INTRODUCCIÓN
El concepto de desigualdad económica ha suscitado numerosas controversias desde sus orígenes. Incluso hoy en día levanta grandes pasiones y desencuentros entre los economistas, políticos y la opinión pública en general.
Desde el nacimiento de la economía como disciplina científica se sostuvo de forma continua que había una suerte de dilema entre crecimiento e igualdad; o bien la desigualdad impulsaba el crecimiento económico o, si se quería mayor igualdad, se debía renunciar a algo de crecimiento (Guilera, 2016).
En otras palabras, la igualdad es incompatible con el proceso de ascenso a un mayor bienestar en la población, lo cual direcciona el punto de atención, no en la desigualdad, sino en la población que se queda por debajo de las condiciones establecidas como mínimas en una sociedad en un contexto y tiempo determinado, es decir, la población pobre.
La distribución del ingreso, como referente más actual de desigualdad, “refleja factores culturales en permanente evolución interactiva como son los de economía política, clase, etnia, género, religión, mentalidad, medio ambiente, ética y costumbres, los que se expresan de manera diferente en cada región y nación particulares” (Chaves, 2003, p. 2 ). Esto permite entender la forma en que la población interviene en la configuración del ingreso de carácter nacional.
A lo largo de la historia, y como resultado de diversos análisis realizados sobre el tema, han surgido numerosos procedimientos que proponen distintas metodologías de medición sobre el estudio de la desigualdad. No obstante, la mayoría de ellos han coincidido en que el indicador con mayor rigurosidad en la aplicación empírica para este tipo de investigaciones es el denominado coeficiente de Gini.
De conformidad con lo anterior, esta investigación tiene como objetivo analizarla relación entre desigualdad y pobreza en Colombia a la luz de una medida alternativa del Gini, más práctica y eficiente.
El documento se compone de cuatro capítulos. El primero considera el componente teórico conceptual que permite comprender los términos de pobreza y desigualdad, así como la relación que existe entre ellos. El segundo capítulo presenta la descripción metodológica y los métodos para calcular los niveles de pobreza y desigualdad. El tercero hace alusión al análisis de datos y la descripción de los mismos, su fuente y tratamiento, para exponer, en el cuarto capítulo, los principales resultados que se obtuvieron a partir de la aplicación de la nueva metodología y el comportamiento de estos dos fenómenos en Colombia.
1. LOS CONCEPTOS DE DESIGUALDAD Y POBREZA Y SU RELACIÓN
Sen (1992) manifiesta que los fenómenos de pobreza y desigualdad no deben ser analizados como un problema que parte del uno o del otro; no obstante, son situaciones que están muy relacionadas. Deontológicamente, es menester realizar un análisis preciso sobre la definición y características de cada uno con el propósito de establecer sus causas y efectos en la sociedad, así como de plantear alternativas dirigidas a menguar e, incluso combatir, los efectos dañinos generados por las dos condiciones: pobreza y desigualdad (Casas, 2020). Por lo anterior, se hace alusión, en primer lugar, al problema de la desigualdad y su metodología de medición; en segundo lugar, a lo concerniente a la pobreza; y, por último, a la relación que existe entre estos dos conceptos.
1.1 Desigualdad económica
Se considera, por lo general, que el interés suscitado entre los académicos e investigadores del mundo, en relación con la problemática de la desigualdad económica, parte de los aportes realizados por Atkinson (1970) y Sen (1973) . Estos dos autores han generado grandes escenarios de debate y discusión sobre dicho campo de investigación (Núñez, 2006) y se han consolidado en numerosos avances en el tema, planteamientos y teorías.
El primer estudio relacionado con la desigualdad en materia de ingresos fue realizado por Muirhead en 1903, quien relacionó este concepto con las transferencias progresivas de ingresos. En 1905, Lorenz propuso sus curvas con el fin de llevar a cabo un análisis exhaustivo sobre el tema de la desigualdad de la renta. En este sentido, afirma que el abombamiento de las mismas indica la presencia del fenómeno de desigualdad existente en la distribución. Por su parte, Kuznets estableció, en 1953, que hablar de desigualdad económica es referirse simplemente a la diferencia de rentas o ingresos sin considerar las razones sociales por las cuales se llega a ella (Núñez, 2006).
De ahí que la desigualdad sea definida como la distancia que existe entre la población de un país o un territorio en específico, en términos de distribución inequitativa tanto de recursos como de oportunidades, al interior de una sociedad que ha sido catalogada como homogénea. La desigualdad, según lo afirma Rincón (2014) , “es un fenómeno más complejo y más amplio que el de la pobreza, pues se define en una concepción de la distribución completa que no se centra solamente en la distribución de la riqueza o de la renta” (p. 18).
La Cepal (2018), por su parte, pone de manifiesto que la desigualdad es un determinante clave del funcionamiento de la economía. En este contexto, considera que esta condiciona el acceso de los agentes económicos a las distintas oportunidades, modela las reglas de juego y los incentivos para lograrlo y conlleva a grandes costos de eficiencia, por lo cual su superación es condición sine qua non para alcanzar el desarrollo.
