1. Introduction
Fruits and vegetables are characterized for having essential nutrients and a large variety of phytochemical compounds, like vitamins and dietary fiber, which play a decisive role in the proper functioning of the organism. Their high consumption reduces the risk of chronic diseases. Preventing chronic noncommunicable diseases (CNDs) has become the focus of interest both from public health and from research and technology [1], and it thus that functional foods emerge.
Functional foods have been defined as a new range of processed foods containing biologically active compounds and which upon being included in human diets, offer health benefits or desired physiological effects beyond those provided by basic nutrition [2,3]; representing scientific progress in the field of food science and technology.
Probiotics are functional foods available for consumers in a growing variety of foods, especially non-dairy. All food matrices have unique characteristics that can support the viability of probiotics or become harmful to them. In food applications, the factors that must be kept in mind are the raw materials and additives, the process in itself, the final product, and its properties, storage conditions, and self-life [4].
Numerous studies have been conducted in recent years due to the growing interest in certain fruits and vegetables with high antioxidant power, seeking to potentiate its consumption given its positive effect in the prevention of certain chronic diseases, like some types of cancer, cardiovascular diseases, and neurodegenerative diseases, among others [5].
The Sechium edule chayote is a vegetable of Central American origin that grows in almost any climate and at elevations up to 2000 masl. It is cultivated in traditional manner in many regions of the world, and most intensively and with commercial purposes in Costa Rica, Guatemala, the Dominican Republic, and Mexico [6]. It is estimated that chayote contains approximately 6.42 g of reducing sugars, 1.56 g of starch and 16.42 g of cellulose in 100 g in dry base, which is why it has been used as raw material to obtain ethanol [7]. It contains phytosterols [8], antioxidants [9], vitamin C [10], dietary fiber [11,12], calcium, potassium, besides carbohydrates, proteins, and essential amino acids, which are quite beneficial to health. Although chayote can be used in integral and multiple form, in Colombia there is low human consumption of this product, with poor commercialization, lacking a defined utility for this vegetable; it is occasionally used as food complement for chickens and pigs [12]. The most common use at all levels is as table vegetable or for the elaboration of some industrialized foods, principally in Mexico and Costa Rica. Its physical structure and its characteristics of flavor, aroma, and color permit adding bioactive compounds, like microorganisms, making it a product with functional properties, pleasant and novel for consumers.
Yellow passion fruit, Passiflora edulis, originates from the Amazonian Trapeze, especially from Brazil, being the biggest global producer. The fruit is characterized by its intense flavor and high acidity, reasons why it is used as base for the preparation of industrialized beverages [13,14]. Passion fruit is rich in minerals, like calcium, iron, and phosphorus. It contains vitamins A, B, and C fundamentally and high amounts of niacin [15]. Its composition has revealed serotonin, a potent neurotransmitter, which necessary for the good state of the nervous system and whose deficiency is responsible for pathologies, like depression, certain types of obesity, obsessive behaviors, insomnia, and migraines. Its low fat content makes it quite adequate for weight-loss diets. As well as the other parts of the plant, it has tranquilizing and detoxifying properties, not only due to its vitamin C and niacin contents, but also because of its high content of vitamin A, which becomes beta-carotene and riboflavin. All these elements can grant it anti-cancer properties [16].
The objective of this research was to fortify the S. edule (Jacq.) Sw chayote biological matrix with Lactobacillus casei and flavor it with P. edulis L. passion fruit.
2. Materials and methods
2.1. Selection of the plant material
The Sechium edule (Jacq.) Sw. chayote was collected from a home orchard, located in the municipality of La Tebaida, department of Quindío, at 1200 masl, with a mean temperature of 23 °C and 85% humidity. The P. edulis L. passion fruit in fourth maturation stage was acquired in a local market from the city of Armenia [17]. The chayote and the passion fruit were selected with similar characteristics of color, texture, weight and without apparent mechanical damage, the Lactobacillus casei ATCC 393 was acquired from the supplier Thermo Scientific.
2.2. Preparation of the plant material
The chayote and passion fruit were washed with 500 ppm sodium hypochlorite disinfectant solution, according to the minimum requirements of the Codex Alimentarius for fresh fruits and vegetables [18]. The chayote was peeled and portioned into different geometries: cubes (1 cc), sheets (0.5 x 12 mm), and parallelepipeds (0.5 x 0.5 mm x 4.0 cm). The passion fruit was blended and filtered to remove seeds.
