Services on Demand
Journal
Article
Indicators
-
Cited by SciELO -
Access statistics
Related links
-
Cited by Google -
Similars in
SciELO -
Similars in Google
Share
Revista ION
Print version ISSN 0120-100X
Rev. ion vol.25 no.1 Bucaramanga Jan./June 2012
costo para la evaluación térmica de cocinas solares tipo caja
Luis Enrique Mealla Sánchez*; Pablo Daniel Bonaveri Arangoa
Grupo Transferencia en Energías Alternativas (GTEA)
Universidad Autónoma del Caribe
Calle 90 No 46-112, Barranquilla, Colombia.
*luis.mealla@uac.edu.co
Fecha Recepción: 1 de noviembre de 2011
Fecha Aceptación: 4 de mayo de 2012
Se presenta la evaluación y resultados térmicos de cocinas tipo cajas, realizadas con el objeto de comparar diversos factores constructivos de las mismas utilizando un protocolo de prueba conocido como RICSA (Red Interamericana de Cocción Solar de Alimentos). Para ellos se dispuso de cuatro cocinas en donde se combinaron dos materiales de placa y dos materiales que sirven como aislante. Se sometieron a radiación solar directa calentando la placa colectora y luego al calentamiento utilizando agua como líquido de prueba. Se procedió a medir las perdidas térmicas y la eficiencia térmica. Parámetros adicionales como el tiempo en que alcanza la temperatura de cocción efectiva y el tiempo en que la mantiene sin intervención del operador también fueron medidos. De aquí, el análisis de la información proporcionó un buen rendimiento comparable entre cocinas con placa de hierro y los dos aislantes probados por sobre las cocinas de placa de aluminio; además, por la relación precio-rendimiento, se recomienda su construcción utilizando materiales que tienen alto rendimiento y bajo precio.
Palabras clave: energía solar, aislamiento, construcción.
for the thermal test of box-type solar cookers
This document presents the evaluation of a different set of solar ovens in terms of their thermal performance by the RICSA protocol. For this purpose, four solar ovens were constructed differentiated mainly by the type of isolation and plates. All were exposed to direct solar radiation. First, only the collector plate was heated to measure thermal losses and efficiency and second, a determined amount of water was introduced to measure the thermal power of the solar oven. Additional parameters like the time in which it reaches the temperature of effective boiling point and the time in which it maintains functioning without intervention of the operator also were measured. The analysis provide empirical evidence regarding adequate levels of thermal performance of solar ovens constructed using iron on one hand, and aluminum on the other. It is recommended to extend the use of this type of equipments given the priceeffi ciency obtained in the experiments.
Keywords: solar energy, insulation, construction.
El uso de energías no convencionales para la cocción de alimentos y el calentamiento de agua para consumo humano cobra auge ante la posibilidad de fuentes de fácil acceso por parte de los potenciales usuarios. Esas aplicaciones se realizan a temperaturas que, culturalmente, se pueden alcanzar con la quema de combustibles de origen mineral o vegetal. En Colombia el uso de combustibles fósiles en el sector residencial representa aproximadamente el 35% del gasto energético de la población, de la cual el uso de leña equivale a 28% del anterior porcentaje [1]. Evidentemente, este combustible se utiliza mayormente en el sector rural para la cocción de alimentos. Esta actividad repercute en una alta tasa de deforestación y en la desmejora de las condiciones ambientales en el país. A nivel mundial se presentan esfuerzos para masificar este tipo de estrategias de cocción solar mediante difusión de las mismas por medios de comunicación masivos. Estos esfuerzos hacen que la información de cómo reproducir distintos modelos se encuentre catalogada y en distintas fuentes confiables [2,3]. La comparación de las bondades y características sobresalientes de cada modelo de cocina solar son enumeradas de forma sistemática a fin de que el usuario pueda elegir el modelo más conveniente.
A nivel latinoamericano hay un sinnúmero de aportes de los que se puede destacar el de Nadwani [4] en Costa Rica, quien es uno de los promotores más reconocidos en su país de estas técnicas de cocción. Nadwani sometió a evaluación térmica por mucho tiempo a varios modelos fabricados por él. En la década pasada, un grupo de reconocidos investigadores se reunió para conformar una red con el objeto de intercambiar ideas respecto a las experiencias en las pruebas de distintos modelos de cocinas solares para estandarizar un protocolo de evaluación y medida de la eficiencia térmica durante las pruebas de campo [5].
