Serviços Personalizados
Journal
Artigo
Indicadores
-
Citado por SciELO -
Acessos
Links relacionados
-
Citado por Google -
Similares em
SciELO -
Similares em Google
Compartilhar
Innovar
versão impressa ISSN 0121-5051
Innovar v.15 n.26 Bogotá jul./dez. 2005
Iván Hernández** y Marco Dueñas***
* Agradecemos de manera especial a Viviana Arenas su invaluable ayuda como asistente de investigación. Este estudio no hubiera podido realizarse, fundamentalmente en su primera etapa, sin la valiosa colaboración de Noel Carrero. También agradecemos a María Isabel Agudelo, Julio Miguel Silva, Jorge Tovar, José Daniel Muñoz y Jaime Lozano por sus interesantes comentarios. Igualmente a los ministerios de Medio Ambiente, Comercio, Cultura, Hacienda, y Minas y Energía, así como a la Presidencia de la República, al Banco de la República, al Departamento Nacional de Planeación (DNP), al Departamento Administrativo Nacional de Estadística (DANE) y al Departamento Administrativo de la Función Pública (DAFP) por el suministro de las bases de datos correspondientes. Las ideas aquí expresadas son de exclusiva responsabilidad de los autores y no comprometen a las entidades donde laboran.
** Economista, M.Sc. y Ph.D. en Economía. Profesor de la Escuela de Economía, Facultad de Ciencias Económicas, Universidad Nacional de Colombia. Correo electrónico: idhernandezu@unal.edu.co.
*** Físico. Profesor de la Pontificia Universidad Javeriana. Correo electrónico: maduenase@gmail.com
Resumen
Este artículo contribuye al debate académico sobre los relevos en los cargos de la administración pública central en Colombia. Los resultados muestran algunas entidades públicas con ausencia de mecanismos de selección de mercado que generen relevos en la composición de cargos. Sin embargo, en otras entidades de la administración pública se evidencia un fortalecimiento de los mecanismos de selección de mercado, reflejado en un impacto real de los cambios en la calidad educativa (universitaria en particular) sobre los cambios en la estructura de cargos.
Palabras clave:
Educación superior, administración pública, mercados laborales profesionales, movilidad y relevo laboral.
Abstract:
The paper contributes to the academic debate about the replacement in the post of central public administration level in Colombia. The results show an absence of market-like mechanisms for replacement in some public entities. Nevertheless, counter-evidence in other public entities shows the upsurge of market selection mechanisms, which is reflected in an actual impact of changes in education quality (the tertiary level) over changes in job structures.
Key Words:
Tertiary education, Public Administration, professional Laboral markets, mobility and laboral replacement.
Résumé
Cet article contribue au débat académique sur les remplacements dans les postes d´administration publique centrale en Colombie. Les résultats montrent que quelques administrations publiques n´ont aucun mécanisme de sélection de marché qui produisent des remplacements dans la composition des postes. Cependant, dans d´autres branches de l´administration publique un renforcement des mécanismes de sélection de marché est évident, qui se reflète dans un impact réel des changements de la qualité éducative (universitaire en particulier) sur le changement dans la structure des postes.
Mots clés:
Éducation supérieure, administration publique, marchés professionnels du travail, mobilité et remplacement de poste de travail.
Resumo:
Este artigo contribui ao debate acadêmico sobre a renovação nos cargos da administração pública central na Colômbia. Os resultados mostram algumas entidades públicas que não contam com mecanismos de seleção de mercado, os quais poderiam gerar uma renovação na composição de cargos. Contudo, em outras entidades da administração pública se evidencia um fortalecimento dos mecanismos de seleção de mercado, observado através de um impacto real das mudanças na qualidade educativa (universitária em particular) sobre as mudanças na estrutura de cargos.
Palavras-chave:
Educação superior, administração pública, mercados de trabalho profissionais, mobilidade e renovação laboral.
Introducción
La reciente investigación del académico francés François Serres sobre el duelo de poder entre egresados de la Universidad Javeriana y de la Universidad de los Andes dentro de la administración pública colombiana, colocó en el centro del debate los temas de educación y mercado laboral en el sector público y, en particular, la administración pública en Colombia (El Tiempo, 2005). Según los resultados de Serres (2005), en los últimos 15 años se ha presentado un relevo en el monopolio de la administración pública en el país. Dos de las universidades privadas más prestigiosas se han disputado los cargos más altos en los últimos 50 años dentro de la élite pública del país. Los egresados de la Universidad Javeriana surgieron como primer grupo en posicionarse desde los años cincuenta hasta finales de los años ochenta, y la Universidad de los Andes ha sucedido este proceso al consolidarse, especialmente desde los años noventa, como la nueva tecnocracia estatal. No obstante, como lo demuestra un reciente artículo de investigadores del BID (Panniza y Yáñez, 2004), entre 1996-2003 se ha presentado un creciente inconformismo en Latinoamérica por los magros resultados de las políticas de liberalización adoptadas y coordinadas en Colombia, entre otros, por el grupo de egresados de los Andes en la década de los noventa. Llama la atención que este tipo de estudios provienen de investigadores domésticos de las principales entidades promotoras de dichas ideas en Latinoamérica. De la misma forma, durante los tiempos del modelo de sustitución de importaciones de Latinoamérica, su principal entidad promotora, la CEPAL, hizo reiteradas advertencias sobre las caóticas estructuras arancelarias -como a su tiempo lo hizo Raúl Prebish (Toye, 2003; Amsden, 2004)-. En la actualidad, parece repetirse el mismo patrón de comportamiento, dado que los estudios más críticos de las políticas de liberalización provienen de insiders de las principales entidades promotoras (Stiglitz, 2003; Portes, 2004). No es incoherente plantear la hipótesis de un cambio o crisis en el modelo de liberalización hasta ahora imperante. Así como la crisis del modelo de sustitución de importaciones entre los ochenta y noventa llevó, entre otras razones (Misas, 2002), al relevo y consolidación en la administración pública por parte de los egresados de los Andes, principalmente en los noventa, no es irrazonable plantear un nuevo relevo en los 2000. A la luz de los hechos ocurridos en las últimas votaciones en Latinoamérica y en Colombia -casos brasilero y argentino y, a nivel local, caso del Distrito Capital y de gobernaciones como la del Valle-, el modelo de liberalización parece mostrar síntomas de crisis dentro de las posiciones de poder de algunos gobiernos nacionales y locales. El eventual relevo dentro de la administración pública en Colombia está además respaldado por el hecho de que una nueva generación de egresados de universidades alternativas[1] (Universidad Nacional, del Valle, de Antioquia, por ejemplo) obtuvo una mejor evaluación global a nivel nacional durante los últimos exámenes oficiales de Estado sobre la Calidad de la Educación Superior (ICFES, 2005a). Esta alta calidad de los egresados no sólo respaldaría y reforzaría dicho relevo, sino que implicaría la necesidad del mismo.