2.3. Preparation of the passion fruit formulations
Three passion fruit formulations were prepared at 25 ºBrix (1,7,5) with the following proportions starting with the direct blending of the fruit without water, removing the seeds through filtering: Formulation 1: 100% pulp v/v; Formulation 7: 75% pulp/25% water v/v; and Formulation 5: 50% pulp/50% water v/v. The pieces of chayote (cubes, sheets, and parallelepipeds) were washed at vacuum impregnation with 5-min pulses, during 30 min in the three passion fruit formulations.
2.4. Physicochemical characterization of the chayote and passion fruit
The parameters of total soluble solids (°Brix) were evaluated using a THERMO table refractometer, scale from 0 to 85 ºBrix, following the AOAC 932.12 method [19], water activity (aw) in an AQUALAB dew-point hygrometer (model AQUA3TE) with 0.001 sensitivity and temperature range from 20 to 25 °C, according to the AOAC 978.18 norm [19], humidity (Xw) through the AOAC 934.06 method [19], pH through the potentiometric method, with glass electrode, according to AOAC 981.12 method, titratable acidity expressed as percentage of malic acid through the AOAC 942.15 method [19]; color was determined by using a Minolta, CR 10. spectrophotometer, with D 65 illuminant and 10° standard observer; reflection spectra of the samples were used to determine the CIE-L*a*b* coordinates and the pitch (hab*) and saturation (Cab*) polar coordinates [20], content of Mg, Na, Ca, and K was determined according to the AOAC 985.35 method [19], using a flame spectrophotometer (Thermo Electron Corporation S4AA Spectrometer), phosphorus was determined by using the AOAC 995.11 method [19] by using a UV-vis spectrophotometer (Thermo Scientific evolution 20). Analysis of the mechanical properties of the portions of chayote impregnated with Lactobacillus casei and flavored with passion fruit was conducted with a texture meter (Stable Micro Systems, Texture Analyzer model.
2.5. Determination of real porosity (Ɛ)
The chayote’s capacity to retain solutes (porosity) was determined in the three geometries, cubes, sheets, and parallelepipeds, through eq. 1.
Where:
Bearing in mind the results, it was established that parallelepipeds and formulation 7 of passion fruit: 75% pulp - 25% water were the most adequate conditions to elaborate fortified foods.
2.6. Elaboration of a food product based on chayote Fortified with probiotics and flavored with passion fruit formulations
2.6.1. Obtaining the mother strain from the commercial lyophilized of Lactobacillus casei
The Lactobacillus casei strain was reactivated through rehydration in MRS broth, incubated at 37 °C during 48 h in microaerophilic. The activated strain was incorporated onto ceramic spheres (CRIOBANK) according to manufacturer’s instructions to have a first-pass bacterial stock of the bacteria. A CRIOBANK was seeded for every 50 mL of MRS broth for 24 - 36 h at 37 ºC in microaerophilic.
2.6.2. Inoculation of Lactobacillus casei in the passion fruit formulation
The MRS broth was taken with the microorganism grown; it was centrifuged and washed with a phosphate buffer solution at pH 7.0 and sodium chloride 0.09% p/v and inoculated in the passion fruit formulation until obtaining a concentration of 3 x 109 microorganisms per mL, compared with tube number 1 from the Mac Farland scale.
2.6.3. Vacuum impregnation (VI)
The pieces of chayote (parallelepipeds) impregnated with the passion fruit formulation fortified with probiotics were subjected to VI process taking place in a chamber coupled to a vacuum pump, which provided negative pressure of -20 mmHg. The chayote samples were submerged in the 75%:25% formulation. Three vacuum pulses were applied, 5 min each, with 5 min of interspersed rest; thereafter, they were physicochemically characterized in fresh state, incubated and dried for 48 h at 35 ºC until constant weight. After this time, the samples underwent microbiological characterization.
2.7. Viability evaluation of Lactobacillus casei in finished food
This was carried out via standard plate count technique, using MRS medium. Viability counts were performed of the Lactobacillus casei at 0, 8, 15, and 20 days to determine the time the microorganism remains viable.
