Services on Demand
Journal
Article
Indicators
-
Cited by SciELO -
Access statistics
Related links
-
Cited by Google -
Similars in
SciELO -
Similars in Google
Share
DYNA
Print version ISSN 0012-7353
Dyna rev.fac.nac.minas vol.83 no.199 Medellín Dec. 2016
https://doi.org/10.15446/dyna.v83n199.54031
DOI: http://dx.doi.org/10.15446/dyna.v83n199.54031
Study of surface movement of a shallow-multilayered soil under P-waves
Estudio del movimiento superficial de un suelo multi-capas poco profundo sometido a ondas P
Víctor H. Aristizábal-Tique a,e, Camilo A. Flórez-Velásquez b, Santiago Pérez-Echavarría b, Marlon Rincón-Fulla c,d, Juan L. Palacio-Bedoya c, Iliana M. Ramírez-Velásquez e & Francisco J. Vélez-Hoyos a
a Facultad de Ingeniería, Universidad Cooperativa de Colombia, Medellín, Colombia. vharisti@yahoo.com, fjvelezh@gmail.com
b Facultad de Telecomunicaciones, Universidad Santo Tomás, Medellín, Colombia. camilo.florez@ustamed.edu.co, santiago.perezechavarria@gmail.com
c Facultad de Ingeniería, Institución Universitaria Pascual Bravo, Medellín, Colombia. marlonfulla@yahoo.com, jlpalaci@gmail.com
d Escuela de Física, Universidad Nacional de Colombia, Medellín, Colombia. marlonfulla@yahoo.com
e Facultad de Ciencias Exactas y Aplicadas, Instituto Tecnológico Metropolitano, Medellín, Colombia. vharisti@yahoo.com, ilianaramirez@itm.edu.co
Received: November 8th, 2015. Received in revised form: September 15th, 2016. Accepted: October 3th, 2016.
This work is licensed under a Creative Commons Attribution-NonCommercial-NoDerivatives 4.0 International License.
Abstract
In this work it was designed and implemented an experimental setup to study the surface acceleration of a multilayered soil and the experimental measurements were contrasted with a one-dimensional theoretical model based on ray tracing. For this purpose, a soil was suited, where tiles and expanded polystyrene (EPS) slabs were buried. This soil was disturbed by a sound wave at normal incidence from a subwoofer. In experiment were obtained resonance frequencies which are according to the studied theoretical model.
Keywords: Soil exploration, surface soil movement, soil vibration, buried plates, seismic waves, elastic waves, multilayer soil.
Resumen
En este trabajo se diseñó e implementó un montaje experimental para estudiar la aceleración superficial de un suelo formado por capas y se contrastaron las mediciones experimentales con un modelo teórico unidimensional de trazado de rayos. Para tal fin se preparó un suelo donde fueron enterradas placas de poliestireno expandido (EPS: Expanded PolyStyrene) y baldosas. Dicho suelo fue perturbado por una onda acústica bajo incidencia normal proveniente de un parlante. En el experimento se obtuvieron frecuencias de resonancia que están de acuerdo con el modelo teórico estudiado.
Palabras clave: Exploración de suelo, movimiento superficial de suelo, vibración de suelo, placas enterradas, ondas sísmicas, ondas elásticas, suelo multicapas.
1. Introducción
El estudio de la propagación de ondas mecánicas en el suelo sigue siendo un tema de interés investigativo a nivel mundial y las aplicaciones de los resultados de estas investigaciones se han traducido en técnicas para la detección de discontinuidades físicas en el subsuelo (cavidades vacías o con diversos fluidos y materiales, cambios de densidad en sistemas de capas, objetos enterrados, etc.) [1], que son ampliamente utilizadas en los sectores Metalúrgico y de Combustibles Fósiles [2,3], en Ingeniería Civil y de Construcción [4-8], en los sectores de la Arqueología y las Ciencias Forenses [9], y en el ámbito militar para el desminado [10-14].
Una de las técnicas para la prospección de subsuelos ha sido la relacionada con el registro de patrones de ondas sísmicas generadas arbitrariamente, mediante un agente perturbador como una fuente de ondas elásto-acústicas [2,5-7,9,11,12,15]. El patrón de las vibraciones medidas sobre un punto de la superficie del suelo, producidas por la dinámica de la propagación de las ondas elásticas cuando interactúan con las discontinuidades presentes en el subsuelo, puede ser predicho a partir del uso de modelos de parámetros distribuidos regido por la ecuación de onda elástica en medios homogéneos e isotrópicos o ecuación de Navier [16] así como en medios inhomogéneos y anisotrópicos [17], o por la ecuación de propagación de ondas en medios porosos de Biot [18].