Sin embargo, la anterior descripción no deja de ser sino una hipótesis que requiere una aproximación rigurosa. Es decir, el nuevo relevo que eventualmente se podría avecinar en la administración pública nacional es una pregunta aún por explorar. ¿Existen o no unos indicios claros de que se está gestando un relevo en la administración pública? ¿Contamos con los mecanismos necesarios para proveer a nuestra tecnocracia estatal los más altos estándares de calidad (Rodrik y Subramanian, 2003)? O, por el contrario, ¿aún nos debatimos, como señala el académico francés François Serres, entre la meritocracia y el clientelismo? ¿Qué situación actual afronta y qué podemos esperar con la promulgación de la nueva Ley 909 de 2004 (23 de septiembre) con la cual se expiden normas que regulan el empleo público, la carrera administrativa y la gerencia pública? ¿Qué panorama podemos prever nos espera respecto a la administración pública central?
Esta investigación tiene como objetivo proporcionar una primera aproximación a estas preguntas. En la segunda sección se plantea el problema y se analizan los antecedentes. La tercera sección incluye un análisis histórico-estadístico y se elabora un modelo basado en las dinámicas de replicador para el mercado de trabajo de la administración pública. La cuarta parte presenta las conclusiones.
Planteamiento del problema y antecedentes
El debate de Public Choice (Buchanan et al., 1980) sobre el mercado de trabajo y la administración pública se ha centrado en los alcances y límites del Estado. El paradigmático punto que plantea esta literatura consiste en que el interés individual, así como gobierna el comportamiento de otros agentes en el sistema económico, también gobierna el de los agentes generadores de política económica. De este comportamiento individualista y egoísta se deriva la inevitabilidadde la falla del Gobierno y, consecuentemente, de su política. La preocupación detrás de las prescripciones del Consenso de Washington (FMI, Banco Mundial, BID) de contar con una tecnocracia eficiente y de alta calidad nació durante las décadas de los setenta y ochenta[2] cuando se gestó un cambio radical en el pensamiento convencional sobre los empleados públicos. Antes de los setenta, en la era en que preponderaba el keynesianismo, se asociaba comúnmente a los empleados públicos con los agentes, por excelencia, al servicio del bienestar social -de allí el título de servidores públicos-. Pero, con el advenimiento del pensamiento y crítica neoliberales, se encuentra inherente en el pensamiento actual una connotación negativa del comportamiento de los agentes de la administración pública, que promulga que cuando se delega en el Estado cierto de tipo de actividades, es muy factible que, debido a su abuso burocrático o a la influencia de grupos de interés políticamente poderosos, se corrompan sus fines ulteriores.
Desde esta perspectiva, el mercado es, en últimas, la mejor forma de servir a los intereses de la sociedad en cuanto la libertad ilimitada de competencia en el contexto del mercado lleva a las mejores condiciones sociales posibles y, por eso, cualquier intervención externa, llámese Estado y sus funcionarios públicos, limitaría el desarrollo natural de dichas libertades. En este orden de ideas, la intervención estatal, en la teoría económica actual, consiste en la interferencia de las actividades del Estado en las actividades de mercado. Así, cuando desde el punto de vista económico se habla de interferencia, se le está dando una connotación negativa, es decir, como algo no deseado para la economía y el mercado. Visto desde este enfoque, las actividades ejercidas por el mercado son incompatibles o van en contravía con las actividades de regulación ejercidas por el Estado (Hernández, Rodríguez y Moreno, 2004).
Este artículo pretende avanzar en el debate, al aportar una visión distinta desde la literatura de la economía evolucionista. A la luz de esta influyente corriente del pensamiento económico, el tema de la administración pública no se discute basado en la inevitabilidaddel comportamiento egoísta de los agentes dentro de la administración pública. El análisis, en cambio, se centra en la inevitabilidadde los procesos de aprendizaje a los que están sometidos los agentes de la administración pública en la generación de políticas públicas y su estrecho vínculo con el tema de la educación. Esto no quiere decir que se desconozca la (muy probable) naturaleza egoísta de los agentes que conforman la administración pública. En lo que se enfatiza es en que no es la única característica de estos agentes, ni, por cierto, de ningún otro agente en el sistema económico.
La necesidad diaria de los agentes diseñadores de las políticas públicas, así como de otros agentes en la economía, es aprender, la cual es un factor tan (o más) recurrente que las prácticas asociadas puramente con la corrupción administrativa o la asignación de cargos públicos como prebendas a cambio de votos o cuotas políticas. El análisis y el debate económico no se puede centrar únicamente en que todo (o la gran parte de) el tiempo de los agentes de la administración pública se dedica a este tipo de prácticas. Esto, aunque importante, parece ser un punto sobrevaluado en la discusión nacional e internacional (Becerra et al., 1993).
La generación de las políticas públicas en la administración pública se concentra, como veníamos diciendo, en el aprendizaje de los agentes de la administración pública, el cual se enmarca en un proceso evolutivo. Los tres mecanismos básicos que componen los procesos evolutivos son: la variedad, la herencia y la selección. Como se verá a continuación, el relevo en el mercado de trabajo de la administración pública es consecuencia de la dinámica e interfaz entre el primer y tercer mecanismo evolutivo, mientras que el componente educativo está más relacionado con el segundo mecanismo. A continuación se desarrolla la argumentación sobre estos tres mecanismos en el siguiente orden: variedad, herencia y selección.
Variedad: racionalidad, aprendizaje y heterogeneidad de agentes
Metcalfe (1995) aborda el tema de la administración pública como una organización que diseña y genera política pública, bajo un proceso de aprendizaje de los agentes que la conforman. Las normas constitucionales y legales preexistentes no sólo restringen sino que también facilitan el aprendizaje y la generación de políticas públicas de los agentes de la administración pública, quienes eventualmente podrían liderar un cambio innovador de dichas normas (Vanberg, 2005). La actual literatura económica vincula al análisis las restricciones de información y conocimiento que poseen los agentes del sistema económico (Simon, 1991). Los agentes que generan la política económica cuentan con asimetrías de información y de conocimiento, igual que otros agentes del sistema económico, lo cual significa que tienen diferentes habilidades para articular y adquirir conocimiento por medio del uso del lenguaje, de manera que permita ser entendido e interpretado por otros (Williamson, 1985). Los agentes diseñadores de la política pública recurren también, así como en otras organizaciones, a distintos medios de comunicación y de aprendizaje (por la práctica, por el uso, por la lectura, etc.). De esta manera, este tipo de dificultades -asociadas comúnmente con el término de racionalidad limitada- llevan a un proceso de adquisición de conocimiento, denominado en la literatura especializada como generación de conocimiento tácito (Polanyi, 1962 y 1967; Nelson y Winter, 1982).
La consecuencia connatural de un agente que posee una racionalidad limitada acerca de los hechos, medios, fines y posibles efectos genera distintas y variadas estructuras de conocimientos tácitos entre los agentes diseñadores de política económica, debido a sus diversos procesos de aprendizaje y experiencias. La economía evolucionista entiende que el proceso de aprendizaje colectivo está determinado dentro las organizaciones, incluida la administración pública, por la diversidad de estructuras de conocimientos de los agentes que la conforman en el transcurso del tiempo. Takeuchi y Nonaka (1995) indican que la combinación y acceso distinto, flexible y rápido a diferente conocimiento incrementa las posibilidades de lidiar con los complejos retos, cambios y contingencias que impone el entorno a las organizaciones. Es decir, a mayor variedad, mayor capacidad de la administración pública como organización para enfrentar, en el tiempo, los cambios y la evolución del entorno socioeconómico.