Según Sánchez (2017) , la desigualdad, vista desde el interior de los países, es el resultado de distintos hechos que giran en torno a la propiedad de la tierra y del capital, la centralización del poder político y económico, el protagonismo de las instituciones, el mal funcionamiento del mercado laboral, la existencia de fenómenos como las altas tasas de desempleo, la informalidad, el subempleo, etc., el nivel educativo alcanzado por la mayor parte de la población, las brechas salariales fundamentadas esencialmente en el género y la raza, la deficiente estructura del aparato productivo, entre otros factores que acentúan dicha desigualdad y perpetúan la pobreza.
Hay que tener claro que la desigualdad no es igual a la existencia de pobreza de manera necesaria. De hecho, la desigualdad tiene la posibilidad de incrementarse aun cuando la economía esté en su mayor etapa de crecimiento. Según Mckay, es posible que exista desigualdad sin pobreza y pobreza sin desigualdad, pues esta última “hace referencia a la variación de los estándares de vida de la población, independientemente de si dicha población está o no en pobreza” (Galindo y Ríos, 2015, p. 3).
Otro aporte es realizado por Kuznetz, quien afirmó que el crecimiento económico está directamente relacionado con la distribución del ingreso y argumentó que “los sectores de menor productividad (agrícola) tienen menor ingreso per cápita y menor desigualdad, mientras que los sectores de mayor productividad (industrial) tienen mayores niveles de ingreso per cápita y mayor nivel de desigualdad” (Amarante y De Melo, 2004).
A partir de lo anterior, el autor dio origen a la curva de Kuznetz ejemplificada con cifras correspondientes a cinco países: Reino Unido, Estados Unidos, Puerto Rico, India y Ceylan; los dos primeros desarrollados y los tres últimos en calidad de subdesarrollo. Dicha curva se presenta
en forma de campana o de U invertida a lo largo del proceso de desarrollo de un país, explicando que en una primera fase, el desarrollo produce desigualdades crecientes, hasta llegar a un punto donde se empieza a generar igualdad. (Berumen y Pérez, 2015, p. 9 )
A continuación, y de acuerdo con el caso que se esté analizando, se logra entrar a la etapa madura del desarrollo, donde el fenómeno de la desigualdad empieza a reducir y es significativamente menor.
Según Amarante y De Melo (2004) , en la década de los setenta los temas distributivos pasan a segundo plano y, en su lugar, la literatura económica estuvo ocupada en desarrollar modelos de crecimiento basados en la función de producción neoclásica. Solo el Banco Mundial muestra su primer esfuerzo en analizar las dificultades originadas a partir de la distribución del ingreso y el crecimiento económico de manera simultánea a partir de la aceptación de las ideas de Kuznets. Sin embargo, este organismo insiste en que la política económica tiene el poder de generar una desemejanza si se la dirige a la población de menores ingresos.
En los años noventa, la relación existente entre crecimiento económico y distribución ocupa nuevamente el centro de la discusión. Según Ríos (2003) , a principios de la década se empezó a replantear en la literatura económica el papel de la desigualdad en el contexto mundial de una manera más formal. En principio, los estudios de carácter empírico se basaron en regresiones que empleaban el método de mínimos cuadrados ordinarios con datos de corte transversal. Para ello, tomaron como variable dependiente el promedio del crecimiento del producto interno bruto per cápita en un periodo determinado, lo corrieron contra algún índice de desigualdad del ingreso e incorporaron las variables de control.
Un crecimiento equilibrado de la productividad entre la agricultura y la industria genera menos desigualdad que un crecimiento de la productividad sesgado hacia la industria: puesto que un crecimiento basado en la acumulación de capital físico puede generar más desigualdad en países de ingresos bajos o medios que en países de ingresos altos, al aumentar las disparidades entre el campo y la ciudad. (Macías, 2014, p. 119 )
Un modelo de crecimiento basado de forma exclusiva en la aglomeración de capital físico incrementa la probabilidad de que se originen trampas de desigualdad, lo cual interrumpe el paso de los países a niveles más altos de ingresos y desarrollo.
Con esta misma línea argumental, la Cepal plantea en diversos documentos que “los altos niveles de desigualdad conspiran contra el desarrollo y son una poderosa barrera para la erradicación de la pobreza, la ampliación de la ciudadanía y el ejercicio de los derechos, así como para la gobernabilidad democrática” (Cepal, 2016, p. 235).
Para fines de la presente investigación, la desigualdad diferenciada de la pobreza solo entraña las diferencias de rentas e ingresos entre los miembros de una sociedad.
1.2 Pobreza
La pobreza es un término que no cuenta, hasta el momento, con un marco de carácter teórico conceptual que permita definirlo, pero es un concepto que sirve para describir o designar a una parte de la población que se encuentra inmersa en una condición de carencia o privación del acceso a bienes y servicios básicos, es decir, “que determinados segmentos de la población no encuentran posibilidad -¿estructural o funcional?- para insertarse de forma adecuada en la vida económica, social y política del país” (Reyes, 2008).
Si bien el término pobreza tiene distintos significados en las ciencias sociales (Stezano, 2020), la mayor parte de los estudios en materia económica ha dado mayor relevancia a lo correspondiente con la necesidad y el estándar o condiciones de vida.
