Servicios Personalizados
Revista
Articulo
Indicadores
-
Citado por SciELO -
Accesos
Links relacionados
-
Citado por Google -
Similares en
SciELO -
Similares en Google
Compartir
Cuadernos de Desarrollo Rural
versión impresa ISSN 0122-1450
Cuad. Desarro. Rural vol.12 no.75 Bogotá ene./jun. 2015
https://doi.org/10.11144/Javeriana.cdri2-75.rpca
Reconfiguración de la pobreza en Chile: un análisis comparativo entre los espacios rurales y urbanos*
Reconfiguration of Poverty in Chile: A Comparative Analysis between Rural and Urban Spaces
Refaçonnage de la pauvreté au Chili: une analyse comparative entre les espaces rurales et urbains
Reconfiguração da pobreza no Chile: análise comparativa entre espaços rurais e urbanos
Juan Cabas Monje**
Rosana Vallejos Cartes***
Héctor Manuel Garrido Henríquez****
*Se agradecen los valiosos comentarios de los evaluadores anónimos con los que la calidad del presente trabajo mejoró considerablemente. Los errores que persisten son plena responsabilidad de los autores
**PhD Agricultural Economics y Business, University of Guelph. Director del Centro de Investigación y Desarrollo en Agronegocios, departamento de Gestión Empresarial, Facultad de Ciencias Empresariales, Universidad del Bío-Bío. Correo electornico: jcabas@ubiobio.com
***M.Sc. Planificación y Desarrollo Rural, University of Guelph. Licenciada en Historia y Geografía, Universidad de Concepción. Profesional del Centro de Investigación y Desarrollo en Agronegocios. Departamento de Gestión Empresarial, Facultad de Ciencias Empresariales, Universidad del Bío-Bío. Correo electrónico: rosana.vallejos@ubiobio.cl
****Licenciado en Ciencias de la Administración, Ingeniero Comercial. Profesional del Centro de Investigación y Desarrollo en Agronegocios, Departamento de Gestión Empresarial, Facultad de Ciencias Empresariales, Universidad del Bío-Bío. Correo electrónico: hectorgarridohenriquez@gmail.com
Recibido: 2014-07-04 Aprobado: 2015-02-16 Disponible en línea: 2015-15-03
Cómo citar este artículo
Cabas, J., Vallejos, R., & Garrido, H. (2015). Reconfiguración de la pobreza en Chile: un análisis comparativo entre los espacios rurales y urbanos. Cuadernos de Desarrollo Rural, 12(75), 99-122. http://dx.doi.org/10.11144/Javeriana.cdri2-75.rpca
Resumen
Chile ha reducido de manera acelerada sus niveles de pobreza, especialmente en áreas rurales, y los cambios experimentados han dado paso a una nueva ruralidad. Este estudio permite cuantificar la importancia de los cambios estructurales acaecidos sobre las áreas rurales y urbanas para el periodo comprendido entre los años 2000 y 2011. Los resultados de esta investigación advierten un cambio profundo en la interacción de los hogares rurales con su entorno.
Palabras clave: pobreza; vinculación urbano-rural; descomposición Oaxaca-Blinder
Abstract
Chile has reduced its poverty levels at an increasingly fast rate, especially in rural areas, and the changes that have taken place have given way to a new rurality. This study allows us to quantify the importance of the structural changes that have happened on rural and urban areas during the period between years 2000 and 2011. The results of this research show a deep change in the interaction of rural homes with their environment.
Keywords: poverty; urban-rural link; Oaxaca-Blinder decomposition
Résumé
Chili a réduit d'une manière accélérée ses niveaux de pauvreté, notamment dans les espaces rurales et les changements expérimentés ont donné la voie à une nouvelle ruralité. Cette étude permet de quantifier l'importance des changements structuraux arrivés dans les espaces rurales et urbaines pour la période comprise entre les années 2000 et 2011. Les résultats de cette recherche remarquent un changement profond dans l'interaction des maisons rurales avec leur entourage.
Mots-clés: pauvreté; lien urbain-rural; décomposition Oaxaca-Blinder
Resumo
Chile reduziu de maneira acelerada seus níveis de pobreza, especialmente nas áreas rurais, e as mudanças experimentadas já deram passo para uma nova ruralidade. Este estudo permite quantificar a importância das mudanças estruturais acontecidas nas áreas rurais e urbanas pelo período compreendido entre os anos 2000 e 20111 Os resultados desta pesquisa advertem uma mudança profunda na interação das famílias rurais com seus entornos.
Palavras-chave: Pobreza; vinculação urbano-rural; decomposição Oaxaca-Blinder
Introducción
El caso de Chile es un ejemplo exitoso en materia de reducción de la pobreza en el plano rural, donde la incidencia pasó de 23.7% en el año 2000 a 10.8% en 2011 (Ministerio de Desarrollo Social). Esta cifra es particularmente baja al compararse con otros países de la región como Perú, México y Guatemala, los cuales tienen tasas de pobreza rural de un orden de 53%, 63.6% y 71.4%, respectivamente1(World Bank, 2014). Sin embargo, más allá de celebrar resultados, es importante comprender las dinámicas de cambio en los ámbitos económico, institucional, social y cultural que dieron pie a estos resultados, y de esta manera seguir avanzando en la ardua tarea de reducir la pobreza y el hambre.