La diversidad de valores, conceptos, restricciones, contextos y grados de poder de los agentes son todos factores que regulan el proceso de generación de política. El proceso de aprendizaje de los agentes, a medida que se acumula nueva experiencia en el tiempo, modifica y reemplaza las anteriores políticas públicas, incluso las diseñadas por ellos mismos. Precisamente, Witt (2003) señala que durante los procesos de creación de política, el conocimiento que informa las acciones de los agentes que diseñan la política cambia a través de la experiencia y el aprendizaje.
Es por esto que el pluralismo de los puntos de vista y conocimientos dentro de la organización de la administración pública se entiende en términos dinámicos, no estáticos; es decir, no se trata simplemente de restringir a un límite máximo los cargos a los que un grupo social o político puede acceder dentro de una misma administración pública. Por el contrario, el proceso de aprendizaje requiere periodos de tiempo de consolidación de trabajo en grupo; esto es, el proceso de formación y cambio en las estructuras cognitivas de los individuos depende de un proceso social de aprendizaje que genere procesos y trayectorias de aprendizaje (UIT, 2000). Se trata de generar los mecanismos, como en el mercado de trabajo, para un relevo en los cargos públicos y, por ende, la renovación en el proceso de aprendizaje. Como veremos adelante, un relevo de cargos en la administración, por medio de los mecanismos de selección del mercado laboral, trae consigo una variedad nueva de conocimientos y diversidad de puntos de vista. Dichos relevos cumplen el papel esencial de retroalimentar, articular y coordinar nueva información y cambio de conocimiento de los diversos agentes (asesores, directivos, técnicos, asistentes, etc.). De esta manera, las políticas y su diseño están sometidas a un proceso de renovación que permite a la administración pública y a los agentes diseñadores de política económica aprender, cambiar y evolucionar.
Pero dada la incapacidad de lidiar con todo tipo de información y conocimientos -que aunque posiblemente pertinentes, imposibles de procesar todos-, los agentes tienen que ser selectivos en su aprendizaje (UIT, 2000). Alguna información capturará la atención, mientras otra será ignorada o descartada. A pesar de que siempre existe la posibilidad que en el proceso de aprendizaje surja nueva información, en el pasado ignorada, quizá uno de los más importantes determinantes de la estructura del conocimiento de un individuo es la educación.
Herencia: las organizaciones educativas
Las organizaciones educativas -como las universidades- proporcionan el mecanismo de herencia al sistema por medio de su entorno y cultura organizacionales. El entorno organizacional consiste en el ambiente social y físico en que los agentes, día a día, llevan a cabo sus labores (Amabile, Burnside y Grykiewicz, 1995). La cultura organizacional es comúnmente asociada con valores, creencias y expectativas compartidas entre los agentes dentro de un entorno organizacional (Jensen y Kiley, 2000). Estos factores compartidos son, por ejemplo en caso de la educación superior, programas curriculares, planta docente, grupos de investigación, personal administrativo, centros de consultoría, programas culturales y de extensión, entre muchos otros. Estos factores constituyen rutinas que le permiten a la universidad organizar una continuidad y regularidad en sus actividades de divulgación y generación de conocimiento.
Las rutinas implican compromiso con visiones, ideologías, y modelos teóricos y conceptuales que constituyen una inercia crucial para los egresados que suplen el sistema económico. Las instituciones de educación superior se preservan de presiones adaptativas que pueden, a largo plazo, destruir la variedad de visiones y experiencias que ofrecen las diversas instituciones educativas[3]. Las universidades mantienen, por medio de rutinas diferenciadas, una oferta educativa variada que suple con diversidad de conocimientos a la sociedad y a otras organizaciones, tal como la administración pública.
La literatura sobre educación enfatiza en el entorno, cultura y experiencias educativas como determinantes de la formación estructural del conocimiento de los individuos[4]. Sobre todo enfatiza en que, durante el proceso de aprendizaje en grupo, las estructuras mentales son transformadas. La educación constituye una herencia o pasado común, con experiencias comunes de colaboración, comunicación y coordinación entre agentes con modelos o estructuras cognitivas distintas, bajo un mismo entorno y cultura organizacionales. Las experiencias anteriores comunes dejan como precedente una trayectoria de aprendizaje que se extiende a ámbitos como la administración pública, lo cual permite una mejor comunicación, entendimiento y coherencia en la generación de política pública. Un pasado educativo con cultura y entornos similares contribuye al proceso de aprendizaje en la administración pública, creando una identidad y acuerdos entre agentes en su concepción y agenda de política. Jensen y Kiley (2000) señalan que esta identidad se presenta, no tanto por el contenido de los programas curriculares ni las habilidades de escritura y matemáticas, sino, principalmente, por las emociones, actitudes y experiencias. Estas experiencias determinan los mitos, dogmas, ideologías y teorías sobre los cuales las personas crean modelos mentales e ideologías (Denzau y North, 1994) y, sobre todo, moldean el aprendizaje que cambia las estructuras del conocimiento de los individuos.
Denzau y North (1994) señalan al respecto que: Individuos con experiencias y antecedentes culturales comunes van a compartir modelos mentales, ideologías, e instituciones razonablemente convergentes; e individuos con diferentes experiencias de aprendizaje ... tendrán distintas teorías (modelos, ideologías) para interpretar el entorno(p. 4).
La educación es así una especie de filtroo prismaque determina, de manera importante, qué tipo de información debe ser ignorada o descartada y cuál merece capturar nuestra atención durante el proceso de aprendizaje. Las estructuras mentales formadas durante la educación determinan las estructuras cognitivas e ideológicas compartidas entre agentes a través de procesos de comunicación, observación e identidad que permiten lidiar con la incertidumbre y complejos cambios del entorno. El pasado educativo proporciona así una acumulación de capital social y político determinante a la hora de conformar grupos de trabajo en el ámbito laboral (Borghans, Bruce y Weinberg, 2005).
En resumen, la interpretación que los individuos proporcionen de la realidad refleja no sólo sus propios procesos de aprendizaje sino también su pasado educativo. El diseño y la generación de política económica, de una u otra forma, estarán moldeados por dicha interpretación y experiencia de aprendizaje colectivo y de educación. La agenda de políticas por las que optan distintas administraciones públicas en el tiempo, refleja la diversidad de aprendizajes y educación que construyen los diversos caminos que se pueden elegir para alcanzar diferentes (incluso los mismos) objetivos (Nonaka y Toyama, 2005). La permanencia de una agenda o concepción de política está determinada por la herencia educativa, que consiste en un filtro común de percepción selectiva (donde se captura la atención en unos temas y se rechazan otros). Sin embargo, el siguiente mecanismo evolutivo, el mercado de trabajo, restituye y genera el relevo en los cargos públicos, el cual rompe con estos mecanismos de herencia y tradición.