A medida que la sociedad se enriquece, los niveles absolutos de las normas pretéritas van quedando obsoletos; el desarrollo económico cambia la disponibilidad de las diferentes clases de bienes e incluso la estructura de las necesidades; y con él, cambian los estilos de vida. (Ortiz y Núñez, 2019)
El término “pobreza es muy relativo espacial y temporalmente” (Gasparini, Cicowiez y Sosa, 2014; Stezano, 2020). Definir de manera universal a la pobreza es una tarea compleja,
su concepto va muy ligado a las diferentes metodologías que se utilizan para su medición y ello precisa una revisión detallada de la identificación que diferencia a los “pobres” de los “no pobres” y la agregación del término en algún indicador. (Ortiz y Núñez, 2019)
Este hecho posibilita comprender su evolución en un territorio dado, así como comparar con otros su condición.
Para los fines de esta investigación se entenderá la pobreza como un fenómeno integral que vincula las aristas monetarias, de condiciones de vida y subjetivas, de un colectivo social en un contexto y tiempo determinados.
1.3 Relación entre desigualdad y pobreza
Comprender el fenómeno de la desigualdad y la pobreza tiene raíces en el análisis de las relaciones que se han establecido entre los distintos ámbitos de la sociedad, el Estado y el mercado. Su relación, estudiada por diversos autores a través del tiempo, no ha sido concertada de manera unificada, sino que existen numerosas teorías. Unas plantean la existencia de vínculos de causalidad entre ellas, mientras que otras solo ven la pobreza como el problema fundamental.
Según Cañón (2016) , Robert Lucas hacía una fuerte crítica de la preocupación de los gobiernos por el tema de la desigualdad. En este sentido, afirma que esta actitud es dañina si se considera que la calidad de vida de los pobres se mejora con una mejor distribución, pues la alternativa de solución para la pobreza, de acuerdo al autor, es el incremento de la producción.
Aun cuando estos dos conceptos están muy relacionados y muchos estudios revelan la incidencia de la desigualdad en la condición de pobreza, “una distribución más igualitaria podría ralentizar el crecimiento de los territorios, poniendo a consideración los desincentivos por el sistema de impuestos y transferencias” Cañón (2016, p. 70) .
Existen intelectuales que confirman la hipótesis de Kuznets a partir de sus estudios particulares, pues elaboran un modelo de equilibro general. En este modelo, en el corto plazo y a partir de un crecimiento en la producción, coexiste una elevada brecha salarial entre aquellos trabajadores catalogados como calificados y los que no lo son, hecho que en el largo plazo tiende a disminuir. Sin embargo, Bruno, Ravallion y Squire estudiaron este fenómeno, a partir de las cifras de 44 países, y no evidenciaron presencia de la U invertida, “señalando que no se puede afirmar que el crecimiento beneficie per se a los más pobres, ni que la pobreza se reduzca con solo apuntarle al crecimiento económico” (Casas, 2020).
En el libro El capital del Siglo XXI, Piketty también desvirtúa el planteamiento de Simon Kuznets. Según este el desarrollo económico conlleva por sí solo a la reducción de las brechas entre ricos y pobres, pues, para el autor, el crecimiento económico puede generar situaciones de grandes desigualdades en la distribución de la renta (Universidad Externado de Colombia, 2021)
Ravallion (2001) afirma que es engañoso concluir que el crecimiento económico y la disminución de la desigualdad incrementan los ingresos de los pobres en la misma proporción en que se incrementa la renta de los demás, pues la desigualdad hace que el aumento absoluto en la renta de los ricos sea mucho mayor que la de los pobres. De esa forma considera que el crecimiento económico no tiene un efecto directo sobre la desigualdad y que esta última tampoco lo tiene sobre la pobreza, es decir, que lo realmente importante es tener información sobre la vida de los pobres para poder medir la pobreza y atacarla.
Según Sánchez (2006) , la relación entre ambas situaciones es compleja y no existe la evidencia suficiente que permita considerar dicho vínculo desde uno u otro ámbito. Sin embargo, es posible entender que existen otras variables que perpetúan dichas problemáticas, como son las variables de educación, salud, nutrición, comercio, entre otras, que son herramientas indispensables para alcanzar un mejor crecimiento económico.
Otros estudios indican que la relación entre crecimiento económico y desigualdad debe analizarse con más cuidado en los países subdesarrollados como los de América Latina, incorporando otras variables explicativas como: a) las de tipo histórico, político y cultural; b) considerar que la desigualdad es una función de la dependencia y parte de un sistema cultural y político corporativo, burocrático y autoritario, y c) tomar en cuenta la educación y las disparidades regionales en espacios subnacionales. (Sánchez, 2006, p. 16 )
En América Latina se ha evidenciado una tendencia específica durante las últimas dos décadas. Las fases con mayores niveles de crecimiento económico se encuentran relacionadas con altos niveles de desigualdad en la distribución de la riqueza, pues grandes proporciones de la población han quedado excluidas de los beneficios que otorga el desarrollo de los países. Este hecho ha sido criticado por autores con posiciones éticas y morales diferentes que consideran el bienestar como un fin en sí mismo y un derecho social que debe ser garantizado por los gobiernos y las instituciones para superar la pobreza y mejorar la distribución de la riqueza “como requisito para potenciar el crecimiento económico desde el enfoque del desarrollo sustentable” (Sánchez, 2006, p. 19 ).