2.8. Physicochemical and microbiological characterization of the finished food
The physicochemical characterization of the finished product was conducted similar to the parameters described in numeral 2.4. The finished food was characterized microbiologically in the parameters: total coliform count according to [21], mold and yeast count according to the ISO 7954 norm [22].
2.9. Sensory analysis - Acceptance test
Acceptability of the food was determined with an untrained panel, constituted by 24 evaluators [23-25]. Each panelist was provided an informed consent, which explained the activities they had to conduct and the product they had to analyze. A control sample was also evaluated, corresponding to dry chayote without impregnating. The parameters evaluated included color, aroma, texture, and flavor. A numerical evaluation test was used, which identified first the characteristic to be measured and successive degrees were set from “best” to “worst” in relation to quality. The evaluation used a scale from -2, -1, 0, 1 and 2; where zero was the pattern or control defined as the chayote without impregnating, -2 and +2 determined the characteristics farther from the pattern or control and the answers were registered on a form designed and adequate for said purpose. With the tabulation of the data, the mean score of the sample was determined in each parameter [25].
2.10. Statistical analysis
The study of the significance of the different effects and of their possible interactions was carried out through multifactor and simple analysis of variance (ANOVA) using the Tukey method (HSD) as multiple comparison method, with a significance level (α) of 0.05, with the Statgraphics Centurion XV statistical package (version 15.2.05).
3. Results and discussion
3.1. Physicochemical characterization of chayote and passion fruit
Table 1 presents the physicochemical characterization of chayote and passion fruit in fresh state.
Table 1 Physicochemical characterization of the raw materials.n = 3; ±SD = Standard deviation; hb = humid base; db = dry base

n = 3; ±SD = Standard deviation; hb = humid base; db = dry base
Source: The Authors.
As noted in Table 1, data of pH of 7.80±0.01, humidity percentage of 93.530±0.256, and water activity of 0.987±0.002 are similar to those reported by [25], in the study on the impregnation of pieces of chayote with blackberry solutions, reporting values of 6.67±0.107, 94.23%±0.076, and 0.992±0.0023, respectively. These results were high, which is not favorable for postharvest management of chayote, given the increased possibility of microbial growth and, hence, accelerates its decomposition.
The soluble solids obtained were of 4.6±0.2, similar to those determined by [26], in the formulation of a chayote-based beverage fortified with calcium and flavored with lulo, which were of 5.0 ± 0.060 and the acidity percentage referred to malic acid present in chayote was 0.054±0.000, lower values between0.039% - 0.041% were obtained, which evaluated the quality of the chayote fruit during postharvest; indicating that this may be due to the differences of the agro-ecological conditions of the crop used for the analyses.
For passion fruit, the pH value of 4.38±0.01 was higher than that reported by [27] of 3.5; soluble solids of 5.73±0.06 were lower than those reported by [27] of 16.0; titratable acidity of 8.976±0.074 was higher than that reported by [28] of 2.2, humidity of 85.361±0.02 and ash content of 4.65±0.3 were higher than those reported by [29] of 82.1 and 0.5, respectively. The color parameters differ from those reported by [29]. This may be due to the state of maturation of the passion fruit and the crop conditions and postharvest management.
The minerals evaluated in the chayote report higher values for Ca: 103.60±0.00, Mg: 49.10±0.00, Na: 57.85±0.00, and K: 1293.55±0.00 compared with those obtained by [29] in chayote samples to study the physicochemical characterization of chayote geometries vacuum impregnated with passion fruit, whose results were Ca: 19.0, Mg: 9.8, Na: 5.2, and K: 131.0; these variations may be due to the characteristics of the soil, the environment in which the vegetable is cultivated, and the state of development employed.
Table 2 presents the physicochemical characterization of the passion fruit formulations.
Table 2 Physicochemical characterization of the passion fruit formulations 1 (100% pulp), 7 (75% pulp: 25% water), 5 (50% pulp: 50% water)

n = 3; ±SD = Standard deviation; hb = humid base; db = dry base
Source: The Authors.
As seen in Table 2, pH increases in formulations with lower pulp content due to the addition of water that influences on this parameter. Soluble solids, humidity, acidity percentage, and viscosity diminish with the addition of water, which solubilizes them and diminishes their concentration. Water activity is high, which would permit the development of the microorganism. Mineral content is adequate for its incorporation in the chayote matrix.