Selección: el mercado laboral de la administración pública
Joseph Allois Schumpeter (1911) y Karl Polanyi (1944) proporcionan importantes bases para estudiar los mercados como mecanismos de selección y desarrollo, y contrastan con la visión más tradicional de mercado, como mecanismo útil para imponer un equilibrio en la asignación de recursos que satisfacen unos fines y necesidades. En su versión más convencional, Samuelson y Nordhaus (1997) definen el mercado como el mecanismo mediante el cual los productores y consumidores fijan el precio y las cantidades producidas de un bien. Clásicos como Jevons (1871), precursor del pensamiento ortodoxo convencional, define el mercado como cualquier grupo de personas conectadas entre sí por relaciones de negocios cercanas y que llevan a cabo extensivas transacciones de mercancías. Von Mises (1927) define el mercado, no como un lugar, cosa, ni entidad colectiva, sino como un proceso puesto en marcha por la interacción de las acciones de varios individuos que cooperan entre sí, basado en el principio de la división del trabajo (Hernández, Rodríguez y Moreno, 2004).
Una visión amplia, por el contrario, se compromete fundamentalmente con la promoción del descubrimiento de nuevo conocimiento para el desarrollo económico (Metcalfe y Harvey, 2005). El atributo crucial de los mercados es que todas las condiciones y categorías que conforman y regulan el mercado, en nuestro caso el mercado laboral, son susceptibles al cambio. En nuestro caso de estudio, esto implica que los cargos de la administración pública están sometidos a fuerzas competitivas dentro del mercado laboral que desafían potencialmente las posiciones de poder existentes. Los mercados competitivos regulan, junto con otros procesos instituidos, las restricciones en las capacidades de procesar información de los agentes, dado que permiten una especialización descentralizada y competitiva de la generación y procesamiento de la información. De esta manera, los mercados laborales se convierten en los mecanismos de selección de los grupos de egresados de universidades contratados en la administración pública. Algunos tipos de egresados son descartados por el mercado laboral de manera que la variedad queda reducida, así sea por solo un periodo determinado de tiempo, y se inicia un proceso de (re)distribución de cargos en la administración pública.
La adaptabilidad de los mercados laborales facilita el cambio experimental en los cargos de poder y transfiere recursos hacia la contratación de nuevos agentes. Claro está que el mercado coexiste con otro tipo de procesos instituidos, como, por ejemplo, los regulados por fuerzas políticas, tema de otro artículo (Leal, 1990). Pero, si nos circunscribimos al mercado laboral, los cambios en la distribución de los agentes que componen la administración pública muestran la dirección del cambio en la política económica. La dirección en el cambio en los nuevos contratos establecidos (i.e., cambios en la estructura de contratos) proporciona una evaluación directa de las características de desempeño de conocimientos diversificados y, muchas veces, sustitutos entre sí.
Los mercados laborales determinan el orden del cambio económico, de forma que seleccionan, para nuestro caso, qué egresados de las distintas universidades son elegidos dentro y fuera de la administración pública en un punto determinado del tiempo. Sin embargo, esto no exime al mercado de que, en un tiempo futuro, pueda elegir a los egresados que fueron descartados en el pasado. Por ejemplo, si sus respectivas universidades inducen cambios favorables en la calidad relativa de su educación frente a otras universidades. Es así como el mercado, en un punto del tiempo, destruye la variedad al sólo elegir unos agentes, pero también puede, debido a cambios cualitativos en la educación, restaurar dicha variedad de agentes en la economía, seleccionando nuevos agentes. De esta manera, el mercado es también mecanismo de desarrollo pues mantiene una variedad dinámica y relativa de egresados, la cual es, como vimos anteriormente, una fuente de generación de variedad de política económica importante. Las nuevas características de los contratos (nueva estructuras de contratos), con los nuevos agentes, quedarán reflejadas en nuevas ideas y conocimientos seleccionados dentro de la organización de la administración pública.
Sin embargo, la regeneración de la variedad debe mantenerse al mismo ritmo de cambio que los procesos de selección dentro de la administración pública; en efecto, si existe perfecta adaptabilidad de los agentes en el poder, entonces, cuando llegue la hora de seleccionar nuevos y variados tipos de conocimiento, no habrá variedad de donde seleccionar (Metcalfe, 2004). De esta manera, la organización de la administración pública debe permanecer protegida frente a presiones de agentes perfectamenteadaptables. Así, la administración pública como organización genera la variedad y la mantiene el suficiente tiempo como para que los procesos de selección del mercado operen eficientemente.
Historia, evidencia y modelo
En esta sección presentaremos la base histórica y la evidencia empírica en las que se basa el modelo de simulación económica (i.e., replicador dinámico) que permitirá, por medio de la calibración de parámetros y variables, emular la evidencia histórica y estudiar diferentes causas y escenarios posibles que pueden determinar la realidad económica. La simulación económica dista de los métodos cuantitativos deductivos, tan preponderantes en la literatura económica, en los que la realidad se ajusta al modelo. En este caso, el modelo se ajustará, por medio de la calibración, a la realidad que se presenta por medio de evidencia histórica y empírica.
Base histórica
Serres (2005) señala la existencia de un duelo de poder entre egresados de la Universidad Javeriana y los de la Universidad de los Andes en el que se disputan los cargos más altos en los últimos 50 años dentro de la administración pública colombiana. Los egresados de la Universidad Javeriana surgieron como primer grupo en posicionarse desde los años cincuenta hasta finales de los ochenta en la administración pública colombiana. La Universidad de los Andes ha sucedido este proceso al consolidarse, especialmente desde los años noventa, como un nuevo poder dentro de la tecnocracia estatal.
La evidencia empírica de ocho (8) entidades de la administración pública del nivel nacional para 2005[5] muestra que los egresados de la Universidad de los Andes, en la gran mayoría de casos, cuentan con una participación relativa (en cargos por entidad) y una movilidad mayores[6] que el resto de egresados de otras universidades (ver Anexo A). Esto significa que cuentan con una alta participación en los cargos (sobre todo en cargos altos) y además su posibilidad de ascenso es mayor que para egresados de otras universidades.
Le sigue la Javeriana, pues cuenta con participaciones porcentuales significativamente más altas que casi todas las universidades, y la mayoría de sus índices de movilidad se encuentran por debajo del promedio. Esto quiere decir que los egresados de la Javeriana también cuentan con una fuerte presencia en la administración pública y con alta posibilidad de ascenso entre sus egresados, aunque en menor proporción que los egresados de los Andes.
Estos resultados muestran que la evidencia, al menos en 2005, confirma los resultados presentados por Serres (2005), en la medida en que los egresados de la Universidad de los Andes y de la Universidad Javeriana cuentan con una alta tradición dentro en la administración pública colombiana, reflejada en sus altas participaciones y movilidad de cargos. Sin embargo, también existe clara evidencia de que otras universidades comienzan a emerger como nuevos «poderes» en la administración pública nacional. Por ejemplo, la Universidad Nacional de Colombia (UN) cuenta con una mayor participación frente a la Javeriana en entidades como el Ministerio del Medio Ambiente, el Ministerio de Minas y el Departamento Nacional de Planeación (DNP). Más aún, en estas dos últimas entidades, la UN cuenta incluso con mayor participación en número de cargos que la Universidad de los Andes. Pero, así como la UN, existen otras universidades que, aunque con menor participación y movilidad que los Andes, la Javeriana y la UN, comienzan a consolidar una participación y movilidad significativas en la administración pública nacional, como son la Universidad Externado y la Universidad del Rosario, en entidades como Presidencia de la República, DNP, Banco de la República y en los Ministerios de Minas, Comercio, Hacienda, Cultura y Medio Ambiente. Así, la evidencia muestra un poder alternativo a los Andes y la Javeriana en la administración pública, encarnado en los egresados de universidades como la UN y otras como el Externado y el Rosario.