En los años recientes se ha realizado un intenso trabajo teórico para construir el concepto de nueva ruralidad. La nueva ruralidad, entendida en un sentido amplio, implica la relación con cuatro grandes transformaciones del espacio rural: la mayor importancia del empleo no agrícola; la creciente incorporación de la mujer a la estructura productiva del campo; mayor interacción entre los espacios urbanos y rurales; y la importancia de la migración temporal, pendular y definitiva (Kay, 2009).
La nueva ruralidad se constituye en un enfoque o reconceptualización de la ruralidad y de las transformaciones que ha experimentado en las últimas décadas, y en esta confluyen los aportes de la sociología rural y la economía agraria; de esta manera se genera un marco conceptual coherente para entender la relación entre la actividad productiva y el comportamiento social de los pobladores rurales (Pérez, 2005). Este proceso de cambio implica que se vuelva más difícil cada vez mantener una visión dicotómica entre los espacios rurales y urbanos, pues la interdependencia entre ambos ha tendido a incrementarse (Llambí y Pérez, 2011). Los territorios urbanos y rurales interactúan a partir de diversas dimensiones funcionales, tales como: vínculos demográficos; transacciones económicas y actividad de innovación; provisión de bienes públicos; intercambio de comodidades y bienes medioambientales; y multi-interacciones de gobernanza (OECD, 2013).
De esta forma resulta de interés preguntarse: ¿Cómo ha afectado ese proceso a la reducción de la pobreza? Al respecto Pérez (2005) señala que la nueva ruralidad trae consigo distintos procesos de exclusión, como la concentración de la tenencia de la tierra y la dependencia de la exportación de bienes primarios, entre otros. Este trabajo pretende entregar nueva evidencia en esta dirección, a partir de la comparación del cambio en las características de los hogares chilenos, tanto en el área rural como la urbana y cómo tales características determinan la probabilidad de estos de ser pobres.
Aproximaciones conceptuales y enfoques sobre pobreza
La pobreza es un fenómeno complejo de abordar debido a que no existe una sola manera de entenderlo; a grandes rasgos, una primera división la considera como un fenómeno exclusivamente referente a los ingresos/gastos, lo que se entiende como pobreza unidimensional; o si bien se explicitan criterios adicionales, es decir, como un fenómeno multidimensional.
En Chile, el ente encargado de medir la pobreza es el Ministerio de Desarrollo Social, que utiliza una línea de pobreza absoluta: el ingreso mensual de aproximadamente US$ 128.55 en la zona urbana y US$ 114.35 en la zona rural (a 2011). Este método no está exento de críticas, pues tiene serias dificultades debido a que está desactualizado, por ejemplo, no considera los cambios en las recomendaciones nutricionales de organismos internacionales debido al mayor sedentarismo de los chilenos, ni los cambios en la estructura presupuestaria de los hogares, que gastan cada vez más en necesidades no alimentarias, y tampoco actualiza los nuevos satisfactores para las mismas necesidades desde hace más de veinte años (Larraín, 2008).
La pobreza y la desigualdad son conceptos íntimamente relacionados, pues los individuos bajo la línea de pobreza corresponden también a aquellos en la parte más baja de la distribución del ingreso (Larrañaga y Herrera, 2008). También existe la denominada línea de la pobreza relativa, que se define como un híbrido entre pobreza y desigualdad, y establece un umbral en función de la distribución general del ingreso (Foster, 1998; Lyte y Maître, 2001). No obstante, este enfoque tampoco está exento de críticas pues una caída del ingreso de la parte más alta de la distribución implicaría una mejora en el bienestar de los más pobres, de acuerdo con esta metodología, lo que no necesariamente es cierto (Spicker, 2009).
La pobreza también puede ser entendida como exclusión en sí misma o bien como un componente de esta. Desde el primer enfoque, se consideran pobres aquellos individuos excluidos de participar de una vida social normal (Spicker, 2009). Desde el segundo, se entiende a la pobreza como un elemento inserto dentro de la exclusión, que incluye además de la pobreza de ingresos, el acceso a servicios sociales, recursos productivos, acceso al mercado laboral, justicia y participación política (Buvinic en Pérez, 2005). De lo anterior se desprende el hecho de considerar la pobreza como un fenómeno multidimensional.
La política social de Chile
Chile ha combinado exitosamente dos tipos de políticas en la lucha contra la pobreza: la focalización de transferencias en efectivo para los grupos más vulnerables de la población, así como también la ampliación del acceso a bienes públicos. A partir de los años ochenta se comenzó la utilización de la denominada ficha CAS (Caracterización Social), la cual buscaba identificar a los individuos más carentes en términos de necesidades básicas de la sociedad. A este instrumento debía postularse cada individuo que deseara participar de la red de programas de seguridad social del Estado (Agostini y Brown, 2011).
A raíz de una serie de críticas, principalmente referidas a un mal diseño de incentivos, esta derivó en la actual ficha de protección social, que en lugar de poner énfasis en las carencias materiales de los individuos lo hace más bien en su capacidad generadora de ingresos; por tanto, tiene un enfoque orientado a la vulnerabilidad. En el gobierno de Ricardo Lagos y por recomendación de una mesa transversal de expertos, se creó el programa Chile Solidario, orientado a reducir la pobreza extrema o indigencia. Este programa combina el uso de transferencias monetarias con ayuda psicosocial, capacitación y asistencia personalizada, para dotar de capacidades permanentes a las familias con el fin de que puedan superar la pobreza y además no volver a caer en esta (Larrañaga y Contreras, 2010).