3.2. Determination of the porosity of chayote (S. edule) in the different geometries
Porosity of the chayote vegetable matrix was evaluated in isotonic sucrose solution to determine its variation in function of the form. Real porosity was evaluated because it represents the volume of spaces of the matrix that can be occupied by mobile fluids, and given that vacuum impregnation is conducted, exchange of fluids takes place in this process; Fig. 1 shows its behavior.
As shown in Fig. 1, significant difference exists regarding the geometry, with p = 0.0050, demonstrating a statistically significant effect on the real porosity. Parallelepipeds had the highest value (0.995±0.003), higher than that reported by [30] for blackberry with a value of 0.036 and [31] in mango fortified with a value of 0.088. Between parallelepipeds and sheets there is no statistically significant difference, as well as between sheets and cubes. Between parallelepipeds and cubes there is statistically significant difference. This is possibly due to the greater surface exposed in the sheets and the parallelepipeds.
3.3. Physicochemical characterization de las passion fruit formulations
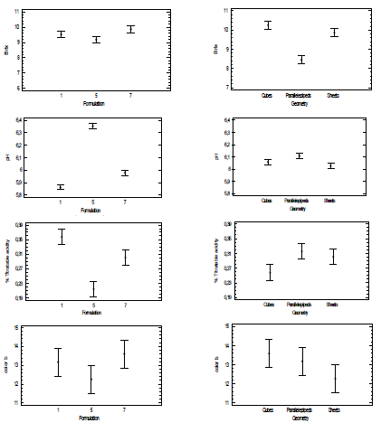
Fig. 2 shows the variables of ºBrix, pH, percentage of titratable acidity, and color (b* parameter) evaluated in the different formulations and geometries carried out.

Source: The Authors.
Figure 2 Parameters evaluated in different formulations and geometries. a and b: ºBrix; c and d: pH; e and f: % acidity; g and h: b* parameter.
As observed in Fig. 2a, formulation 7 had a higher concentration of soluble solids (ºBrix) 9.87±0.11, followed by formulation 1, with which it has no statistically significant difference, while between formulation 7 and 5 there is statistically significant difference with p = 0.0024. In Fig. 2b, the sheets and parallelepipeds geometries have no statistically significant difference, while the cubes show statistically significant difference with respect to the other two geometries with p = 0.0000.
Fig. 2c presents the pH values of the formulations and the geometries, where formulation 1 had the lowest pH of 5.86±0.01 with respect to formulations 7 and 5, with p = 0.0000. In Fig. 2d, parallelepipeds show the lowest pH value of 6.02±0.01, with no significant statistical difference with the sheets, while cubes with the parallelepipeds and the sheets did have a statistically significant difference with p = 0.0002.
As shown in Fig. 2e, the highest percentage of titratable acidity corresponds to formulation 1 (0.358±0.012), followed by formulation 7 (0.301±0.012), and in which there is a statistically significant difference with p = 0.0000. In Fig. 2f, the highest value of the percentage of titratable acidity was shown by parallelepipeds (0.315±0.012) and sheets (0.301±0.012) with p = 0.0075.
Fig. 2g and 2h show color with respect to the b* parameter for the formulations and geometries, respectively.
Formulation 7 had the highest value of 13.6±0.4, indicating a higher tendency toward yellow color, followed by formulations 1 and 5. Between the formulations there was no statistically significant difference with p = 0.0857. The geometries had no statistically significant difference, given that they yield a value of p = 0.1001; however, it is evidenced that the parallelepipeds have a softer yellow color than the other two geometries.
Bearing in mind the statistical analyses performed, it was decided to work with formulation 7 and the parallelepiped and sheet geometries to evaluate the viability of the microorganism.
3.4. Viability of the lactobacillus casei in parallelepipeds and sheets of chayote (S. edule)
The viability of Lactobacillus casei was evaluated in fresh state (day zero) and on days 8, 15, and 20 in dry state after thermal treatment at 35 ºC.
Fig. 3 illustrates the viability of Lactobacillus casei in the geometries according to the day of impregnation, after the thermal treatment and subsequent storage in polyethylene bags at room temperature (25±2 ºC).

Source: The Authors.
Figure 3 Viability of the Lactobacillus casei in chayote sheets and parallelepipeds.