Resultados ECAES y participación en la administración pública
En la actualidad, en Colombia se concede una gran importancia al tema de la calidad de la educación. La construcción, aplicación, mejoramiento y análisis de exámenes de la calidad del sistema educativo ha sido prioritaria en la política educativa y para la muestra está la reciente creación del Examen de Calidad de la Educación Superior (ECAES). Sin embargo, en el país se han adelantado, sobre todo, estudios sobre la calidad de la educación básica y media[7] (Revista Dinero, 2005). Dada la reciente creación de los ECAES, los estudios sobre la calidad de la educación superior se encuentran aún muy rezagados frente a los de educación básica y media, basados en resultados de los exámenes de calidad. La presente investigación se fundamenta en estos primeros resultados de los ECAES realizados por el ICFES en 2004 y su relación con el mercado de trabajo en ocho entidades de la administración pública nacional. Consideramos que, aunque es una medida insuficiente de la calidad, nos permitirá establecer una primera aproximación sobre la relación entre niveles de calidad relativa y la composición de los cargos en la administración pública[8].
Basados en los resultados de la sección anterior, en ésta contrastaremos los resultados de los ECAES de las universidades de los Andes, Javeriana, Nacional, Externado y Rosario con la participación de sus egresados en los cargos en siete entidades públicas del orden nacional[9]. En el Anexo B se presentan tablas con promedios[10] de las carreras que las cinco universidades (Andes, Javeriana, Nacional, Externado y Rosario) presentaron durante el año 2004[11]. Fuera de los promedios de ECAES por universidad, se presenta la participación porcentual -y su respectiva clasificación- que tienen los egresados de tres carreras por universidad y por entidad, dentro del número de cargos totales, así como la participación y clasificación de todos los egresados por universidad y por entidad.
Nótese que las entidades en las que Derecho, Administración y Economía tienen más peso dentro del total de cargos conforman un primer grupo de entidades: Ministerio de Hacienda y de Comercio. Las entidades en las que otras carreras (Ingenierías, Psicología, Contaduría, Arquitectura, entre otras) tienen mayor peso conforman un segundo grupo: Presidencia de la República, Ministerios de Minas, Medio Ambiente y Cultura. Las correspondencias entre ECAES y participación en el mercado de trabajo aplican con mayor fuerza en el primer grupo de entidades que en el segundo. Sin embargo, el segundo grupo adquirirá un especial significado, el cual explicaremos más adelante.
El grado de correspondencia entre ECAES y participación en el mercado de trabajo es una medida de meritocracia utilizada en este artículo. Si una universidad tiene el mayor nivel de ECAES, entonces, debería contar también, bajo las premisas de un sistema meritocrático, con la mayor participación en el número de cargos dentro de la entidad correspondiente, al menos dentro de un período razonable de tiempo. En un sistema no meritocrático, la clasificación de ECAES es independiente y no influye sobre la composición de cargos en la entidad pública.
El promedio simple de las tres carreras (Derecho, Administración y Economía) clasificado por ECAES arroja las siguientes posiciones entre universidades: (1) Nacional, (2) Andes, (3) Externado, (4) Javeriana y (5) Rosario. Sin embargo, la Universidad Nacional cuenta con la menor correspondencia entre su promedio de ECAES y su participación en las entidades públicas, a pesar de ser la primera en la clasificación de los ECAES (ver Anexo B). Las entidades con mayor correspondencia entre calidad y clasificación son la Universidad de los Andes, Universidad Externado, Universidad Javeriana y Universidad del Rosario. Es decir, la relación positiva calidad-empleo es más fuerte en estas cuatro universidades.
Sin embargo, esta baja correspondencia de la UN se ve compensada con el hecho que, en el segundo grupo de entidades (Presidencia, Medio Ambiente, Minas y Cultura), otras carreras tienen gran preponderancia y suben el posicionamiento de dicha universidad en la clasificación de total de egresados. Es decir, si se incluyen carreras profesionales como Ingeniería Ambiental, Ingeniería Electrónica, Ingeniería Industrial, Contaduría, Psicología y Arquitectura, la posición de los egresados de la UN en la tabla clasificatoria de cargos es más alta en cuanto a su participación en los cargos en la Presidencia, los ministerios de Medio Ambiente, Minas y Cultura. Esto se puede deber a las necesidades de dichas entidades de un conocimiento aplicado más específico como el que ofrecen las carreras de ingeniería (en el caso de los ministerios de Medio Ambiente y Minas) y arquitectura (en el caso del Ministerio de Cultura).
Replicador dinámico
Nuestro objetivo es tratar de emular la base histórica y evidencia empírica para determinar en qué punto del proceso evolutivo de la administración pública podemos encontrarnos y qué posibles explicaciones y análisis podemos llevar a cabo, dados hechos históricos y empíricos.
Recordemos los tres componentes básicos de los procesos evolutivos: variedad, herencia y selección. El modelo contiene los tres mecanismos evolutivos desarrollados en la sección 2.
La variedad es medida como la participación de los egresados de una universidad i en los cargos totales de una entidad en el tiempo. La herencia es medida como los egresados de una sola universidad, los cuales son aglomerados bajo un solo grupo de calidad de educación. La selección está basada en el mecanismo de la dinámica del replicador.
Consideremos el mercado laboral en cargos de poder y de los egresados de diferentes universidades. Las variables consideradas en el modelo son:

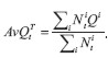
donde el índice i se refiere a cada universidad. El nivel de egresados en cargos de poder depende de su calidad, de acuerdo con la ecuación

donde α es el impacto que tiene la calidad relativa universitaria sobre la participación en el mercado laboral[12].
La variable de calidad Q puede calcularse de dos formas: dependiendo o no dependiendo del valor que tome la variable de control de tradición, P. En ambos casos se considera que la calidad en el periodo t depende de la calidad del periodo anterior más una variación aleatoria en la calidad (i.e., paseo aleatorio).
Si P = 0, entonces la tradición, o cargos de los egresados de la misma universidad en el pasado, no es tomada en cuenta para medir la calidad universitaria. Si P toma cualquier otro valor, la calidad varía acorde con la participación que en el mercado de trabajo han tenido los egresados de la misma universidad, mst, multiplicado por una cuota constante de calidad, Qc.
Tenemos entonces,

donde RWt es un generador aleatorio[13].
Alcances y límites del modelo
Los mercados de trabajo coexisten con otros procesos instituidos como las normas y prácticas sociales y, en particular, la regulación política (Leal, 1990). Los límites entre el mercado de trabajo y los diversos procesos son móviles. El presente modelo refleja los mecanismos de selección económica, como el mercado de trabajo, el cual contribuye a explicar la variación en la composición, por egresados, de las participaciones de los cargos de la administración pública, dados diversos grados de impacto en los cambios (permitidos) en la calidad relativa de los egresados.