Pese a que en la actualidad se desarrollan una serie de programas complejos y coordinados por diferentes instituciones del Estado, el uso de subsidios sigue formando parte importante de la política social de Chile. Así, por ejemplo, si se hiciese un ejercicio de microsimulación y se quitaran todos los subsidios monetarios, en la zona rural la pobreza aumentaría para el año 2000 en un orden de 3.8%; ahora, si se realizara este mismo ejercicio para el año 2011, el impacto sería aún mayor, de un orden de 8.2%.
En el plano urbano, los efectos de las transferencias en efectivo son más moderados: de 1.2% para el año 2000 y de 3.31% en 2011. Lo anterior, está en plena sintonía con lo señalado por Agostini y Brown (2011), quienes afirman que la política de subsidios ha sido más efectiva en la zona rural. No obstante, los mismos autores son enérgicos en afirmar que hay que leer los resultados con mesura, pues de acuerdo con sus cálculos, existe una gran heterogeneidad en los resultados a lo largo del país, pues a escala comunal el impacto oscila entre 5.1% y 67.8%. Otro aspecto a tener en consideración es, como señalan Larrañaga y Herrera (2008), que esta política no es la panacea, pues eventualmente el aumento de subsidios puede disminuir los ingresos autónomos vía desincentivo a la participación laboral.
Nueva ruralidad y pobreza
En la mayoría de los países latinoamericanos el criterio para diferenciar entre zonas rurales y urbanas atiende a un único criterio, la población. En Chile, se define un área rural como un asentamiento humano con menos de 1000 habitantes, o entre 1001 y 2000 habitantes, de los cuales menos de 50% se dedique a actividades secundarias o terciarias (INE, 1993) . No obstante, cada vez son más las voces según las cuales una postura dicotómica esconde la diversidad y los profundos cambios demográficos y socioeconómicos de la zona rural (Ravallion, Chen y Sangraula, 2007; Berdegué et. ál., 2010; Christiaensen, De Weerdt y Todo, 2013).
Para entender entonces las diferencias entre la incidencia de la pobreza en la población urbana y rural, es fundamental considerar transformaciones que han acaecido en ambas. Durante mucho tiempo se consideró al desarrollo como sinónimo de industrialización (Pérez, 2001), y esto ha llevado a las economías a especializarse en torno a los servicios y la manufactura, lo que ha devenido en una mayor urbanización de la población mundial (Christiaensen y Todo, 2013; Ravallion et. ál., 2007). En este escenario, analizar lo que sucede a partir de estas transformaciones sobre las zonas rurales es importante para entender el impacto en su población. Christiaensen et. ál. (2013) identifican tres canales mediante los cuales la pobreza se ve afectada debido al creciente fenómeno de urbanización: las economías de aglomeración, las externalidades urbanas y el empleo no rural.
La aglomeración crea distritos industriales en los que un número razonable de empresas se agrupan en torno a un determinado rubro o actividad, por tanto, generan encadenamientos productivos, que a su vez originan economías de escala externas a las empresas pero inherentes al territorio (Schejtman y Berdegué, 2003). Esta aglomeración incentiva la concentración de la población en grandes ciudades urbanas, debido a la especialización en tareas relacionadas con la manufactura y los servicios (Haggblade, Hazell y Reardon, 2010). Esto causa que actividades de menor complejidad sean suplidas por individuos de ciudades aledañas que migran hacia estos grandes centros urbanos (Ravallion et. al., 2007).
Este proceso de concentración urbana ha recibido críticas: algunos reclaman que la concentración urbana tiene externalidades negativas sobre la concentración geográfica de la pobreza. Por ejemplo, si la migración pone presión sobre la pobreza urbana, entonces no habrá remesas ni ganancias en términos de empleabilidad para los migrantes desde la zona rural, además puede significar que los migrantes a áreas urbanas no pueden retornar con facilidad al área rural y por tanto recuperar su anterior estándar de vida (Ravallion et. al., 2007).
Por otro lado, es necesario tener en consideración que en los últimos cuarenta años, Chile, al igual que la mayoría de los países iberoamericanos, ha vivido un proceso migratorio acelerado. En algunas comunas rurales este proceso ha significado la disminución de más de 40% de la población en solo una década, lo que ha disminuido la densidad de población en algunas zonas rurales hasta niveles críticos (Miranda y Oyarzún, 2011).
En contraste, una mayor especialización de la economía no necesariamente deriva en la concentración en grandes urbes, pues también existen las llamadas ciudades secundarias, que suplen bienes y servicios a las zonas rurales. La cercanía geográfica entre estas y la zona rural produce empleos no rurales de baja especialización, a los que acceden con mayor facilidad trabajadores rurales menos calificados, si bien tanto en Chile como en el resto de Latinoamérica la brecha educativa ha disminuido entre las zonas rurales y urbanas, aún se mantiene una brecha en la calidad (Pacheco y Guevara, 1999). Por tanto, el empleo no agrícola también implica un mayor flujo de remesas urbano-rurales, una mayor demanda por bienes de consumo agrícola, además de facilitar en ciertos casos la migración circular, lo que dinamiza la propia economía rural (Christiaensen et. ál., 2013; Christiaensen y Todo, 2013).
En esta línea, Christiaensen y Todo (2013) afirman que si bien los salarios en las ciudades secundarias por lo general son menores a los de las grandes urbes, estas tienen tasas de desempleo más bajas, por lo que se acelera la tasa de reducción de la pobreza. El crecimiento económico tiende a acelerarse debido a la concentración urbana contrario a lo que sucede en las ciudades secundarias, que tienen tasas de crecimiento más moderadas, pero con configuraciones más igualitarias (Ravallion et. ál., 2007). Así, se estaría en presencia de un trade off entre crecimiento y equidad.