Debido a la complejidad asociada a la ecuación de onda elástica y a la dificultad inherente en la descripción detallada del tensor que representa un medio de propagación real, existen muy pocas soluciones analíticas a las ecuaciones mencionadas y es necesario recurrir al empleo de métodos numéricos como los elementos finitos [19], el uso del método de la Transformada pseudo-espectral de Fourier [20,21], o los métodos de estimación de las derivadas espaciales y temporales como las diferencias finitas, entre otros [21].
Otra posible vertiente de análisis de la dinámica de la propagación de una onda sísmica en un suelo compuesto por diversas capas y discontinuidades es el empleo de la teoría de rayos como solución aproximada de la ecuación de onda elástica [22], que evidencia de una forma elemental los fenómenos presentes en la propagación de ondas sísmicas tales como la refracción, la reflexión y la interferencia como consecuencia de la estructura de capas del suelo. Si la longitud de la onda sísmica en estado estacionario es inferior a las dimensiones del sistema bajo estudio (suelo multicapa + cavidad), entonces la ecuación de onda elástica se puede aproximar asintóticamente a la ecuación de la Eikonal, cuya solución se puede estimar empleando trazado de rayos geométricos superpuestos en la región de interés. La representación de ondas por medio de rayos facilita el modelamiento físico-matemático y el entendimiento fenomenológico de la propagación, lo que a su vez permite introducir e identificar parámetros escalables y dominantes en un modelo físico de partida.
2. Configuración y modelo experimental
En este trabajo se diseñó e implementó un montaje experimental para estudiar el desplazamiento y la aceleración superficial de un suelo, el cual fue adecuado para que su comportamiento se aproxime al de un semi-espacio (ver Fig. 1). En dicho suelo se enterraron placas de diferentes materiales (baldosa y poliestireno expandido (EPS)) a profundidades dadas, tal como se muestran en las Fig. 2(a), 2(b), para luego hacer incidir de forma perpendicular una onda acústica emitida por un parlante (ver Fig. 3).
La Fig. 4 muestra el esquema del montaje experimental. Inicialmente se genera una señal eléctrica sinusoidal a través de un generador de onda, esta pasa por un amplificador de potencia de audio para alimentar directamente a un parlante, generando de esta manera, la onda acústica normal a la superficie del terreno (ver Fig. 3), donde se encuentra enterrado el objeto, bien sea la baldosa o la placa de EPS (ver Fig. 2(a), 2(b)). Las vibraciones mecánicas de la superficie son sensadas por un módulo acelerométrico triaxial desarrollado por el grupo de trabajo con base en una fuente consultada [12], el cual es alimentado por una fuente de voltaje DC variable. Las tres señales acelerométricas dadas por el dispositivo son tomadas por una tarjeta de adquisición y guardadas finalmente en un computador para ser procesadas posteriormente.
Nótese en la Fig. 3 el uso de un sonómetro para medir la presión acústica. Esta medida se hizo en función de la frecuencia de la señal eléctrica, lo que permite estimar la fuerza acústica sobre la superficie del suelo donde está actuando directamente el parlante, y así estimar la ganancia del sistema, o lo que es lo mismo su función de transferencia, que se define en la siguiente sección.
Los datos experimentales obtenidos bajo las condiciones descritas en esta sección son contrastados con los obtenidos mediante un modelo analítico unidimensional que se describe en la siguiente sección, el cual asume el problema como un sistema de varias capas, donde los materiales son elásticos y homogéneos, y las ondas incidentes y propagadas son planas.
3. Modelo de trazado de rayos
Inicialmente se estudia el caso de una onda P,
, incidiendo desde el medio 0 normal a la superficie de la discontinuidad, de la cual una parte se refleja,
, y otra se transmite,
, al medio 1, tal como se muestra en la Fig. 5. Aquí
con
es el número de onda, donde
es la longitud de onda,
es la velocidad de propagación de la onda y
es la densidad volumétrica de masa del medio
, respectivamente.
es la frecuencia angular y
la frecuencia de la onda.
y
son llamados los coeficientes del reflexión y transmisión desde el medio 0 al 1, respectivamente. El factor
se omitirá de aquí en adelante.