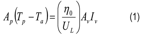
Este protocolo además de la descripción minuciosa del modelo de cocina a probar, sugiere una secuencia de ensayos a realizar. Los más importantes son la medida de temperatura en "vacío" donde se calienta la cocina en condiciones de ausencia de comestible y el calentamiento de la cocina con una cantidad de líquido de trabajo conocido de manera que se pueda medir la potencia de cocción captada por la cocina. Las condiciones de los ensayos suponen determinadas condiciones tales como baja velocidad de viento, para no incluir esta variable en las perdidas térmicas. Para comparar la relación entre la energía recibida por la placa y las pérdidas térmicas convectivas y radiativas en un calentamiento en vacio, se propone una relación en la cual la masa de la placa no acumula energía (suponiendo que se tratase de una cocina tipo caja). Se utiliza la siguiente relación:
En donde:
ηo= eficiencia óptica.
UL= coeficiente global de pérdidas.
Ap= área de la placa absorbente.
Av= área de la superficie transparente.
Iv= potencia radiante sobre la superficie transparente.
Tp= temperatura de la placa.
Ta= temperatura ambiente.
Obviamente se hace bajo el supuesto de que la energía recibida y las pérdidas que tiene la cocina son comparables y proporcionales. Al tratarse de una relación lineal, la relación entre la eficiencia óptica y el coeficiente global de pérdidas se obtiene experimentalmente haciendo un ajuste de curva. Esta suposición se observa más frecuentemente en cocinas tipo concentrador en las que no existe una placa colectora.
Cuando se realizan ensayos de calentamiento de cocinas con líquido de trabajo, se realiza un balance donde se acumula energía únicamente en el líquido de prueba, y la única fuente de energía es la que llega a través de la cubierta y las pérdidas se refleja en un coeficiente global, por lo que no es necesario hacer un cálculo minuciosos de todas las resistencias térmicas de los aislantes. La Ecuación 2 muestra lo enunciado por el modelo.
En donde:
F’= factor de eficiencia de intercambio de calor.
ηo= eficiencia óptica.
(Mc)’w= Capacidad calorífica de todo el sistema (agua, ollas e interior de la cocina).
UL= coeficiente global de pérdidas.
Ap= área de la placa absorbente.
Av= área de la superficie transparente.
Iv= potencia radiante sobre la superficie transparente.
Tp= temperatura de la placa.
Ta= temperatura ambiente.
Tw= temperatura de agua.
El análisis sugiere comparar la potencia de cocción acumulada por el líquido de prueba pero estandarizada por la potencia radiante solar estándar y por el cociente con la radicación observada durante la prueba, esta parte del modelo también propone una relación lineal entre la potencia estándar y el salto de temperatura del líquido de prueba con el ambiente.
Existen varios aportes a la bibliografía donde se sigue este tipo de protocolo y que corroboran el mismo [6]. Todavía está abierta la posibilidad a la reforma de este protocolo de prueba, pues se siguen realizando pruebas de eficiencia térmica para varios modelos de cocinas como lo intenta el presente trabajo.
Dentro del marco del proyecto "Cocción solar, una alternativa de poblaciones emergentes de la ciudad de Barranquilla" se buscó realizar la transferencia en tecnología de cocción solar de alimentos y además probar distintos diseños de hornos solares, el objetivo fue obtener un horno económico, con un diseño que posibilita su fácil construcción y eficiencia comparable a un horno construido con materiales que garantizan su alto rendimiento térmico.
Se construyeron cuatro hornos solares de carga superior combinando placas colectoras de chapa de hierro (acero galvanizado) y chapa de aluminio estándar, las dos de 0,000625m de espesor, cubiertas con pintura comercial negro mate (emisividad 0,979, absortividad 0,9 y reflectividad 0,1). También se combinó en las cuatro, 0,05m de espesor de aislante de lana de vidrio y en otras se utilizó una capa delgada de lana de vidrio y hojas de papel periódico compactado a fin de completar los 0,05m de aislación. Para la cobertura externa se eligió triplex y las cubiertas fueron fabricadas de un marco de madera con uno o dos capas de vidrio de 0,004m de espesor. En caso de que la cubierta estuviese constituida por dos vidrios, la distancia entre ellos se estableció en 0,01m para evitar pérdida convectiva. La Figura 1 muestra un esquema del acabado final de las cocinas.