La pobreza y la desigualdad han hecho parte de las agendas oficiales en distintos países de Latinoamérica y han constituido la base para la formulación de políticas encaminadas a erradicarlas. Sin embargo, el fracaso de llevar estas estrategias a la práctica, la falta de planeación y de visión de futuro, entre otros limitantes, han hecho que los resultados sean precarios e incluso nulos, lo que estanca a los países en el subdesarrollo. Este hecho se debe, fundamentalmente, a que las políticas públicas no han apuntado de manera directa al problema central de la pobreza, sino que se han concentrado en atacar la desigualdad y buscar, indirectamente, un bienestar que no se ha logrado. Esto se debe a que la igualdad conlleva, en términos económicos, a que más personas entren al círculo de la pobreza y no viceversa.
En América Latina aún existe la creencia de que es posible lograr altas tasas de crecimiento económico sin atacar los problemas de pobreza y desigualdad. Sin embargo, no se han ideado formas de hacerlo y las cifras lo confirman. La riqueza en esta región del mundo se encuentra concentrada en pocas manos, pues son las élites nacionales, regionales o locales quienes abarcan la mayor parte de la producción y la riqueza. Por ello, los tiempos de alta creación de valor agregado no generan cambios, por sí solos, en el tema de la redistribución ni en la disminución de la pobreza.
Thomas Piketty (2019) , en su libro Capital e ideología, establece que, a pesar de que la población y la renta per cápita se han multiplicado por diez desde el siglo XVIII, dicha evolución no se ha dado de forma proporcional. Aunque la población pobre ha ido mejorando su condición, las grandes rentas y riquezas han crecido mucho más de lo que lo ha venido haciendo la economía de los territorios. Esta se concentra en los más ricos y genera abismales desigualdades que se han convertido en un obstáculo para el desarrollo (Sevilla, 2020). Esto quiere decir que la reducción del número de pobres no indica, necesariamente, una mayor equidad, mucho menos en los deciles en que se divide estadísticamente a la población para comparar a ricos y pobres.
A una conclusión similar llega Sala-i-Martin (2005) , quien afirma que el estudio de la desigualdad no es importante si se considera que todas las personas son diferentes, tienen gustos y apetencias distintas y su felicidad se consigue de diversas maneras. Por ello, las desigualdades por sí mismas no son malas. Lo que sí está mal es que en el mundo existan millones de personas pobres que no puedan alcanzar un nivel de vida digno, lo que pone de manifiesto que el problema fundamental es la pobreza y que, sin importar cuánto tengan los más ricos, se debe procurar que los pobres sean cada vez menos.
2. DESCRIPCIÓN METODOLÓGICA
2.1 La medición de la desigualdad
El problema de la desigualdad ha sido analizado desde hace varias décadas por la ciencia económica. Por esta razón, es diversa la literatura que aborda el análisis de esta problemática como una variable y los procedimientos metodológicos que se aplican para evaluar el grado de concentración de ingresos o inequidad existente en una sociedad. No obstante, la metodología más utilizada o de mayor aceptación en los trabajos empíricos dedicados al estudio de esta temática ha sido la de la Curva de M.O. Lorenz (Medina, 2001), publicada por primera vez en la revista Journal of the American Statistical Association en 1905, y complementada en 1912 por C. Gini, quien la define como “el cociente entre el área delimitada por la curva de Lorenz y la diagonal representativa de la equidad total y, el área comprendida entre las representaciones respectivas de equidad y concentración total” (Ferreira y Garín, 1997, p. 208 ).
Medición tradicional
Según Calva (2012) :
El coeficiente de Gini se calcula como el cociente entre el área comprendida entre la diagonal y la curva de Lorenz (área A en el gráfico) sobre el área bajo la diagonal (área A+B). Si existiera perfecta igualdad, la curva de Lorenz coincidiría con la diagonal, el área A desaparecería y el coeficiente de Gini será “0”, indicando ausencia de desigualdad. (p. 22)
En la figura 1 se evidencia lo anterior.
Si las condiciones cambian y se presenta el caso opuesto al anterior, es decir, en donde el área A existe y hay completa desigualdad entre la diagonal y la curva de Lorenz, “(es decir, una situación donde todo el ingreso sea propiedad de una sola persona), la curva de Lorenz coincidiría con los ejes, el área B desaparecería y el Gini se haría 1, indicando desigualdad total” (Calva, 2012, p. 22 ).
A partir de esta formulación se ofrecieron múltiples maneras de llegar a ella mediante aproximaciones geométricas que distaban por su sencillez e inexactitud o por su complejidad innecesaria.
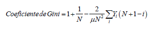
Generalmente se utiliza la siguiente fórmula (ecuación 1) para calcular el coeficiente de Gini:
Dónde: i indexa a las personas o grupos de personas, N es el número de personas o estratos de ingreso, μ indica el ingreso medio e Yi el ingreso de la persona o estrato i. Para los cálculos en deciles N=10 e i=1 para el decil más pobre. Puede aplicarse para datos agregados (hogar) o desagregados (individuo-medida de bienestar individual). Se decide utilizar el ingreso per-cápita como una medida de bienestar individual. (Medina, 2001)
Medida alternativa de cálculo del índice de Gini
En esta investigación se propone una medida alternativa del Gini que no requiere agrupaciones de la distribución de ingresos de referencias (X) de la población, sino de su ordenación en forma ascendente. Este indicador permite obtener una medida de desigualdad precisa a través de un sencillo cálculo geométrico para ganar eficiencia frente a las medidas tradicionales.
Sea una distribución de n elementos:
Esta ecuación representa la ordenación ascendente de los ingresos de referencias de una población de n habitantes o miembros.