En el problema de la Fig. 5 se debe cumplir que los campos de desplazamientos y tracciones deben ser continuos en
, es decir,

Al aplicar las condiciones de frontera (1) y (2) a las ecuaciones que se muestran en la Fig. 5 se obtiene que

Ahora se propone un modelo unidimensional para estudiar el problema descrito en la sección 2, el cual consta de 4 regiones: aire
-suelo
-objeto
-suelo
, tal como se muestra en la Fig. 6. En la Fig. 7 se muestran los rayos (ondas P o longitudinales) que surgen en las diferentes capas al incidir normalmente una onda acústica desde el aire. Los coeficientes de reflexión y transmisión, que se muestran en la Fig. 7, están dados por:

donde
y
pueden tomar valores de
.
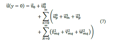
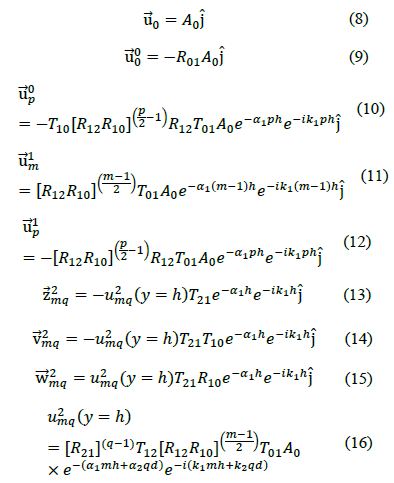
Entonces, para hallar el campo de desplazamiento en la superficie del suelo se hace el trazado de todos los rayos hasta la superficie aire-suelo para tener en cuenta las contribuciones de todas las ondas que llegan a
(ver Fig. 7), obteniéndose:

donde

con
,
y
siendo
; donde
y
son los factores de atenuación de las ondas en los medios 1 y 2, respectivamente.
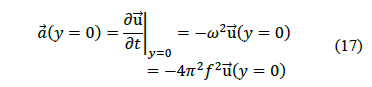
Calculando la aceleración en la superficie para un campo armónico en el tiempo se obtiene:

y la fuerza aplicada por el parlante sobre la superficie del suelo:

donde
es la tensión principal en
sobre la superficie, la cual coincide con la presión acústica emitida por el subwoofer.
es el área donde actúa la onda acústica sobre la superficie, la cual es aproximadamente igual al área del subwoofer debido a que este está cerca al suelo (ver Fig. 3), siendo
el radio del subwoofer.
Finalmente, se define la ganancia (o función de transferencia) del sistema como

4. Resultados y discusión
Para el modelo se tomaron los parámetros de las Tablas 1 y 2, los cuales se remplazaron en la expresión (19). Los coeficientes de atenuación,
y
, se tomaron cero debido a que la posición de los picos de resonancia no cambiaban con ellos, solo sufrían una leve atenuación para los valores de
y
usados. De otro lado, en el modelo teórico se encontró que la posición de los picos de resonancia cambia ante la diferencia de densidad entre el material enterrado y el suelo. Así, la posición de estos picos es altamente sensible al valor de la velocidad de propagación de la onda longitudinal en el suelo (en la primera capa) y a la profundidad
del objeto enterrado. En el modelo se fijaron las profundidades dado que se midieron directamente en campo y se probaron diversos valores de
obteniendo gran cercanía con los datos experimentales cuando
, tal como se muestra en la Fig. 8.
5. Conclusiones
En este trabajo se diseñó e implementó un montaje experimental con un alto comportamiento unidimensional para la determinación de discontinuidades en el suelo, donde la reflexión, refracción e interferencia de las ondas elasto-acústicas son los efectos dominantes. Dichos efectos son generados por la discontinuidad suelo-objeto y los cambios de fase que se producen por la profundidad de las discontinuidades, los cambios de densidad y de velocidad de propagación de las ondas en los diferentes medios. El modelo teórico basado en trazado de rayos permitió un mejor entendimiento físico y la identificación de los parámetros dominantes del problema, y por medio del manejo de dichos parámetros fue posible reproducir gran parte de los resultados experimentales.
Agradecimientos
V.H. Aristizabal and F.J. Velez agradecen el apoyo financiero de la Universidad Cooperativa de Colombia mediante el proyecto con código O44-1044. C.A. Flórez and S. Pérez agradecen el apoyo financiero de la Universidad Santo Tomás. M.R. Fulla and J.L. Palacio agradecen el apoyo financiero de la Institución Universitaria Pascual Bravo mediante el proyecto con código IN201403.