Otros trabajos hacen referencia a la transformación de la actividad agrícola, que ha sufrido fuertes cambios, principalmente debido a políticas macroeconómicas, como la baja de aranceles y un tipo de cambio flotante, lo que ha permitido ampliar de modo considerable la base exportadora del país (Daher, 1992; Miranda y Oyarzún, 2011). Por ejemplo, Fleming, Abler, y Goetz (2010) analizan la apertura de la actividad agrícola al comercio internacional, que ha registrado fuertes transformaciones, e identifican cuatro canales a partir de los cuales esta puede beneficiar a individuos de menores recursos y por ende mejorar su nivel de vida en términos materiales: i) el crecimiento económico y la estabilidad: el crecimiento económico de la zonas rurales repercute en la economía local por lo que genera nuevas oportunidades asociadas con un mayor poder adquisitivo de sus habitantes, lo que estimula el desarrollo de otras actividades productivas para suplir una mayor demanda por bienes y servicios; ii) salarios y nuevos empleos: los efectos del comercio afectan los salarios y las oportunidades de empleo, en especial, para trabajadores menos calificados; iii) los hogares y los mercados: el comercio afecta los precios pagados o recibidos por los hogares, y crea o destruye mercados importantes para los hogares pobres; y iv) vía efectos sobre los ingresos del Gobierno y los programas de gasto que benefician a los pobres.
Otros autores cuestionan este proceso de transformación de la economía rural, donde conviven las empresas transnacionales, los productores tradicionales y aquellos que perseveran en la agricultura de subsistencia (Pacheco y Guevara, 1999); en estos casos, predominan las primeras, por medio de la agricultura de contrato y el acceso a nueva tecnología y exportaciones con alto valor agregado, lo que ha afectado a los pequeños agricultores, en particular, pobres, lo que provoca o aumenta la desigualdad preexistente, sobre todo, en el acceso a la tierra (Fawaz, 2007; Miranda y Oyarzún, 2011) .
Metodología
Para caracterizar la pobreza en Chile se utilizan sendos modelos logit para el área urbana y rural, cuya variable dependiente es la probabilidad del individuo de caer en situación de pobreza2, interpretada como un indicador de vulnerabilidad estructural; esta se explica a partir de características del hogar en dimensiones tales como el capital humano y estructura familiar, entre otras.
Aunque es necesario precisar que en la encuesta CASEN existen tres tipos diferentes de ingresos: Autónomos, Monetarios y Totales. Siendo el ingreso total la suma de los ingresos autónomos, subsidios del Estado y Alquiler Imputado para individuos con vivienda propia. Se ha tomado como decisión metodológica excluir los subsidios del estado, pues el gasto público no necesariamente sigue al ciclo económico y por tanto, la focalización de recursos puede esconder en cierta medida la verdadera vulnerabilidad de las familias.
Modelos probabilísticos de pobreza se han utilizado ampliamente en la literatura de América Latina (Rodriguez y Smith, 1994; López-Calva, 2004), así como también, algunos trabajos de similares características en Chile (Teitelboim, 2006; De la Fuente y Farías, 2007; Olavarria-Gambi, 2009). Estos últimos, al igual que el presente estudio, utilizan la Encuesta de Caracterización Socio-Económica Nacional (Casen), como fuente secundaria de información; sin embargo, a diferencia de este trabajo, no consideran de manera explícita el carácter complejo del diseño de la muestra, por lo que los modelos econométricos que desarrollan pueden subestimar el verdadero error estándar de los estimadores, lo que puede llevar a aceptar hipótesis que carecen de suficiente evidencia estadística (Heeringa, West y Berglund, 2010).
Variables
Para construir los modelos a partir de los cuales se evalúa la variación de la pobreza entre ambos períodos, se utilizan variables asociadas tanto con características del hogar como con características particulares del jefe de hogar, las cuales se listan a continuación:

Descomposición de Oaxaca-Blinder para modelos no lineales
En diversos trabajos de economía aplicada se ha utilizado la descomposición propuesta por Blinder (1973) y Oaxaca (1973), que consiste en descomponer las diferencias entre dos modelos econométricos a partir de un componente explicado por las diferencias en las características de los individuos y un componente obtenido a partir de las diferencias en los coeficientes o componente no explicado, el cual suele atribuirse al impacto de los cambios estructurales de la economía y la sociedad. La limitación de esta metodología consiste en que, en principio, fue desarrollada para modelos lineales en los parámetros; no obstante, en la actualidad han surgido diversos trabajos que generalizan esta metodología y extienden su aplicación a una amplia gama de modelos no lineales (Yun, 2004; Fairlie, 2005; Bauer y Sinning, 2008). Estos nuevos desarrollos han sido utilizados recientemente para caracterizar brechas de pobreza entre diferentes grupos humanos, sobre todo, referidas a diferentes tipos de discriminación (Gang, Sen, y Yun, 2008; Gradín, 2012).
