territorio aduanero nacional (fuera de zona franca).
5. Conclusiones
La autogeneración de energía eléctrica es una actividad que puede desarrollarse tanto en una zona franca permanente (Multiempresarial) como en una permanente especial (Uniempresarial). No obstante para una planta menor, específicamente hablando de menos de 20 MW, es más viable hacerlo en una multiempresarial ya que en la permanente especial la inversión requerida es mucho más alta (cerca de 44 mmUSD).
Si una unidad de generación es barata en un periodo determinado, el algoritmo de optimización intentará producir a partir de la fuente de generación pero atendiendo a las rampas de toma y deslastre de carga, potencias mínimas de arranque y parada, etc. Estas limitantes hacen que en periodos donde sea conveniente generar solo se haga de modo parcial. Es por esto que cuando la central es muy restrictiva se encuentren escenarios donde la demanda se atienda de forma compartida por el mercado y por la auto-generación.
Es importante recalcar que en cuanto a la autogeneración sólo se han incluido los costos variables de producción de energía en sitio, es decir todos los requeridos para generar un kWh exceptuando la depreciación del activo (todos los equipos de la planta). Por lo tanto, no se debe concluir de forma apresurada que el beneficio positivo, antes mencionado (2.120 millones/año), indica que la inversión es rentable. Desde el punto de vista de una zona franca que desee hacer esta inversión, este ahorro bruto es una entrada en un modelo técnico - financiero para valorar la viabilidad del proyecto, que no se abordó en este estudio.
Desde luego, los resultados comentados dependen de los parámetros considerados, especialmente precio de mercado y precio de generación, este último totalmente condicionado por la tecnología a utilizar y el combustible requerido. Para estimar la viabilidad de inversión en un activo de esta naturaleza, que tiene una vida útil considerable (alrededor de 20 años) es necesario realizar una valoración de los ahorros en el largo plazo. Se suele evaluar la viabilidad de un proyecto de estas características en un periodo similar a la vida útil del activo o en periodos más cortos en entornos considerados riesgosos para el inversionista. Por el tipo de negocios que se desarrollan en una zona franca se considera adecuado revisar la viabilidad del proyecto en un periodo de 10 años.
El tipo de inversión define la importancia del análisis de sensibilidad. Si los ingresos y/o gastos están condicionados por las condiciones de mercado, donde es difícil predecir la actuación de los agentes, el análisis de sensibilidad y el criterio de valoración, debe tener criterios de análisis de riesgo. Si la inversión tiene un ingreso regulado y un gasto acotado, por ejemplo esquemas feed-in-tariff, el análisis de riesgo pasa a un segundo plano.
6. Referencias bibliográficas
FEDESARROLLO (2009). Centro de Investigación Económica y Social -, El Mercado de la Energía Eléctrica en Colombia: Características, Evolución e Impacto sobre otros Sectores. [ Links ]
Conejo, A. J. y Arroyo, J. M. Optimal response of a thermal unit to an electricity spot market. IEEE Transactions on Power Systems, vol. 15, no. 3, pp. 1098-1104. [ Links ]
Ramos A. y Gomez-Villalva. Optimal energy management of an industrial consumer in liberalized markets. Power Systems IEEE Transactions on, vol. 18, no. 2, págs. 716-723. [ Links ]
Ashok, S. y Banerjee, R. (2001). An optimization mode for industrial load management. IEEE Transactions on Power Systems, vol. 16, no. 4, pp. 879-884. [ Links ]
Ashok, S, y Banerjee, R. (2003). Optimal operation of industrial cogeneration for load management. IEEE Transactions on Power Systems, vol. 18, no. 2, pp. 931-937. [ Links ]



