Todas las cocinas presentan un área de apertura de 0,45m x 0,54m = 0,24m2, el área colectora es de chapa de hierro o aluminio pintadas de negro mate con 1,15m2 de placa. El peso de las cocinas fluctúa según la combinación placa colectora aislante, pudiendo tener entre 5 kg cuando se trata de aluminio con lana de vidrio y 10kg cuando se trata de hierro con papel periódico compactado. Evidentemente todas son transportables. Las dimensiones de las cajas se establecieron de tal manera que la inclinación de la cubierta sea la latitud del lugar (aprox. 11°), de manera cada una de ellas tiene 0,62m de frente, 0,51m de fondo y 0,40m de alto promedio. El volumen del interior de las cocinas es 0,53 m x 0,33m x 0,35m = 0,06m3. Por supuesto, se previó que las ollas o utensilios para la cocción fuesen removibles y que no estuviesen provistos junto con las cocinas. No se dispuso el calentamiento por otra fuente y para hacer la comparación no se dispone de superficies reflectantes. No hay acceso directo a las ollas; sólo se puede realizar por la parte superior de las cocinas. Por la calidad del cerramiento de las cubiertas (realizado con goma de sellamiento de puertas de neveras, adherida al marco de madera y reforzada con clavos) y que la tensión de las gomas de cierre no es elevada, se previó una significativa seguridad intrínseca al sobrecalentamiento. Las alternativas constructivas de las cocinas estuvieron orientadas solamente para preparar alimentos y no se consideró la posibilidad de almacenar agua caliente.
Los ensayos se realizaron entre el 15 de noviembre de 2009 y el 15 de abril de 2010, teniendo en cuenta la latitud y el clima del lugar, pues en este periodo se dispone de días sin mucha nubosidad (debido a que las lluvias están ausentes pues se esta fuera de temporada de huracanes en el Caribe), pero como contraparte se dispone de abundancia de vientos alisios, por lo tanto los ensayos se realizaron en un patio cerrado que permitió el resguardo de las cocinas. La temperatura ambiente en todas las pruebas osciló entre los 28 y los 33°C. Por estar cerca del ecuador, el mediodía solar no fluctúa mucho respecto del mediodía oficial.
Se realizaron dos tipos de pruebas para medir el comportamiento térmico de las cuatro cocinas. Un primer grupo de pruebas tuvo como objetivo medir la relación entre la energía colectada a través de la cubierta y las pérdidas por convección y radiación. Estas pruebas se realizaron en vacío (sin ollas) y cada una de las cocinas se evaluó con simple y doble cubierta de vidrio. El objetivo fue medir la relación entre la eficiencia óptica de las cocinas y los coeficientes globales de pérdida. Se midió temperatura de placa en las cuatro cocinas, temperatura ambiente y radiación en el plano normal desde las 9 hasta las 13 horas. Un segundo grupo de pruebas se realizó con agua, manteniendo la proporción de 6 l/m2 de área de apertura. Para todas las cocinas se trabajó con 1,43L de agua precalentada a 40°C en ollas de aluminio pintadas de negro mate, de 0,20m de diámetro y 0,25m de altura. Se intentó comparar la potencia utilizada en la cocción con las pérdidas al ambiente. Se midieron parámetros como el tiempo en que la olla alcanza los 80°C y el tiempo en que retiene esa temperatura una vez que se deja la cocina sin operador.
En todos las pruebas se procedió a reorientar las cocinas cada 15min a fin de tener siempre radiación normal al plano de la cubierta, pero como el sitio se encuentra en una latitud próxima al ecuador, la necesidad de reorientar más aún cerca del medio día solar no fue tan evidente en el periodo en que se eligió. Para cada prueba individual se repitió en días sucesivos al menos dos intentos. El objetivo fue medir la potencia de cocción acumulada en el líquido de prueba y cómo ésta se veía influenciada por las pérdidas hacia el ambiente a través de la cubierta y los laterales. Para esto, se realizaron varios ensayos donde se procedió a precalentar las cocinas a las 9:00 horas, se colocaron 1,43L de agua a las 11:00 y se reorientaron hasta las 13:00h cada 15min. Después se dejaron en la última posición y se midió la temperatura hasta las 17:00 aproximadamente.