En primer lugar, se aproxima la incidencia de la pobreza para cada grupo en diferentes momentos, en este caso año 2000 y 2011, a partir de la media de la probabilidad condicional calculada, obtenida a partir de un modelo de variable dicotómica, como se puede apreciar en la ecuación I:

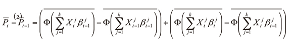
Así también, se puede reexpresar la ecuación a partir del intercambio entre coeficientes y variables entre ambos modelos, de manera tal de evaluar la diferencia si se aplican los coeficientes de cada modelo de manera cruzada entre periodos, como se observa en la ecuación 2:

Asimismo, resulta de interés conocer cuánto aporta cada variable para explicar estas diferencias, por lo que la ecuación 2 se puede presentar a partir de una suma ponderada tanto para el caso de las variables como los coeficientes, tal cual aparece en la ecuación 3:

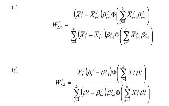
Para determinar el peso relativo de cada variable (coeficiente) es necesario utilizar una expansión de Taylor de primer orden a partir de un modelo que aproxima el valor de la diferencia inicial, con lo que se obtienen los respectivos ponderadores, tal como se aprecia en las ecuaciones 4 y 5:

Resultados
Los resultados en materia educacional son consistentes con la teoría del capital humano, según la cual la inversión en educación tendrá un efecto positivo sobre las habilidades del individuo y, por tanto, lo hará más productivo (lo que deriva en un beneficio individual mediante mejores remuneraciones) (Bonal, 2007).
De esta forma, hogares con individuos más educados tendrán una menor propensión a caer en situación de pobreza. Lo que es consistente al considerar tanto la escolaridad del jefe de hogar como su cónyuge, además de constatar que esa variable tiene un mayor impacto sobre los hogares de la zona urbana que sobre la rural. Al analizar la elasticidad de estas variables se constata que una desviación infinitesimal respecto de la media de hogares rurales genera cambios más que proporcionales en el caso del jefe de hogar, mientras que el efecto es menos que proporcional en el caso de los/las cónyuges.

Siguiendo a Cowan y Micco (2005), se consideró la condición laboral del jefe de hogar. El impacto del empleo de este sobre la probabilidad de caer en pobreza del hogar tiene el signo esperado, además de constatarse que este tiene una influencia mayor que la condición laboral de su cónyuge, debido a que a pesar de que pueda existir una sustitución de los ingresos familiares en razón de la búsqueda de empleo de otros miembros del núcleo familiar, articularmente del/la cónyuge, esta no compensa tal detrimento.
Además se puede observar que mientras en la zona urbana esta influencia cayó durante el período de análisis, en la zona rural tendió a aumentar. Esto último puede estar en sintonía con mejoras salariales u otros factores asociados con productividad. Por otro lado, también se consideró el número de individuos en edad económicamente activa que no trabajan, los cuales tienen un relación positiva con la incidencia de la pobreza (Cecchini y Uthoff, 2008), y en la misma senda de lo anterior han disminuido su influencia para el período de análisis en la zona urbana; llama bastante la atención que no haya tenido variaciones significativas en la zona rural a pesar de aumentar considerablemente su presencia en el mundo rural.
Además, se incluyó el género del jefe de hogar dentro de las variables de análisis, debido a que tanto en Chile como en América Latina se ha desarrollado un proceso denominado feminización de la pobreza, referido al aumento de la proporción de mujeres pobres o, más específicamente, de mujeres jefas de hogar pobres. A pesar de que para analizar este fenómeno existen varias limitaciones metodológicas como la relación jerárquica entre varones y mujeres, más allá de la jefatura femenina, dentro del hogar mismo (Aguilar, 2011), sí se consideraron otras variables que inciden en la incorporación de la mujer al mercado laboral, y por tanto, a los ingresos del hogar, como el número de niños menores y el número de adultos mayores en el hogar, debido a que, por lo general, se le atribuye a la mujer el cuidado de estos (Contreras, De Mello y Puentes, 2011).
De esta manera, se constata que al controlar los aspectos recién mencionados, el género del jefe de hogar tiene una influencia pequeña aunque significativa solo en la zona urbana en ambos periodos. Por otro lado, un mayor número de niños en el hogar, escolares como preescolares, mantienen una relación directa con la probabilidad de caer en pobreza del hogar lo que viene a reafirmar la hipótesis anterior.
Históricamente en Chile se ha demostrado que la pobreza se manifiesta con particular intensidad entre los grupos indígenas. A pesar de que la encuesta Casen no es plenamente representativa de la población indígena como plantean Agostini, Brown y Roman (2010), los resultados de esta investigación reafirman esa hipótesis, pues da cuenta de una relación directa entre la condición étnica del jefe de hogar y la pobreza, significativa en la zona rural para ambos periodos.
Se utilizó además el número de núcleos familiares al interior del hogar, esto último es una buena proxy para el número de integrantes del hogar, y además asegura existencia de más de un jefe nuclear, por lo que se espera pobreza disminuya (Ullmann, Valera y Rico, 2010). De esta manera una mayor edad promedio del grupo familiar tendrá una relación negativa con la pobreza. Esta hipótesis se corrobora a partir de los datos para ambos periodos y en ambos periodos en ambos territorios. Una primera impresión podría apuntar a las jubilaciones, pero si se recuerda que se utilizaron ingresos autónomos, se podría asumir que esto se debe a que los individuos continuarían trabajando una vez cumplida la edad de jubilación, lo que ciertamente es preocupante. Mencionado con anterioridad, uno de los rasgos de la nueva ruralidad es la menor incidencia del trabajo agrícola, especialmente de pequeños propietarios; una manera de detectar si este ha disminuido, es utilizar el consumo de productos agrícolas propios o autoconsumo. Como es de esperar esa variable no fue significativa para ambos periodos en la zona urbana, mientras que en la zona rural sí lo fue, aunque su menor incidencia ha generado mayor pobreza.