Se denota por Y la sumatoria del total de los ingresos de referencia de la población:
Ahora se obtiene la participación porcentual de cada uno de los miembros de la población (yi) en el ingreso total:
Si además se obtiene la frecuencia acumulada de ingresos en términos porcentuales de cada miembro de la sociedad, se tiene:
Lo anterior se aplica en el siguiente ejemplo hipotético (tabla 1):
Tabla 1 Ejemplo de distribución de ingresos
| I | %P | xi | yi | Yi |
|---|---|---|---|---|
| 1 | 25 % | 80 | 7,6 % | 7,6 % |
| 2 | 50 % | 120 | 11,4 % | 19,0 % |
| 3 | 75 % | 250 | 23,8 % | 42,9 % |
| 4 | 100 % | 600 | 57,1 % | 100,0 % |
Fuente: elaboración propia.
Donde %P representa el porcentaje de la población respecto a i, xi la cantidad de ingreso de referencia que posee la persona i, ordenados de manera ascendente, yi la participación porcentual del ingreso (xi) de cada miembro de la población en el ingreso total (Y) y Yi la frecuencia acumulada del ingreso en términos porcentuales.
El gráfico resultante se muestra en la figura 2.
El coeficiente de Gini puede ser calculado a partir de la ecuación 6.
El área B puede obtenerse mediante la determinación y suma geométrica de las áreas que la conforman (ver figura 3).
La notación matemática es la siguiente:
Factorizando,
Si se sabe que el área total del recuadro (parte inferior + parte superior de la línea de equidad perfecta) es igual a 1, A + B = 0,5, de donde reemplazando en(6), se tiene:
Por tanto,
Además, se puede obtener tener una medida complementaria de la desigualdad en términos del porcentaje de riqueza que ostenta el 1 %, 5 %, 10 % o 20 % más prominente de una sociedad.
2.2 Medición de la pobreza
En la práctica, cada país tiene diversas metodologías para medir la pobreza. Por ello, aunque publiquen dichas cifras de manera periódica, no pueden ser comparables entre sí, dadas las variables que utilizan, las ponderaciones y los diversos métodos. Al respecto, mencionan Ortiz y Núñez (2019) :
En un intento de comparabilidad internacional, el Banco Mundial ofrece una metodología basada en la obtención de personas que viven con unos ingresos por día inferiores a 3,1 dólares estadounidenses de 2011 PPA (paridad de poder adquisitivo), según la riqueza del país. (p. 275)
No obstante, la dificultad radica en la pertinencia y exactitud con que estas cifras puedan ser comparadas, pues el mismo banco está de acuerdo en que es una metodología que sirve solo para realizar estimaciones de carácter regional y mundial.
Los países en desarrollo, por lo general, calculan la pobreza monetaria teniendo en cuenta la línea de pobreza absoluta; en cambio, los países desarrollados lo hacen siguiendo la línea de pobreza relativa. Cada vez más países se suman a tomar como oficial una medida multidimensional de la pobreza, pero muy pocos usan la medida subjetiva de la pobreza:
Por lo anterior, se hace cada vez más urgente el planteamiento de una medida global de pobreza que vincule en su cálculo el carácter relativo de tiempo y espacio del fenómeno, el grado de desarrollo de los países y sobre todo el carácter multifacético, que lo vuelva comparable de forma internacional y evaluable en el tiempo. (Ortiz y Núñez, 2019, p. 277 )
En ese sentido, el presente artículo toma como referencia el índice global de pobreza (IGP) propuesto por Ortiz y Núñez en el año 2019. Esta investigación está direccionada a buscar un indicador único del fenómeno de la pobreza, de manera que integre los componentes monetario, de condiciones de vida y el carácter subjetivo de la misma a partir de los aportes y avances internacionales y la relatividad del concepto (ver tabla 2).
Tabla 2 Metodología de cálculo índice global de pobreza
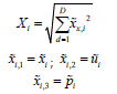
I= Subíndice del hogar en análisis. I=1, 2, 3,….N.; N= total de hogares en estudio; IDH= Índice de Desarrollo Humano; X~ =Mediana de los Ingresos de Referencia de la Sociedad; z =Línea de Pobreza Normalizada en 0,5; x~i = Ingreso de referencia normalizado del hogar i; j = Subíndice de la variable en análisis. J=1, 2, 3,.. J.; J= total de variables de condiciones de vida en estudio; stij = Toma el valor de 1 si el hogar está satisfecho en la variable j; ui = Vector de satisfacciones ponderadas del Hogar i; ci = Vector de privaciones ponderadas del Hogar i; wj =ponderador de la variable j; ui =Valoración normalizada de las condiciones de vida del hogar i; j= Valoración subjetiva de pobreza. J=1, 2, 3,….J.; J= total de valoraciones subjetivas en estudio; pi =Valoración normalizada subjetiva del hogar i; i X = Indicador global de pobreza del hogar i según combinación de tipologías o dimensiones (d) analizadas; d= dimensión de análisis; d=1, 2…D; D= total dimensiones o tipos de pobreza en análisis. Ej: d=1= PEM; d=2= PCV; d=3=PSJ; i,d xZ =Medida normalizada unidimensional de pobreza del hogar i, en la dimensión d; d Z = Línea o umbral de Pobreza normalizada de la tipología o dimensión (d) en estudio; ≡Z = Línea o umbral de Pobreza Global. Corresponde al rayo que intersecta el origen Euclídeo con el valor máximo de cada Línea de pobreza en estudio. Cuando D=1, Z ≡ Es igual al valor de la recta que parte del origen hasta Z . Cuando D=2, Z ≡ Es igual al rayo que une el origen con la intersección de las dos líneas de pobreza en estudio, formando un semicírculo. Por su parte, cuando D=3, Z ≡ Es igual al rayo que une el origen con la intersección de las tres líneas de pobreza en estudio, formando un semiglobo” (Ortiz & Núñez, 2019: 279-284 ).