As shown in Fig. 3, on day 0, the population of the microorganism is statistically the same for both geometries above 9 logarithmic units. On day 8, a small statistical difference exists among the geometries, given that for the parallelepipeds there is a higher amount (8.301 logarithmic units) with respect to the sheets (8.15 logarithmic units). On day 15, the difference increases, the parallelepipeds had a population of 8.0 logarithmic units, while the sheets had 6.7 logarithmic units. By day 20, the parallelepipeds showed a viability of 6.0 logarithmic units, and the sheets showed no population of microorganisms. Statistically significant difference exists among populations of Lactobacillus casei with p = 0.0000.
The viability diminishes according to the drying and storage time in three logarithmic units for parallelepipeds (9-6), being a behavior similar to that reported by [32] in blackberry matrices. The parallelepiped geometry, in general, had higher values in the viability count with respect to the sheets geometry due to higher bioavailability of sugars for the microorganism’s growth [33,34]. According to the results obtained, the final product is chayote in parallelepiped geometry flavored with passion fruit and fortified with Lactobacillus casei.
3.5. Physicochemical and microbiological characterization of the final product
Tables 3 and 4 show the results of the physicochemical and microbiological characterization of the parallelepipeds impregnated with formulation 7 at 25 °Brix and fortified with Lactobacillus casei as final product.
Table 3 Physicochemical characterization of the final product.n = 3; ±SD = standard deviation; hb = humid base; db = dry base

Source: The Authors.
Table 4 Microbiological characterization of the final product.

n = 4; MPN = most probable number; CFU = colony forming units; NP= no presence.
Source: The Authors.
As noted in Table 3, pH (3.0±0.08) is lower than that found in the matrix without impregnating, while titratable acidity (0.432±0.033) is higher, evidencing transfer of organic acids from the impregnation solution to the chayote. Soluble solids (11.2±0.00), texture (32.086±0.065), phosphorus content (8.08±0.79), and the b* color parameter increase, while water activity (0.385±0.003), humidity (87.470±0.387), and percentage of ashes (4.474±0.337) diminish with respect to the matrix without impregnating.
Table 4 shows that the final product had 0 MPN/g for total coliforms, and 40 CFU/g in the seeding for yeasts and 85 CFU/g molds. According to resolution 2155 of 2012, the final food is within the permissible limits for dry or dehydrated vegetables, which is of 103 CFU/g, indicating that the product obtained complies with the norm established.
3.6. Sensory analysis
The product selected was evaluated for attributes of aroma, color, flavor, and texture, as shown in Fig. 4; which took as sample 1 the dry chayote without impregnating and the final product as sample 2.

Source: The Authors.
Figure 4 Radial diagrams of the organoleptic parameters; a. sample 1: dry chayote, b. sample 2: final product.
Sample 2 had higher values (1 = better) compared with sample 1 (0 = indifferent) regarding the attributes of texture and color. Attributes of flavor, texture, and color were evaluated as better in sample 2, while aroma remains indifferent. These results indicated that flavor, color, and texture were determinant for the selection of the sample impregnated with formulation 7 of passion fruit, due to the modification of the vegetable matrix. Regarding color, it is a subjective phenomenon of interpretation dependent on the observer; however, the passion fruit formulation provided a change of color to chayote in the final product, given that the pigments present in it, especially β-carotene, which gives a color tending to yellow, which made it more pleasant for the panelists. Finally, the whole sensory experience produced in the mouth is defined by the flavor, which depends on the interaction of the senses of taste and smell, in addition to the combination with other sensory attributes, like texture and color; hence, the results of the attributes mentioned provided that flavor was also a pleasant parameter, when acquiring characteristic flavors of passion fruit that made it different from white.
4. Conclusions
The capacity to retain solutes of chayote determined that the geometry influences on the porosity, which permitted electing the parallelepiped and sheet geometries.
The geometry and formulation with the best conditions for the incorporation of Lactobacillus casei were formulation 7 (75% pulp/25% water) and the parallelepiped geometry, due to its lower pH, higher content of soluble solids and high acidity percentage.
The parallelepiped geometry impregnated with formulation 7 of passion fruit had higher viability (CFU/mL) of Lactobacillus casei during storage time, used to elaborate the final product, with sensory attributes of color, flavor, and texture accepted by the panelists.
