Al realizar el ejercicio de descomposición se puede constatar cómo la incidencia a nivel de hogares de la pobreza es de 17.13)% en la zona urbana al año 2000, mientras que de 15.85% en 2011. Lo que implica una reducción bastante pequeña, por decirlo de alguna manera. No obstante, es necesario notar que se han contrapuesto dos fuerzas para generar este resultado, por un lado, considerando las características de los individuos solamente, es decir, de mantenerse la estructura del mercado y las interacciones sociales de 2000, la pobreza caería en torno a 5.15%, a pesar de que tales cambios del entorno contrarrestan las mejoras en dotaciones de los individuos y aumentan la pobreza en 3.87%.
De las variables cuyas variaciones disminuyen con mayor fuerza la pobreza se puede nombrar a la Edad, Escolaridad y Empleo del jefe de hogar, que explican por sí solas la reducción de un orden de 5.5%, pero que son compensadas por el efecto de un número menor de núcleos compartiendo una vivienda. Esto puede ir en la dirección de la disminución del allegamiento familiar, por lo que no necesariamente son malas noticias. En cuanto a la interacción de estas dotaciones con el entorno, es de destacar el deterioro del retorno de la educación como elemento reductor de la pobreza, así como también una mayor feminización de la pobreza y un efecto adverso hacia los hogares que se identifican con pueblos originarios.

En la zona rural existe un efecto similar, pues la pobreza pasa desde un 22.97% de los hogares a 17.49%, lo que ciertamente es una cifra bastante superior. De ahí que el efecto de los cambios en las características de los hogares expliquen 6.74% de reducción de la pobreza, mientras que la interacción de estas características con el entorno empeoran en un orden de 1.25%. Las variables que destacan en esta zona como poderosas herramientas contra la pobreza son la edad, el género, la escolaridad y la condición de actividad del jefe de hogar. Todas ellas con un efecto positivo, lo que por cierto llama la atención de este resultado es la influencia del género, pero no es de extrañarse, pues una de las transformaciones en el conjunto denominado nueva ruralidad es la mayor participación laboral de la mujer, que se ha incorporado con mayor fuerza al mercado laboral y aprovechado una mayor flexibilidad. En lo que hay que tener cautela, sin embargo, es en la fecha de levantamiento de los datos, que se corresponde con la mayoría de las fechas de cosecha del país, por lo que el trabajo esporádico3 o temporal puede explicar este fenómeno.
Conclusiones
De acuerdo con el análisis realizado, cabe destacar varios aspectos: Chile está en sintonía con un proceso global de transformación profunda de su economía en los últimos años. Desde ese punto de vista, existen al menos tres claras tendencias: i) la concentración urbana ii) una mayor apertura comercial que, en términos generales, han permitido tener una senda constante de crecimiento económico y iii) una efectiva política social basada en la focalización y el mejoramiento de las capacidades de los individuos vulnerables, que se ha visto reflejado en una notable reducción de la pobreza.
Al realizar un análisis por separado de la zona rural y urbana, a partir de características de los hogares, se evidencia que existe una parte importante de la reducción de la pobreza, una vez descontado el efecto de los subsidios que se explica más por cambios demográficos al interior de los hogares. Así también se constata que a pesar de que estos cambios han sido, en general, positivos en ambos territorios, las respuestas a estas características se han deteriorado. Inevitablemente esto plantea el desafío de responder el porqué ese deterioro en ambos territorios. Ciertamente, una de las posibles explicaciones tiene que ver con el proceso de transformación del territorio rural que muchos autores denominan nueva ruralidad, el cual, aparentemente, tiene luces y sombras.
Pie de página
1Esto de acuerdo a las medidas oficiales de cada país.
2Utilizando la metodología vigente al ano 2011. Recientemente los criterios para considerar a un individuo pobre han cambiado considerablemente
3Se intento incorporar dicha variable al modelo, pero generó problemas de multicolinealidad lo que hizo al modelo inestimable.
Referencias
Agostini, C., Brown, P. y Roman, A. (2010). Poverty and Inequality among Ethnic Groups en Chile. World Development, 38(7), 1036-1046. [ Links ]
Agostini, C. y Brown, P. (2011). Cash Transfers and Poverty Reduction in Chile. Journal of Regional Science, 51(3), 604-625. [ Links ]
Aguilar, P. (2011). La feminización de la pobreza: conceptualizaciones actuales y potencialidades analíticas. Revista Katálysis, 14(1), 126-133. Recuperado el 21 de mayo de 2014 de http://www.scielo.br/pdf/rk/v14n1/v14n1a14.pdf [ Links ]
Bauer, T. y Sinning, M. (2008). An Extension of the Blinder-Oaxaca Decomposition to Nonlinear Models. AStA Advances en Statistical Analysis, 92(2), 197-206. [ Links ]