Referencias
[1] Srdanovic, V., Aristizabal, V.H., Fulla, M.R. and Florez, C.A., Ondas sísmicas y sensores inalámbricos: herramientas potenciales para la prospección de subsuelos a baja profundidad. Cintex, 17, pp. 80-95, 2012. [ Links ]
[2] Shu, S., Xiong, J., Ma, C. and Tang, Y., A small-scale wireless transmission network attached to largescale seismic acquisition and recording system. International Conference on Automatic Control and Artificial Intelligence (ACAI 2012), pp. 292-295, 2012. DOI: 10.1049/cp.2012.0976 [ Links ]
[3] Savazzi, S., Spagnolini, U., Goratti, L., Molteni, D., Latva-Aho, M. and Nicoli, M., Ultra-wide band sensor networks in oil and gas explorations. IEEE Communication Magazine, 51(4), pp. 150-160, 2013. DOI: 10.1109/MCOM.2013.6495774 [ Links ]
[4] Otálvaro, I. and Nanclares, F., Seismic site response evaluation for the Medellín aragón area. DYNA, 75(156), pp. 147-155, 2008. [ Links ]
[5] Ryden, N. and Mooney, M.A., Analysis of surface waves from the light weight deflectometer. Soil Dynamics and Earthquake Engineering, 29(7), pp. 1134-1142, 2009. DOI: 10.1016/j.soildyn.2009.01.002 [ Links ]
[6] Sun, J. and Wen, J., Target location method for pipeline pre-warning system based on HHT and time difference of arrival. Measurement, 46 (8), pp. 2716-2725, 2013. DOI: 10.1016/j.measurement.2013.04.059 [ Links ]
[7] Muggleton, J.M., Brennan, M.J. and Rogers, C.D.F., Point vibration measurements for the detection of shallow-buried objects. Tunnelling and Underground Space Technology, 39, pp. 27-33, 2014. DOI: 10.1016/j.tust.2012.02.006 [ Links ]
[8] Muggleton, J.M. and Papandreou, B., A shear wave ground surface vibration technique for the detection of buried pipes. Journal of Applied Geophysics, 106, pp. 164-172, 2014. DOI: 10.1016/j.jappgeo.2014.04.021 [ Links ]
[9] García-García, A., Levey, M.D. and Watson, E.B., High resolution seismic study of the Holocene infill of the Elkhorn Slough, central California. Continental Shelf Research, 55, pp. 108-118, 2013. DOI: 10.1016/j.csr.2013.01.012 [ Links ]
[10] Xiang, N. and Sabatier, J.M., An experimental study on antipersonnel landmine detection using acoustic-to-seismic coupling. Journal of the Acoustical Society of America, 113(3), pp. 1333-1341, 2003. DOI: 10.1121/1.1543554 [ Links ]
[11] Scott, W.R., Martin, J.S. and Larson, G.D., Experimental model for a seismic landmine detection system. IEEE Transaction on Geoscience and Remote Sensing, 39(6), pp. 1155-1164, 2001. DOI: 10.1109/36.927432 [ Links ]
[12] Bulletti, A., Valentini, S., Cioria, F., Borgioli, G., Calzolai, M., Capineri, L. and Masotti, L., Silicon micromachined accelerometers for the detection of compliant anti-personnel landmines. Proceedings of the seventh IEEE Sensors conference (IEEE Sensors 2008), pp. 1159-1162, 2008. DOI: 10.1109/ICSENS.2008.4716647 [ Links ]
[13] Cardona, L., Jiménez, J. and Vanegas, N., Landmine detection technologies to face the demining problem in antioquia. DYNA, 81 (183), pp. 115-125, 2014. DOI: 10.15446/dyna.v81n183.37441 [ Links ]
[14] Cardona, L., Jiménez, J. and Vanegas, N., Nuclear quadrupole resonance for explosive detection. Ingeniare, Revista Chilena de Ingeniería, 23(3), pp. 458-472, 2015. [ Links ]
[15] Albert, D.G., Taherzadeh, S., Attenborough, K., Boulanger, P. and Decato, S.N., Ground vibrations produced by surface and near-surface explosions. Applied Acoustics, 74(11), pp. 1279-1296, 2013. DOI: 10.1016/j.apacoust.2013.03.006 [ Links ]
[16] Middleton, G.V.G. and Wilcock, P.R., Mechanics in the Earth and Environmental Sciences. Cambridge: Cambridge University Press, 1994. [ Links ]
[17] Aki, K. and Richards, P.G., Quantitative seismology. Sausalito: University Science Books, 2002. [ Links ]
[18] Biot, M.A., General theory of three-dimensional consolidation. Journal of Applied of Physics, 12(2), pp. 155-164, 1941. DOI: 10.1063/1.1712886 [ Links ]
[19] McCowan, D.W., Dynamic finite element analysis with applications to seismological problems. PhD. Thesis, Pennsylvania State University, USA, 1975. [ Links ]