Bajo el modelo planteado, a medida que disminuye el impacto de los cambios en la calidad relativa sobre la composición de las participaciones de los egresados en los cargos, entonces son otros mecanismos de selección, distintos a los económicos, los que ayudarían a explicar el relevo en los cargos de la administración pública. Pero a medida que el impacto de los cambios en la calidad relativa aumenta, el mecanismo de selección del mercado de trabajo es cada vez más importante en la explicación de dicho relevo de cargos.
El parámetro a del modelo es la medida del impacto o multiplicador de la calidad relativa de los egresados de las universidades en el mercado de trabajo.
A continuación se presentan los escenarios posibles que intentan emular algunos casos de la realidad en el mercado de trabajo de la administración pública. Estos son:
- Meritocracia
- Tradición y no meritocracia (caso negativo)
i. Escenario meritocracia
A continuación mostramos el escenario ideal para el desarrollo de la meritocracia, basándonos en nuestro modelo. Veremos que la participación en el mercado de trabajo dependerá única y exclusivamente de la calidad universitaria y no de otro tipo de externalidades. Para este caso, la calidad universitaria será calculada usando la ecuación (2).
A medida que el impacto de la calidad relativa de los egresados de las universidades va aumentando, entonces los cambios en dichas calidades afectan la composición de los distintos cargos en la administración pública. Ilustremos este punto con un valor de α = 0,7, el cual es relativamente alto, y veamos sus efectos en el gráfico 1. En el gráfico 1a se muestran las participaciones del mercado en una simulación con cinco universidades, y en el gráfico 1b se muestra la variación aleatoria en la calidad de estas mismas universidades. Vemos que el relevo en los cargos se refleja en la mayor participación de los egresados de las universidades cuya calidad relativa es mayor que el promedio. Es decir, las universidades con mayor calidad relativa logran una mayor participación en los cargos del mercado de trabajo; a medida que una universidad pierda o reduzca en términos relativos su calidad, verá afectada negativamente su participación en los cargos del mercado de trabajo.


También podemos observar un rezago existente entre el cambio de la calidad relativa y la participación en el mercado; es decir, no es un cambio instantáneo, sino que, una vez haya ocurrido un cambio positivo en la calidad, pasa un tiempo antes de que el mercado de trabajo absorba dicha información y se presente un cambio en la distribución de cargos, donde los egresados de la universidad entrante capturen la porción de mercado correspondiente.
Este rezago es muy importante porque la evidencia histórica parece indicar que en la actualidad nos encontramos en este periodo de reacción en el que el mercado de trabajo se está reacomodando y, por ende, las participaciones en él están sufriendo un cambio estructural.
ii. Escenario tradición y no meritocracia
Escenario tradición. En este escenario, la universidad que tiene más participación en el mercado va a pesar fuertemente sobre la distribución de cargos de poder en el mercado; la herencia (i.e., capital social, confianza, redes, ver sección 2) rompe con la meritocracia.
Como podemos ver en la ecuación (3), la calidad de una universidad es directamente proporcional a la participación en el mercado de trabajo de sus egresados; por esto, para este caso debemos hacer la anotación que el talento humano es valorado y aprovechado, dependiendo de la entidad en que se contextualice. El perfil investigativo de ciertas universidades es distinto, por ejemplo, del perfil gerencial o empresarial de los egresados de otras universidades; por tanto, la calidad relativa de los egresados depende del contexto en donde se coloque su talento. De manera que la calidad es contexto-dependiente, tal como ya lo hemos mostrado en nuestro análisis estadístico, donde se cuenta con una variedad significativa tanto de entidades públicas como de egresados de universidades.
Escenario no meritocracia. Cuando el impacto de la calidad relativa de los egresados de las universidades es nulo o negativo, tenemos el caso de no meritocracia o antimeritocracia. De nuestro análisis encontramos dos posibles escenarios para modelar no meritocracia, dependiendo del valor que tome la variable de impacto a. Tenemos entonces que:
- El caso en que α = 0,03 significa que existen relevos casi nulos en la administración pública y los cargos de poder permanecen prácticamente invariantes, es decir, la participación en el mercado de cada universidad es relativamente constante en periodos largos de tiempo.
En el gráfico 2a se muestran las participaciones del mercado en una simulación otra vez con cinco universidades, y en el gráfico 2b se muestra la variación aleatoria en la calidad de estas mismas universidades. En la simulación podemos observar que casi no existen variaciones en las participaciones (son constantes) en la entidad hasta un cierto punto, a pesar de que la calidad relativa está variando aleatoriamente, como se muestra en el gráfico 2b. Dos universidades dominan claramente la gran mayoría de los cargos de la entidad, y el resto es compartido por las otras tres universidades en una proporción pequeña. Sin embargo, a partir de un punto ocurre un relevo entre la primera y la segunda universidad, la cual había adquirido, con varios periodos de anticipación, la mayor calidad relativa. Es por este motivo que termina apropiándose del primer lugar, a pesar de que su cambio en calidad se presentó hace ya un tiempo significativo. La ahora segunda universidad, no obstante, sigue contando con una participación significativa dentro de la entidad.



Este podría ser un caso similar a los de la Javeriana y Andes, citados por Serres (2005): la Javeriana está representada en el gráfico 2a por la primera universidad con una alta participación en la administración pública hasta un punto en la historia en que la segunda universidad, la cual representa a los Andes, se apropia de la mayoría de los cargos a partir de este punto histórico, que corresponde a la década de los noventa.
En este caso, el parámetro a es muy pequeño (cercano a cero), lo cual representa un bajo impacto de los cambios en la calidad relativa sobre la composición de las participaciones de los egresados en los cargos. Puede inducirse entonces que este escenario, que emula la realidad hasta los noventa, implica que son otros mecanismos de selección, distintos a los económicos, los que ayudarán a explicar la composición de cargos en las entidades públicas hasta este punto en la historia.
Pero, a medida que el impacto de los cambios en la calidad relativa aumenta, el mecanismo de selección del mercado de trabajo es cada vez más importante en la explicación de dicho relevo de cargos. Tal como lo muestra el gráfico 2c, en donde el a se aumenta al valor 0,3, la composición de cargos de la entidad presenta un nuevo relevo, se aumenta al valor cual representa el hecho encontrado en la evidencia empírica del surgimiento de universidades nuevas.
- Cuando el impacto de la calidad relativa es menor que cero, a < 0, la calidad tiene un impacto negativo sobre la distribución y participación del mercado, donde la administración pública termina siendo dominada por las universidades de peor calidad relativa. Es una situación en la que la incompetencia predomina y la calidad alta es castigada con una baja participación en el mercado de trabajo. Nos pareció interesante citar este caso para ilustrar que existen escenarios posibles en los que también se premia la mala calidad de la educación (ver gráfico 3).


Conclusiones
Este artículo pretende hacer una contribución al debate recientemente suscitado sobre los relevos de poder en los cargos de la administración pública central, a raíz de la publicación tanto de la investigación de Serres (2005) como de los resultados de los Exámenes de Calidad de la Educación Superior (ECAES), realizados durante 2004. Este artículo desarrolla una perspectiva no sólo diferente a la que convencionalmente se presenta en la literatura positivista sobre la administración pública (como en la teoría de Public Choice) sino también al análisis convencional sobre mercado. El estudio se basa en la influyente corriente del pensamiento de la economía evolucionista para lo cual desarrolla, de manera empírica y teórica, tres mecanismos básicos evolutivos (variedad, herencia y selección) en el marco de la administración pública.