Berdegué, J., Jara, E., Modrego, F., Sanclemente, X. y Schejtman, A. (2010). Comunas rurales de Chile (Documento de Trabajo, 60). Recuperado el 12 de abril del 2014, de http://fundacionpobreza.cl/biblioteca-archivos/comunas-rurales-chile.pdf [ Links ]
Blinder, A. (1973). Wage Discrimination: Reduced Form and Structural Estimates. Journal ofHuman Resources, 8(4), 436-455. Recuperado el 25 de abril de 2014, de http://www.jstor.org/stable/144855 [ Links ]
Bonal, X. (2007). On Global Absences: Reflections on the Failings in the Education and Poverty Relationship in Latin America. International Journal of Educational Development, 27(1), 86-100. [ Links ]
Cecchini, S. y Uthoff, A. (2008). Pobreza y empleo en América Latina: 1990-2005. Revista de la Cepal, 16(94), 43-58. Recuperado el 25 de abril del 2014 de
http://dialnet.unirioja.es/servlet/articulo?odigo=2581038yorden=155761yinfo=link [ Links ]
Christiaensen, L., De Weerdt, J. y Todo, Y (2013). Urbanization and Poverty Reduction: the Role of Rural Diversification and Secondary Towns. Agricultural Economics, 44(4-5), 435-447. [ Links ]
Christiaensen, L. y Todo, Y (2013). Poverty Reduction during the Rural-Urban Transformation - The Role of the Missing Middle. World Development, 63, 43-58. [ Links ]
Contreras, D., De Mello, L. y Puentes, E. (2011). The Determinants of Labour Force Participation and Employment en Chile. Applied Economics, 43(21), 2765-2776. [ Links ]
Cowan, K. y Micco, A. (2005). El seguro de desempleo en Chile: Reformas pendientes. En Foco, (53), 1-19. Recuperado el 4 de junio de 2014, de http://www2.expansiva.cl/media/en_foco/documentos/29062005121724.pdf [ Links ]
Daher, A. (1992). Ajuste económico y ajuste territorial en Chile. EURE, 18(54), 5-13. [ Links ]
De la Fuente, H. y Farías, J. (2007). Caracterización de los hogares bajo la línea de pobreza en un contexto regional: un análisis econométrico para la Séptima Región del Maule, Chile. Política Criminal, 2(4), 1-19. [ Links ]
Fairlie, R. (2005). An Extension of the Blinder-Oaxaca Decomposition Technique to Logit and Probit Models. Journal of Economic and Social Measurement, 30(4), 305-316. Recuperado el 15 de mayo, de http://iospress.metapress.com/index/E1GQMW31W5D4ENKA.pdf [ Links ]
Fawaz, J. (2007). Globalización, reestructuración productiva y "nuevas" estrategias de los pequeños productores agrícolas de la provincia de Nuble, región del Bío,Chile. Cuadernos de Desarrollo Rural, 4(59), 11-36. Recuperado el 22 de abril de 2014, de http://revistas.javeriana.edu.co/index.php/desarrollorural/article/view/1214 [ Links ]
Fleming, D., Abler, D. y Goetz, S. (2010). Agricultural Trade and Poverty en Chile: a Spatial Analysis of Product Tradability. Agricultural Economics, 41(6), 545-553. [ Links ]
Foster, J. (1998). Absolute versus Relative Poverty. The American Economic Review, 88(2), 335-341. Recuperado el 24 de mayo de 2014, de http://www.jstor.org/stable/116944 [ Links ]
Gang, I., Sen, K. y Yun, M. (2008). Poverty in Rural India: Caste and Tribe. Review of Income and Wealth, 54(1), 50-70. [ Links ]
Gradín, C. (2012). Poverty among Minorities in the United States: Explaining the Racial Poverty Gap for Blacks and Latinos. Applied Economics, 44(29), 3793-3804. Recuperado el 21 de mayo de 2014,de http://www.tandfonline.com/doi/abs/10.1080/00036846.2011.581219 [ Links ]
Green, M. (1988). Evaluating the Discriminatory Power of a Multiple Logistic Regression Model. Statistics in Medicine, 7(4), 519-24. Recuperado el 15 de mayo de 2014, de http://www.ncbi.nlm.nih.gov/pubmed/3368678 [ Links ]
Haggblade, S., Hazell, P. y Reardon, T. (2010). The Rural Non-Farm Economy: Prospects for Growth and Poverty Reduction. World Development, 38(10), 1429-1441. [ Links ]
Heeringa, S., West, B. y Berglund, P. (2010). Logistic Regression and Generalized Linear Models for Binary Survey Variables. En Applied Survey Data Analysis. Londres: CRC Press. [ Links ]
Hungerford, T. y Solon, G. (1987). Sheepskin Effects in the Returns to Education. The Review ofEconomics and Statistics, 69(1), 175-177. [ Links ]
Instituto Nacional de Estadísticas (1993). Resultados Generales Censo de Población y Vivienda Chile 1992. Santiago: Autor. Recuperado el 12 de mayo, de
http://www.ine.cl/canales/usuarios/cedoc_online/censos/pdf/censo_1992.pdf [ Links ]
Kay, C. (2009). Estudios rurales en América Latina en el periodo de globalización neoliberal: ¿Una nueva ruralidad? Revista Mexicana de Sociología, 71(4), 607-645. Recuperado el 14 de mayo de 2014, de http://www.scielo.org.mx/scielo.php?pid=S0188-2503200900040000iyscript=sci_arttextytlng=pt [ Links ]
Larraín, F. (2008). Cuatro millones de pobres en Chile: actualizando la línea de pobreza. Estudios Públicos, 29 (109), 101-148. Recuperado el 28 de abril, de http://www.cep.cl/dms/archivo_4125_2222/revista109_completa.pdf#page=99 [ Links ]
Larrañaga, O. y Herrera, R. (2008). Los recientes cambios en la desigualdad y la pobreza en Chile. Estudios Públicos, 29(109), 149-186. Recuperado el 18 de mayo, de