Fuente: Ortiz y Núñez (2019) .
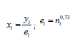
Este IGP combina en el espacio euclídeo las tres medidas de pobreza ya descritas y aplica ajustes a las mismas con el fin de superar sus limitaciones y volverlas más comparables. Para el cálculo de la pobreza económica monetaria, esta propuesta parte de la escala de equivalencia (e=n0,73) de la OCDE, asimilada a la escala uniparamétrica de Buhman et al. (1988) , y propone una línea híbrida cuyo valor se mueve entre el 60 % de la mediana de los ingresos de referencia y el 60 % del salario mínimo interprofesional. Por este motivo es posible su utilización para cualquier contexto-tiempo y hacer comparables los resultados.
Para la medición de la pobreza a partir del análisis de las condiciones de vida, como una adaptación del índice de pobreza multidimensional, Alkire y Foster (2007)
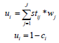
propone un método de identificación de la pobreza en el cual, en primer lugar, se determina a partir del contraste con los umbrales de cada indicador, si el hogar o persona de referencia ha superado la carencia (st) o no, para después agregar en forma algebraica las ponderaciones asignadas (wj) a cada uno de los indicadores una vez verificada la satisfacción. De esta forma, cada unidad de análisis (hogar o persona) obtendrá una puntuación equivalente a la suma de las ponderaciones de aquellos indicadores en los cuales se encuentra por encima de los umbrales mínimos requeridos. (Alkire y Foster, 2007, citado en Ponce, 2018, p. 100 )
Cabe precisar que las ponderaciones (wj) no se asignan de forma caprichosa ni según el peso relativo de los indicadores, sino como la relación funcional inversa entre el sistema de ponderaciones y las frecuencias correspondientes a las satisfacciones de los hogares propuesta por Dagum, Gambassi y Lemmi (1991) y ajustada por Domínguez y Núñez (2013) , es decir,
3. ANÁLISIS DE DATOS
Las cifras utilizadas para la presente investigación provienen de la Encuesta Nacional de Calidad de Vida, en adelante ECV, aplicada por el Departamento Administrativo Nacional de Estadística (DANE). Esta encuesta se ha configurado como una de las principales fuentes de información socioeconómica con la que cuenta el país. Además de permitir calcular indicadores económicos y sociales, posibilita relacionar y analizar los determinantes de tipo causal de la conducta de estos aspectos, en particular de las dimensiones de bienestar de las viviendas, hogares y personas colombianas, así como la posibilidad de acceder a bienes y servicios públicos y privados, salud, educación, servicios de cuidado a la primera infancia, aspectos de pobreza y desigualdad, entre otros (DANE, 2019). De esta manera, permite, además, el diseño e implementación de políticas públicas y permanente seguimiento de las mismas.
El tipo de operación estadística se enmarca en una encuesta por muestreo de carácter probabilístico, cuyo universo de estudio está constituido por toda la población civil residente en todo el territorio colombiano: “la población objetivo no tiene en cuenta parte rural de los nuevos departamentos y se divide en nueve dominios; Bogotá, D.C., Antioquia, Valle, Región Atlántica, Región Oriental, Región Central, Región Pacífica, San Andrés y Orinoquía-Amazonía” (DANE, 2009).
La encuesta se encuentra clasificada en catorce módulos que contienen información sobre individuos, hogares y viviendas así:
a) identificación y control del encuestado, b) datos de vivienda, c) datos delhogar, d) características y composición del hogar, e) salud, f) cuidado de niños y niñas menores de cinco años, g) fecundidad, h) educación, i) fuerza de trabajo, j) seguridad alimentaria, k) tenencia y financiación de la vivienda que ocupa el hogar, l) condiciones de vida del hogar, m) gastos de los hogares y n) componente rural; y la definición de la muestra atiende al tipo de muestreo probabilístico, estratificado, con criterios de estratificación, multietápico y de conglomerados. (DANE, 2009)
El nivel de confiabilidad establecido en la encuesta es del 95 %, con un error de muestreo asociado del 5 %.
Para la medición del coeficiente de Gini, a partir de la metodología propuesta de manera previa, se utilizaron los datos de los 398.862 hogares presentes en la ECV para los años 2011 a 2019.
4. RESULTADOS
4.1 La desigualdad en Colombia
Los datos sobre desigualdad en Colombia se presentan en la tabla 3. Allí aparecen los cálculos de la metodología propuesta en la distribución de ingresos para cálculo de pobreza económica monetaria (PEM) desarrollado por Ortiz y Núñez (2019) . También se encuentra el cálculo del Gini para la población pobre de Colombia (q), el Gini oficial de Colombia ofrecido por el DANE y la participación que ostentan los ingresos más altos del país (% PIA).