Este artículo quiso responder a la pregunta de si existe alguna evidencia de un relevo en la administración pública central y cuáles podrían ser sus posibles explicaciones. Se puede decir que la evidencia empírica y teórica muestra una administración pública central que careció, hasta hace poco, de mecanismos que generaran relevos adecuados en la composición de cargos debidos a cambios cualitativos en la educación. Sin embargo, esta misma evidencia señala que recientemente se han iniciado procesos de fortalecimiento de los mecanismos de selección de mercado, reflejados en un impacto real de la calidad educativa (universitaria en particular) sobre la composición de cargos en algunas entidades de la administración pública. A pesar de que algunas entidades muestran un peso importante del mecanismo de herencia (capital social, político, redes) sobre la composición de sus respectivos cargos, aun allí, no se descarta el ascenso de egresados de universidades alternativas, contratados en más y mejores cargos.
Los resultados teóricos muestran que la información sobre la calidad de educación no se filtra inmediatamente al mercado sino que hay un período de acomodamiento en el cual los cambios de calidad no se ven reflejados automáticamente en cambios en la composición de los cargos de la entidad. Sin embargo, a medida que esta información de cambios en la calidad se filtra más rápidamente al mercado, entonces los relevos correspondientes a cambios de calidad se llevarán a cabo con un menor rezago en el tiempo. Es decir, a medida que el impacto en las calidades relativas sobre el mecanismo del mercado sea mayor, mayor será la respuesta en los cambios en composición de cargos. Las implicaciones de política económica, en este sentido, se orientan principalmente hacia el diseño de un sistema de información sobre la calidad educativa lo suficientemente integral, amplio, difundido y transparente como para que genere los mecanismos de impacto sobre el mercado laboral.
La variación del impacto que tiene la información -acerca de los cambios en las calidades relativas de los egresados- sobre la composición de cargos determina el rezago con que se filtra la información por medio del mecanismo de selección del mercado, en nuestro caso, dentro de las entidades públicas. De esta manera, la diversidad de valores que puede adquirir dicho impacto refleja la diversidad de maneras como se captura y se filtra dicha información en las entidades. Cada entidad en el sector público cuenta entonces con «filtros» distintos entre sí, determinados por el mecanismo de herencia desarrollado anteriormente, por los cuales se captura o se descarta información. De esta manera, el significado que se proporciona a la información acerca de cambios en calidad no es homogéneo sino que cada entidad cuenta con interpretaciones, debido a los distintos modelos mentales compartidos. Esta heterogeneidad entre las entidades públicas se traduce en que se presentan diferencias determinantes en los rezagos en los relevos de cargos, o simplemente no se presentan relevos.
El mecanismo de herencia se refuerza bajo las condiciones de un bajo significado e impacto de la información sobre cambios cualitativos en la educación, lo cual, a la larga, vulnera la capacidad de adaptación y respuesta de las entidades públicas a entornos cambiantes por medio del relevo de cargos con nuevos egresados. El mecanismo de herencia, de esta forma, genera una «inercia» en la generación de política que crea una rigidez en los procesos de retroalimentación, aprendizaje y adaptación de la política económica. Este fenómeno es conocido en la literatura como la generación de políticas de talla-única(one-size-fits-all-policy), en las cuales la realidad económica debe acomodarse al modelo de política generado, dada la incapacidad de esta última de poder adaptarse adecuadamente y en un tiempo razonable a cambios en la realidad económica (Chang, 2002 y 2003).
No se puede concluir que hay una tendencia hacia la convergencia en procesos de selección de mercado entre las entidades a nivel central sino que, por el contrario, diversos mecanismos de selección coexisten y evolucionan en el tiempo. En este artículo nos concentramos en el papel de uno solo de estos mecanismos de selección, pero no por ello se desconoce la importancia de otros. Es el conjunto de mecanismos de selección por medio de los cuales las entidades de la administración pública aprenden, innovan y evolucionan en la generación de políticas, así como también por medio de sus mecanismos de variedad y de herencia.
Notas al pie
[1]Es precisamente Samper (2005) quien señala el giro que está dando la política latinoamericana con la conformación de un ‘eje social’ que viene desde Chile, pasa por Brasil y Argentina, toca Uruguay y Panamá, se localiza en Venezuela y salta a Cuba y cuyo objetivo central es desterrar para siempre los vestigios del experimento neoliberal que está haciendo aguas en el Hemisferio. Continúa aseverando que los mejores representantes de esta corriente podrían ser los profesionales de la Universidad Nacional de Colombia y para la muestra el botón de algunos de los colaboradores de la administración de Bogotá del alcalde Luis Eduardo Garzón.
[2]En particular, después de la elección de Ronald Reagan y Margaret Thatcher, como presidente de EE.UU. y primera ministra del Reino Unido, respectivamente.
[3] Esto no significa, sin embargo, que la preservación de rutinas se deba convertir en excesivo reposo de las universidades ante los nuevos retos tecnológicos y de innovación que el entorno exija, de manera que lesione su capacidad de respuesta al entorno (Metcalfe, 2004).
[4] Otros factores importantes, fuera de la educación, son las habilidades heredadas (Black, Devereux y Salvanes, 2003), las características familiares (Hazans, Rastrigina y Trapeznikova, 2005) y el entorno (Silles, 2005).
[5] Ministerios de Medio Ambiente, Comercio, Cultura, Hacienda, y Minas y Energía, Presidencia de la República, Banco de la República y Departamento Nacional de Planeación (DNP).
[6] Indicador de movilidad = número de cargos medios dividido por número de cargos altos. Este indicador muestra cuántos egresados de la universidad X en cargos medios hay por cada egresado de la universidad X en un cargo alto. Cargo alto: de mayor ingreso relativo, cargo medio: de ingreso relativo medio. En el análisis no se incluyen los cargos de poder o ingreso relativo bajos.
[7] Desde 1991, el ICFES inició una nueva etapa de trabajo en el campo de la evaluación de la educación básica y media por medio de las pruebas SABER, aplicadas a una muestra representativa de estudiantes de todo el país en las áreas de lenguaje y matemáticas (Ver ICFES, 2005b).
[8] Debe reconocerse la gran utilidad e importancia de las pruebas del ICFES de calidad de la educación, pero es inadecuado convertirlas en la única medida de calidad, no sólo de los colegios sino, en general, de las organizaciones educativas. Futuras investigaciones deberán matizar y refi nar más estas medidas de calidad de la educación.
[9] Las entidades analizadas son las mismas de la sección anterior, excepto el Banco de la República, dado que no se cuenta con las bases de datos de títulos de educación superior por funcionario.
[10] Promedio simple de los resultados de los ECAES de las carreras de Derecho, Economía y Administración.
[11] Otras carreras que componen los cargos de la administración pública central son, entre otras: Contaduría, Ingeniería Ambiental, Agrícola, Industrial, Electrónica, Psicología y Arquitectura. Estas carreras no son ofrecidas por una o más de las universidades en mención, por ende, no se incluyen dentro del promedio simple de ECAES.