Se midieron varias temperaturas utilizando termocuplas tipo "T" (cobre - constantan) conectadas a un Sistema de toma de datos (Campbell) de ocho canales análogos y un solarímetro (Mc View) de tipo semiconductor para medir la potencia radiante normal en el plano de las cocinas. En todas las cocinas se midió la temperatura de placa adhiriendo una termocupla en la cara opuesta a la placa que recibe radiación. Además, se midieron, dos temperaturas en las ollas: una a 1cm por encima de la base y la otra a 1cm por debajo de la superficie de agua. Las termocuplas para esta medida se introdujeron por orificios en la tapa e ingresaron a la cocina por la parte superior, entre el borde y la cubierta. La temperatura ambiente se registró a la sombra, aislando la punta de la termocupla con una esfera agujereada de papel aluminio. La radiación fue medida ubicando el medidor con una inclinación similar al de las cubiertas de las cocinas (aprox. 11°) y se reorientó al mismo tiempo que se reorientaban las cocinas, así se aseguró la medida de la radiación normal al plano de la cubierta. El intervalo de medición para todos los instrumentos fue de 6min, pues la configuración del solarímetro sólo tiene ese intervalo cercano a los 10min. Un esquema del equipo de medición se puede observar en la Figura 2.
Los datos de temperatura de placa, ambiente y radiación durante el primer grupo de pruebas se muestran en la Figura 3. Claramente se observa la rápida respuesta de la temperatura de placa con los cambios en la radiación.
Se observó que en el modelo propuesto existe una relación lineal entre el salto de temperatura y la energía recibida por la cocina, por lo tanto se realizan ajustes lineales para encontrar el cociente entre la eficiencia óptica de la cocina y las perdidas térmicas resultando ésta como la pendiente de la Ecuación 1. Algunos ejemplos de ajuste se pueden observar en la Figura 4.
Como se señaló anteriormente, se realizaron las pruebas para que las cuatro cocinas se probaran con cubierta simple y doble. En la Tabla 1 se pueden observar los resultados de los ensayos realizados para calentamiento en vacío. Después de procesar los resultados para las pruebas de calentamiento con líquido de prueba para distintas condiciones se procede a tabular.
La Figura 5 muestra dos de los distintos ajustes entre la potencia de cocción estándar y la diferencia de temperatura entre el agua y el ambiente.
A simple vista se observa en las pruebas de calentamiento simple, es decir la cocina sin olla, comparando los valores del coeficiente relativo (ηo/UL), (como se observa en las pendientes del ajuste lineal de la Figura 4). Una relación entre la eficiencia óptica de la cocina y las pérdidas térmicas, que definitivamente las cocinas de chapa de aluminio pintada de negro con cubierta conformada con un solo vidrio presentan más pérdidas que ganancias, es decir, en vacío se enfrían muy fácilmente, pues este coeficiente es menor que uno. El resto de las cocinas, presenta pérdidas más pequeñas comparadas con la ganancia (coeficiente mayor que uno). Las cocinas de chapa de hierro con cubierta simple presentan un coeficiente de valor comparable con las cocinas de chapa de aluminio con cubierta doble, es el caso esperado que las cocinas de chapa de hierro con doble cubierta presentan una mayor ganancia comparada con las pérdidas.
Los datos se manejaron según lo sugerido por el protocolo de prueba. El parámetro de ajuste lineal mide la relación entre la potencia de cocción estándar y la diferencia de temperatura; además de eso se debe observar el valor de esta potencia para cuando la diferencia de temperatura tiene un valor de 50°C y el tiempo en minutos para alcanzar una diferencia de temperatura de 80°C. La Tabla 2 muestra en resumen todos los datos relevantes para este conjunto de pruebas. Resultados que son más prometedores que los obtenidos por uno de los autores en una experiencia anterior y para otro tipo de materiales [6].
El coeficiente de ajuste entre la potencia estándar y la diferencia de temperatura demuestra que si se tiene poca variación de la potencia en función de la diferencia de temperatura entre el líquido de prueba y el ambiente, la pérdida de calor hacia el ambiente es menor, por lo tanto las dos cocinas de chapa de aluminio con doble cubierta presentan una pérdida menor. Las que le siguen en orden son las de hierro con cubierta doble. Al final todas las cocinas de cubierta simple presentan un coeficiente cercano a la unidad. La de peor coeficiente es la de hierro con papel compactado y cubierta simple. Desde este punto de vista, la de más pérdidas es esta.