En la tabla 3 se observa que se ha reducido la desigualdad en Colombia según cifras oficiales pasando el Gini DANE, desde 0,548 en 2011 a 0,526 en 2019. En contraste se encuentran los datos del Gini obtenido por esta investigación y la participación de los ingresos más altos en el país sobre los ingresos totales donde se advierte un descenso hasta 2016 y luego asciende en los años posteriores. Cuando se grafican los resultados se evidencia la correspondencia del Gini propuesto con la participación de los ingresos más altos del país (ver figura 4).
Tabla 3 Medidas de desigualdad en Colombia 2011-2017
| Desigualdad | 2011 | 2012 | 2013 | 2014 | 2015 | 2016 | 2017 | 2018 | 2019 |
|---|---|---|---|---|---|---|---|---|---|
| Gini_Dane | 0,548 | 0,539 | 0,539 | 0,538 | 0,522 | 0,517 | 0,508 | 0,517 | 0,526 |
| Gini_PEM | 0,556 | 0,542 | 0,533 | 0,534 | 0,536 | 0,526 | 0,544 | 0,538 | 0,543 |
| Gini_q | 0,269 | 0,277 | 0,254 | 0,257 | 0,238 | 0,267 | 0,277 | 0,289 | 0,290 |
| 1 % PIA | 13,9 % | 13,0 % | 12,6 % | 15,2 % | 14,0 % | 12,5 % | 14.1 % | 12,4 % | 13,2 % |
| 5 % PIA | 35,2 % | 30,9 % | 30,2 % | 31,8 % | 32,0 % | 30,1 % | 32,0 % | 30,2 % | 31,0 % |
| 10 % PIA | 44,8 % | 42,9 % | 42,3 % | 43,2 % | 43,6 % | 42,0 % | 43,8 % | 45,2 % | 43,1 % |
| 20 % PIA | 60,1 % | 58,5 % | 57,9 % | 58,0 % | 58,4 % | 57,2 % | 58,8 % | 58,1 % | 58,5 % |
Fuente: elaboración propia a partir de la ECV DANE 2011-2019.

Fuente: elaboración propia a partir de la ECV DANE 2011-2017.
Figura 4 Desigualdad en Colombia 2011-2019
La figura 4 muestra perfecta correlación entre la desigualdad hallada con el Gini alternativo y la desigualdad en términos de los que ostentan el 20 % de los ingresos más altos del país. Se evidencia el ascenso de la desigualdad para Colombia en los últimos años, contrario a lo manifestado por la autoridad nacional en estadística que solo hasta 2018 y 2019 reconoce un crecimiento de la desigualdad en el país. La desigualdad expresada en los demás porcentajes de participación de los ingresos más altos del país (%PIA) 1 %, 5 % y 10 % van en la misma dirección del 20 % PIA.
Los datos también advierten de una desigualdad menor en la población pobre (según la clasificación del DANE) del país en casi la mitad de la desigualdad del total de la población. Esto se puede evidenciar en los tamaños de las áreas de concentración (A) situadas entre las líneas de equidistribución y las curvas de Lorenz respectivas (figura 5).

Fuente: elaboración propia a partir de la ECV DANE 2011-2019.
Figura 5 Desigualdad por curvas de Lorenz en Colombia 2011-2019
De lo anterior hay que decir que aun utilizando la misma metodología alternativa de cálculo entre los dos grupos escogidos, total poblacional y pobres, el dato de desigualdad para los segundos es mucho menor que el de los primeros, lo que demuestra que el fenómeno de la desigualdad desciende a medida que se toman grupos poblacionales con mayores privaciones o peores condiciones de vida y por ende de ingresos. El Gini de los pobres, por tanto, devela mayor igualdad a un nivel bajo de ingresos y una cierta homogeneidad entre quienes poseen poco y cuyas carencias limitan el completo desarrollo de sus capacidades (mayor pobreza implica mayor igualdad).
4.2 Desigualdad y pobreza en Colombia
Colombia se configura como uno de los territorios de América Latina con altos índices de desigualdad en la distribución del ingreso, considerando las significativas diferenticas espaciales que aportan en diversas dimensiones a tan elevados indicadores (Sánchez, 2017). Todo indica que el punto de atención debería centrarse en aquella población que se encuentra por debajo de las condiciones establecidas como mínimas para lograr la subsistencia, es decir, la población pobre.
Anderson sostenía en 1964 que, a lo largo del tiempo, el fenómeno de la pobreza sería menos sensible al proceso de crecimiento económico. En otras palabras, este fenómeno obedece a la premisa de que, aun cuando el crecimiento ayuda a menguar la pobreza, “los grupos más vulnerables se van quedando fuera de juego, pues les cuesta aprovechar las oportunidades creadas por dicho crecimiento en forma de nuevos empleos” (Ahamdanech, 2010). Este aspecto coincide con Okun en el sentido de que la presencia de un trade-off entre la eficiencia y la equidad es posible en la medida en que la búsqueda de eficiencia excluye a los menos cualificados y ahonda en la desigualdad (mayor crecimiento implica mayor desigualdad).
Como explicación de los diferentes conceptos y de la alternativa de medición desarrollada a lo largo de este documento, se muestra el análisis de desigualdad y el índice Global de Pobreza (IGP) desarrollado por Ortiz y Núñez (2019) . En este caso se usa el indicador de desigualdad correspondiente a la participación del 5 % de ingresos más altos en el país, toda vez que se demostró su perfecta correlación con el indicador Gini desarrollado en la metodología alterna (figura 6).