http://fundacionpobreza.cl/biblioteca-archivos/recientes_cambios_pobreza.pdf [ Links ]
Larrañaga, O. y Contreras, D. (2010). Chile Solidario y Combate a la Pobreza. (Serie Documentos de Trabajo, 1). [ Links ]
Larrañaga, O., Contreras, D. y Ruiz-Tagle, J. (2012). Impact Evaluation of Chile Solidario: Lessons and Policy Recommendations. Journal of Latin American Studies, 44(2), 347-372. Recuperado el 21 de mayo de 2014, de http://dx.doi.org/10.1017/S0022216X12000053 [ Links ]
Llambí, L. y Pérez, E. (2011). Nuevas ruralidades y viejos campesinismos. Agenda para una nueva sociología rural latinoamericana. Cuadernos de Desarrollo Rural,4(59), 37-62. Recuperado el 21 de mayo de 2014, de http://revistas.javeriana.edu.co/index.php/desarrolloRural/article/download/1215/709 [ Links ]
López-Calva, L. (2004). Macroeconomía y pobreza: lecciones desde Latinoamérica (pp. 1-55). En Serie Financiamiento del Desarrollo, (143). Recuperado el 20 de mayo, de http://www.cepal.org/en/node/21770 [ Links ]
Lyte, R. y Maître, B. (2001). Persistent and Consistent Poverty in the 1994 and 1995 Waves of the European Community Household Panel Survey. Review of Income and Wealth. Recuperado el 16 de mayo de 2014, de http://onlinelibrary.wiley.com/doi/10.1111/1475-4991.00028/full [ Links ]
Ministerio de Desarrollo Social. Encuesta de Caracterización Socieconómica Nacional. Recuperado el 21 de mayo de 2014, de http://observatorio.ministeriodesarrollosocial.gob.cl/casen/casen_usuarios.php [ Links ]
Miranda, B. y Oyarzún, E. (2011). La economía rural en Chile: entre la pobreza y el desarrollo. Estudios de Economía Aplicada, 29(1), 31-56. Recuperado el 15 de mayo de 2014, de http://www.redalyc.org/resumen.oa?id=30120835002 [ Links ]
Oaxaca, R. (1973). Male-Female Wage Differentials in Urban Labor Markets. International Economic Review, 14(3), 693-709. Recuperado el 12 de marzo de 2014, de http://www.jstor.org/stable/2525981 [ Links ]
OECD. (2013). Understanding Rural-Urban Partnerships: Context and Definition in Rural-Urban Partnerships: an integrated Approach to Economic Development. Recuperado el 19 de junio de 2014, de http://dx.doi.org/10.1787/9789264204812-en [ Links ]
Olavarría-Gambi, M. (2009). Poverty and Social Programs en Chile. Journal of Poverty, 13(2), 99-129. [ Links ]
Pacheco, L. y Guevara, L. (1999). Nueva ruralidad y empleo. El reto de la educación de los jóvenes rurales en América Latina. Cuadernos de Desarrollo Rural, 21(43), 33-57. Recuperado el 21 de abril de 2014, de http://revistas.javeriana.edu.co/index.php/desarrollorural/article/view/2325 [ Links ]
Pérez, E. (2001). Hacia una nueva visión de lo rural. En ¿Una nueva ruralidad en América Latina? (17-30). Recuperado el 12 de marzo de 2014, de http://bvsde.org.ni/clacso/publicaciones/UnanuevaruralidadenAmericaLatina.pdf#page=12 [ Links ]
Pérez, E. (2005). Desafíos sociales de las transformaciones del mundo rural: nueva ruralidad y exclusión social. En Chile rural: Un desafío para el desarrollo humano (pp. 17-32). Santiago: PNUD. [ Links ]
Ravallion, M., Chen, S. y Sangraula, P. (2007). New Evidence on the Urbanization of Global Poverty. Population and Development Review, 33(4), 667-701. Recuperado el 25 de marzo, de http://onlinelibrary.wiley.com/doi/10.1111/j.1728-4457.2007.00193.x/abstract [ Links ]
Rodríguez, A. y Smith, S. (1994). A Comparison of Determinants of Urban, Rural and Farm Poverty en Costa Rica. World Development, 22(3), 381-397. Recuperado el 12 de marzo de 2014, de http://www.sciencedirect.com/science/article/pii/0305750X94901295 [ Links ]
Schejtman, A. y Berdegué, J. (2003). Desarrollo territorial rural. Santiago: Rimisp. Recuperado el 25 de marzo de 2014, de http://www.ibcperu.org/doc/isis/15070.pdf [ Links ]
Soubbotina, T. y Sheram, K. (2000). World population Growth. En Beyond economic growth: meeting the challenges of global development (16-21). Washington, D.C.: World Bank Publications. Recuperado el 12 de mayo de 2014, de http://hdl.handle.net/10986/15789 [ Links ]
Spicker, P. (2009). Definiciones de Pobreza: Doce grupos de significados. Pobreza: Un glosario internacional, 291-306. Recuperado el 9 de marzo de 2014, de http://biblioteca.clacso.edu.ar/ar/libros/clacso/crop/glosario/06spicker.pdf [ Links ]
Teitelboim, B. (2006). Factores concluyentes de la pobreza en base a un modelo logístico. Santiago: Universidad de Chile. [ Links ]
Ullmann, H., Valera, C. y Rico, M. (2010). La evolución de las estructuras familiares en América Latina, 1990-2010. Los retos de la pobreza, la vulnerabilidad y el cuidado (pp. 1990-2010). Recuperado el 12 de mayo de 2014, de http://repositorio.cepal.org/handle/11362/36717 [ Links ]
World Bank (2014). World Development Indicators. Recuperado el 7 de julio de 2014 de http://data.worldbank.org/indicator [ Links ]
Yun, M. (2004). Decomposing Differences in the First Moment. Economics Letters, 82(2), 275-280. [ Links ]