[20] Buttkus, B., Spectral analysis and filter theory in applied geophysics. Berlin, Heidelberg: Springer Berlin Heidelberg, 2000. [ Links ]
[21] Moczo, P., Kristek, J. and Gális, M., The finite-difference modelling of earthquake motions: Waves and ruptures. United Kingdom: Cambridge University Press, 2014. [ Links ]
[22] Piedrahita-Escobar, C.C., Algunos problemas provenientes de la teoría de rayos aplicada a las ecuaciones de onda sísmica. Revista de Ingeniería de la Universidad Distrital Jose Francisco de Caldas, 18(2), pp. 97-113, 2013. [ Links ]
V.H. Aristizábal-Tique, obtuvo su grado en Ingeniería Física de la Universidad Nacional de Colombia sede Medellín (2004) y una Maestría en Ciencias-Física (2008) de la misma universidad. Actualmente es candidato a Doctor en Ingeniería de la Universidad EAFIT. Es profesor-investigador de tiempo completo y miembro del grupo de investigación TERMOMEC de la Universidad Cooperativa de Colombia. Áreas de trabajo: Simulación electromagnética analítica y computacional, Modelado y simulación de ondas sísmicas, Redes de comunicaciones y de sensores de fibra óptica, Monitoreo y simulación estructural. ORCID: 0000-0002-7880-58839
C.A. Flórez-Velásquez, es Ing. Electricista de la Universidad Nacional de Colombia Sede Medellín. Actualmente se desempeña como profesor- investigador y líder del grupo de investigación METELLIUM de la Facultad de Ingeniería de Telecomunicaciones de la Universidad Santo Tomás Sede Medellín, en las áreas de procesamiento digital de señales y radiocomunicaciones. Actualmente hace parte del grupo de investigación interinstitucional conformado por los grupos METELLIUM de la USTAMED, GICEI de la IUPB y TERMOMEC de la UCC, que trabaja alrededor de la prospectiva sísmica y sus aplicaciones. ORCID: 0000-0002-6357-9449
S. Pérez-Echavarría, es Ing. en Telecomunicaciones de la Universidad Santo Tomás sede Medellín. Actualmente se desempeña como ingeniero de mantenimiento de radio y televisión en la red del Sistema de Medios Públicos de RTVC, Colombia. Áreas de trabajo: Instrumentación, Redes de telecomunicaciones alámbricas e inalámbricas. ORCID: 0000-0003-2142-2563
M. Rincón-Fulla, es profesor de Física Computacional y Física-Matemática en la Universidad Nacional de Colombia Sede Medellín, y de Algoritmos y Programación en la Institución Universitaria Pascual Bravo. Candidato a Doctor en Ciencias-Física, M.Sc. en Ciencias-Física e Ingeniero Físico de la Universidad Nacional de Colombia Sede Medellín. Actualmente es el líder del grupo de investigación en ciencias electrónicas e informáticas -GICEI- de la Institución Universitaria Pascual Bravo. ORCID: 0000-0002-7972-3636
J.L. Palacio-Bedoya, es profesor de electrónica e instrumentación en la Institución Univertaria Pascual Bravo y de Biofísica en la Universidad CES, MSc. Ciencias-Física, Inge. Físico de la Universidad Nacional de Colombia - Sede Medellín. Actualmente es investigador del Grupo de investigación en ciencias electrónicas e informáticas -GICEI- de la Institución Universitaria Pascual Bravo. ORCID: 0000-0003-0613-4301
I.M. Ramírez-Velásquez, es docente asociada de matemáticas y física en la Institución Universitaria Instituto Tecnológico Metropolitano -ITM- de la ciudad de Medellín, MSc. en Automatización y Control Industrial (2012). Miembro del grupo Didáctica y Modelamiento en Ciencias Exactas y Aplicadas del ITM. Los campos de trabajo: procesamiento de imágenes y señales, metrología científica, modelamiento y simulación. ORCID: 0000-0001-9779-4019
F.J. Vélez-Hoyos, es profesor-investigador de la Universidad Cooperativa de Colombia, candidato a Doctor en Ingeniería de la Universidad EAFIT. MSc. en Ciencias-Física (2008) e Ingeniero Físico (2004) de la Universidad Nacional de Colombia. Miembro del grupo de investigación TERMOMEC de la Universidad Cooperativa de Colombia. Áreas de trabajo: Modelamiento Computacional en ciencia e Ingeniería, Física aplicada, Óptica, Ondas, Fibras Ópticas y Sensores. ORCID: 0000-0002-4267-042X