[12] El promedio
debe ser ponderado por las calidades de los egresados de cada universidad, entonces 
[13] RWt= RWt-1 + U (-k, +k), donde U (-k, +k) es un número aleatorio entre -k y +k.
Referencias bibliográficas
Amabile, T.M., Burnside, R.M., & Grykiewicz, S.S. (1995). KEYS: Assessing the climate for creativity. Greensboro, NC: Center for Creative Leadership. [ Links ]
Amsden, A. (2004). La sustitución de importaciones en las industrias de alta tecnología: Prebisch renace en Asia. Revista de la Cepal, 82. [ Links ]
Becerra, M.F. et al. (1993). Estado, crecimiento económico y equidad. Bogotá: Contraloría General de la República. [ Links ]
Black, S.E., Devereux, P.J., & Salvanes, K.G. (2003). Why the apple doesnt fall far: understanding intergenerational transmission of human capital. CeMMAP Working Papers CWP16/03, Centre for Microdata Methods and Practice, Institute for Fiscal Studies. [ Links ]
Borghans, L., Bruce, B., & Weinberg, A. (2005). People People: Social Capital and the Labor- Market Outcomes of Underrepresented Groups. Disponible en: www.repec.org. [ Links ]
Buchanan, J.M. et al. (eds.) (1980). Toward a Theory of the Rent-Seeking Society. Collage Society Station: Texas AM University Press. [ Links ]
Chang, H.J. (ed.) (2002). Kicking away the Ladder: Development Strategy in Historical Perspective. London: Anthem Press. [ Links ]
______(2003).Re-thinking Development Economics. London: Anthem Press. [ Links ]
Denzau, A.T. & North, D.C. (1994). Shared Mental Models: Ideologies and Institutions. Kyklos, 47(1), 3-31. [ Links ]
El Tiempo (2005, 24 de febrero). Varios autores. Lecturas. [ Links ]
Hazans, M., Rastrigina, O., & Trapeznikova, I. (2005). Family background and schooling outcomes before and during the transition: Evidence from the Baltic countries. Labor and Demography 0505002, Economics Working Paper Archive at WUSTL. [ Links ]
Hernández, I., Rodríguez, M.C., & Moreno, A. (2004). Estado versus mercado: un debate inconcluso. Revista Economía y Desarrollo. 3(1), 39-52. [ Links ]
ICFES (2005a). Resultados ECAES. Disponible en: www.icfesinteractivo.gov.co. [ Links ]
________(2005b). Evaluación de la Educación Básica SABER. Disponible en: www. icfes.gov.co. [ Links ]
Jensen, R. & Kiley, T. (2000). Teaching, Leading and Learning: Becoming Caring Professionals. Boston and New York: Houghton Miffl in Company. [ Links ]
Jevons, S. (1871). Theory of Political Economy. Economy London and New York: Macmillan. [ Links ]
Leal, F. (1990). El Estado colombiano: ¿crisis de modernización o modernización incompleta? En Colombia Hoy. Bogotá: Siglo XXI. Hoy [ Links ]
Metcalfe, S. (1995). The Economics Foundations of Technology Policy: Equilibrium and Evolutionary Perspectives. In P. Stoneman (ed.). Handbook of the Economics of Innovation and Technological Change. Oxford and Cambridge: Blackwell. [ Links ]
________(2004). Evolution and Economic Change. In M. Egidi & S. Rizzello (eds.). Cognitive Economics, 169, 54-85. The International Library of Critical Writings in Economics Series. Edward Elgar. [ Links ]
________& Harvey, M. (2005). The Ordering of Change: Polanyi, Schumpeter, and the Nature of the Market Mechanism. CRIC University of Manchester, Discussion Papers No. 70. March. [ Links ]
Misas, G. (2002). La ruptura de los 90s: del gradualismo al colapso. Bogotá: Universidad Nacional de Colombia. [ Links ]
Mises, L. von (1927). Human Action: in economics treatise. Disponible en http://www. mises.org/ [ Links ]
Nelson, R. & Winter, S. (1982). An Evolutionary Theory of Economic Change. Cambridge: The Belknap Press of Harvard University. [ Links ]
Nonaka, I. & Toyama. R. (2005). The theory of the knowledge-creating fi rm: subjectivity, objectivity and synthesis. Industrial and Corporate Change, 13(3), 419-436. [ Links ]
Panniza, U. & Yáñez, M. (2004). Why are Latin Americans so Unhappy about Reforms. IDB, Working Papers. [ Links ]
Polanyi, K. (1944). The Great Transformation. The Political and Economic Origins. Boston: Beacon Press. [ Links ]
Polanyi, M. (1962). Personal Knowledge: Towards a Post-Critical Philosophy. New York: Harper Torchbooks. [ Links ]
_____(1967). The Tacit Dimension. Garden City, NY: Doubleday Anchor. [ Links ]
Portes, A. (2004). Las estructuras de clases sociales en América Latina: su composición y cambio durante la era neoliberal. En El desarrollo futuro de América Latina. Neoliberalismo, clases sociales y transnacionalismo. Bogotá: ILSA. [ Links ]
Revista Dinero (2005, 24 de junio). Los mejores colegios. Edición 232. [ Links ]
Rodrik, D. & Subramanian, A. (2003). The Primacy of Institutions. Finance and Development, 4(2), 31-34. [ Links ]
Samper, E. (2005, 24 de febrero). ¿La hora de la Nacional? El Tiempo. [ Links ]
Samuelson, P. & Nordhaus, W.D. (1997). Economía. Madrid: McGraw-Hill. [ Links ]
Schumpeter, J.A. (1911). The Theory of Economic Development. Oxford: Galaxy Books (1934 edition). [ Links ]
Serres, F. (2005, 24 de febrero). Las élites de la administración pública en Colombia. El Tiempo. [ Links ]
Silles, M.A. (2005). Personality, Education and Earnings. CAM Working Papers 2005-06, University of Copenhagen. Institute of Economics. Centre for Applied Microeconometrics. [ Links ]
Simon, H.A. (1991). Organizations and Markets. The Journal of Economic Perspectives, 5(2), 25-44. [ Links ]
Stiglitz, J. (2003). El malestar de la globalización. Madrid: Editorial Taurus. [ Links ]
Takeuchi, H. & Nonaka, I. (1995). The Knowledge Creating Company: How Japanese Companies Create the Dynamics of Innovation. New York: Oxford University Press. [ Links ]
Toye, J. (2003). Changing Perspectives in Development Economics. In H.J. Chang (ed.). Rethinking Development Economics. London: Anthem Press. [ Links ]
Vanberg, V.J. (2005). Market and state: the perspective of constitutional political economy. Journal of Institutional Economics, 1(1), 23- 49. [ Links ]
Williamson, O. (1985). The economic institutions of capitalism: fi rms, markets, relational contracting. New York and London: Free Press/ Collier Macmillan. [ Links ]
Witt, U. (2000). Changing Cognitive Frames - Changing organizational forms: an Entrepreneurial Theory of Organizational Development. Industrial and Corporate Change. 9(4), 733-755. [ Links ]
_______(2003). Economic policy making in evolutionary perspective. Journal of Evolutionary Economics, 13, 77-94. [ Links ]