Si analizamos el valor de la potencia estándar para un valor de diferencia de temperatura igual a 50°C, se observa que las de mayor valor son las cocinas de aluminio con cubierta doble, seguidas por las de aluminio con cubierta simple. Un poco más abajo siguen las de hierro con cubierta doble y muy por abajo están las de hierro con cubierta simple. Observando el tiempo en que las cocinas con carga mantienen la temperatura por encima de la temperatura de cocción, encontramos que las cocinas de aluminio con cubierta simple mantienen la temperatura de cocción por el lapso de entre 2,5 a 3h. En segundo lugar, las cocinas de aluminio con cubierta doble mantienen la temperatura de cocción entre 2 y 2,5h. Las cocinas de hierro con doble cubierta mantiene alrededor de dos horas la temperatura de cocción por encima del límite. Al final las cocinas de hierro con cubierta simple solo mantienen la temperatura por encima del límite por un lapso entre una hora y una hora y media.
De los resultados obtenidos, se concluye que existen diferentes combinaciones chapa colectora, cubierta trasparente y aislación para construir cocinas solares tipo caja y que se adapten a las condiciones meteorológicas de esta región de Colombia. Evidentemente habrá rendimientos térmicos destacables en determinadas combinaciones de materiales, pero también se debe buscar el equilibrio con el precio de los mismos. El gasto de construcción y materiales de cada una de las cocinas, es de aproximadamente entre US$ 30 para las cocinas de chapa de hierro o aluminio con papel compactado y una sola cubierta y de US$ 50 para las mismas cocinas pero con cubierta doble. Así mismo las cocinas de chapa de hierro o aluminio con lana de vidrio cuestan aproximadamente US$ 40 si tiene cubierta simple y US$ 60 si tiene doble vidrio en la cubierta. Ante estos datos, comparando precio y rendimiento térmico en vacío, las cocinas de chapa de hierro con cubierta simple son las que mejor desempeño presentan. En cambio, si analizamos los resultados de las pruebas con agua concluimos que las cocinas de aluminio con cubierta simple presentan un mejor rendimiento, por encima de las cocinas de hierro con cubierta doble. Por lo tanto, se recomiendan por precio y rendimiento las cocinas de chapa de aluminio pintadas de negro, aplicándole cubierta simple.
Desde el punto de vista del marco de los objetivos del proyecto en el que fueron construidas y probadas las cocinas, se recomienda el uso de aislante térmico construido a partir de periódico compactado, pues abarata en gran medida los gastos de construcción de los hornos solares.
[1] Ministerio de Minas y Energía, República de Colombia. Programa de uso racional y eficiente de energía y fuentes no convencionales - PROURE. Plan de acción indicativo 2010- 2015 resumen ejecutivo. Bogotá D.C.; 2010. [ Links ]
[2] Solar Cookers International (SCI). Build a Solar Cooker (Sitio en Internet). Disponible en: http://solarcooking.org/Plans/. Acceso el 2 de Mayo 2009. [ Links ]
[3] Solar Cookers World Network, Solar cooker models compare (Sitio en Internet). Disponible en: http://solarcooking.wikia.com/wiki/Category:Solar_cooker_plans. Acceso el 2 de Mayo 2009. [ Links ]
[4] Shyam S. Nandwani. Experiencia personal de 25 años con la transferencia tecnológica de cocinas y secadores solares en Costa Rica. Averma 2006;10(2):25-30. [ Links ]
[5] De Castell M E, Finck Pastrana A, Collares Pereira M, Vázquez L, Esteves A. Propuesta de procedimiento para la evaluación del comportamiento térmico de cocinas y hornos solares. Averma 1999;3(2):133-5 [ Links ]
[6] Mealla Sánchez L, Tilca F, Passamai V. Evaluación de dos cocinas tipo caja con la propuesta estándar de la Red Iberoamericana de cocción solar de Alimentos (RICSA). Averma 1999;3(2):57-60. [ Links ]





