Fuente: elaboración propia a partir de la ECV DANE 2011-2019 y Ortiz y Núñez (2019) .
Figura 6 Desigualdad y pobreza en Colombia 2011-2019
En la figura 6 se evidencia la relación compleja e inestable entre desigualdad y pobreza en Colombia, en el sentido de que, en determinados periodos, aumentos en la pobreza develan reducciones en la desigualdad, pero lo contrario en otros periodos. Esta situación es coherente con lo planteado a lo largo de esta investigación, donde invita a premiar la lucha sobre la pobreza antes que sobre la desigualdad, en el entendido de que menor pobreza, aun con mayores niveles de desigualdad, es más relevante como política pública para el mejoramiento de las condiciones de vida de todos en el planeta.
En este sentido, en el contexto internacional, a partir de 1990 el Programa de las Naciones Unidas para el Desarrollo (PNUD) reconoció la necesidad de estudiar la pobreza más allá del ingreso/gasto; para ellos, “el desarrollo humano es un proceso de ampliación de las opciones de las personas” (Dubois, 2006, p. 7 ). Por otra parte, desde 1997 el Banco Mundial enfatizó que la pobreza es un fenómeno multidimensional. En el año 2000, 147 jefes de Estado firmaron la declaración del milenio (ODM) que revalidó el compromiso de esos gobiernos para combatir la pobreza desde el enfoque multidimensional” (Ortiz y Núñez, 2019, p. 268 ).
En ese mismo sentido y evaluando instrumentos de política pública con objeto de mitigar el fenómeno de la pobreza, “fueron consideradas ocho dimensiones relacionadas con el desarrollo humano para la lucha contra ella” (Pérez, Damián y Salvadori, 2013).
Esta misma iniciativa fue reeditada el 25 de septiembre de 2015 por 197 líderes mundiales con la misión de poner fin a la pobreza en todas sus formas en todo el mundo a 2030, como el primero de 15 objetivos de desarrollo sostenible (ODS). (Ortiz y Núñez, 2019, p. 268 )
En adición, y tomando los datos de pobreza monetaria y desigualdad de 74 países por el Banco Mundial en los años 2018 y 2019, se evidencia la presencia de la curva de Kuznets que ratifica que en los extremos del desarrollo persisten ciertos niveles de igualdad. Asimismo, en el centro, donde se ubican los países en vías de desarrollo, la desigualdad es más elevada (ver figura 7). Por lo tanto, más que en la desigualdad, las políticas públicas deben enfocarse en atacar la pobreza de los países para dar el salto a mayores niveles de desarrollo y con ello a menores niveles de desigualdad.
CONCLUSIONES
Los resultados presentados a lo largo de este estudio ponen de manifiesto que si bien la desigualdad ha sido una temática ampliamente estudiada a lo largo y ancho del mundo, no representa, por sí misma, un problema para la sociedad. A diferencia de lo que argumenta la Cepal, el fenómeno de la pobreza es la situación que debe ser analizada desde todas sus esferas, pues las políticas propuestas para mejorar la calidad de vida de los habitantes de un territorio en particular, o del mundo en general, deben estar direccionadas a combatirla.
Analizar los conceptos de desigualdad y pobreza, así como la basta literatura que existe alrededor de cada temática, posibilita entender que el dilema entre las dos realmente no existe si se estudian de manera puntual las consecuencias que cada una deriva. Por un lado, la desigualdad ha sido tomada como una problemática que, en el fondo, no tiene grandes repercusiones sobre la calidad de vida de las personas, pues es menester considerar que no todos tienen las mismas capacidades, intereses, gustos, etc. que conlleven a una igualdad absoluta. Po otro lado, la pobreza es uno de los grandes males que apremian a millones de personas en el mundo y que tiene que encabezar la agenda de intervención y política pública por parte de los gobiernos y las organizaciones internacionales.
Sin adentrarnos en cuestiones sociales, políticas o culturales y retomando la desigualdad desde la esfera económica como posible hilo conductor de las demás esferas, esta investigación desarrolla una metodología Gini de fácil aplicación y de mayor proximidad al fenómeno que desea medir. Los resultados obtenidos a partir del análisis de datos de Colombia de 2011 a 2019 dan cuenta de una relación compleja entre desigualdad y pobreza. La investigación también pudo evidenciar que, en los sectores más pobres de la población, la desigualdad es menor; es decir, que entre más esfuerzos se realicen por mitigar la desigualdad, se tiende a igualar en situaciones de pobreza y no al revés.
La disyuntiva entre pobreza y desigualdad conlleva a afirmar que lo trascendental es conducir la lucha hacia aquellos que están bajo la línea de la pobreza para que superen dichas condiciones y alcancen un estándar de vida adecuado, satisfagan sus necesidades básicas y gocen de mayor bienestar. Los datos demuestran que la igualdad está presente en los extremos del espectro del bienestar o desarrollo y que la desigualdad está en sus partes intermedias. Por tanto, direccionar la lucha a combatir la desigualdad de manera desmedida en los territorios conlleva a su población, de forma inexorable, a los niveles inferiores del bienestar, es decir, a la pobreza.

































