Services on Demand
Journal
Article
Indicators
-
Cited by SciELO -
Access statistics
Related links
-
Cited by Google -
Similars in
SciELO -
Similars in Google
Share
Lecturas de Economía
Print version ISSN 0120-2596
Lect. Econ. no.78 Medellín Jan./June 2013
ARTÍCULOS
La reinvención de Medellín
The reinvention of Medellín
La réinvention de Medellin
Andrés Sánchez Jabba*
* Economista del Centro de Estudios Económicos Regionales (CEER) del Banco de la República. Comentarios y sugerencias a esta versión del documento son bienvenidos, y pueden ser enviados a la dirección Calle 33 # 3-123, Centro, Cartagena de Indias, Colombia, o al correo electrónico sanchja@banrep.gov.co.
-Introducción, -I. El éxito de Medellín. -II. Decadencia industrial. -III. El retorno de Medellín. -IV. Conclusiones. -Bibliografía
Primera versión recibida el 28 de noviembre de 2012; versión final aceptada el 22 de marzo de 2013
RESUMEN
Con la adopción del modelo de industrialización por sustitución de importaciones, Medellín se convirtió en el centro industrial más importante de Colombia. Esto se debió al surgimiento de su aglomerado textil, el cual fue la fuente de crecimiento económico urbano durante gran parte del siglo XX. Sin embargo, el excesivo grado de especialización en la producción textil generó una profunda crisis industrial cuando inició el proceso de liberalización comercial en la década de 1990. Adicionalmente, el surgimiento del narcotráfico incrementó considerablemente los niveles de violencia. La combinación de estos dos factores dejó a la ciudad sumida en una profunda crisis urbana caracterizada por una gran inestabilidad institucional. Sin embargo, Medellín supo reinventarse: los niveles de violencia disminuyeron, los indicadores sociales y económicos mejoraron y la ciudad buscó el resurgimiento urbano orientando su economía hacia la generación de conocimiento apalancado en la innovación y el uso intensivo de la tecnología.
Palabras clave: Medellín, economía urbana, industria, textiles.
Clasificación JEL: R11, R12, R19.
ABSTRACT
With the adoption of the import substitution industrialization model, Medellín became Colombia's main industrial hub. This success was based on the rise of its textile cluster, which constituted the primary source of urban economic growth during most of the twentieth century. However, excessive specialization in textile production generated a sharp industrial crisis associated to the commercial liberalization of the 1990s. In addition, the emergence of organized drug trafficking significantly increased the levels of violence. The combination between these two factors triggered a profound urban crisis characterized by institutional instability. Although this distressing scene seemed difficult to revert, Medellín figured out how to reinvent itself: violence decreased, social and economic indicators improved and the city decided to orient urban economic development towards the generation of knowledge and high tech products and services.
Keywords: Medellín, urban economy, industry, textiles.
JEL classification: R11, R12, R19.
RÉSUMÉ
Après le processus d'industrialisation mis en place par le modèle de substitution aux importations, Medellín était devenue le centre industriel le plus important de Colombie. Ceci est expliqué par l'émergence de l'industrie textile, laquelle avait était la source de la croissance économique urbaine pendant une grande partie du XXe siècle. Cependant, le degré excessif de spécialisation dans cette industrie a amené la ville vers une crise industrielle dans le processus de libéralisation commerciale des années 1990. Également, l'émergence du trafic des drogues entraîne une hausse significative des niveaux de violence. La combinaison de ces deux facteurs explique la crise urbaine caractérisée elle aussi par une instabilité institutionnelle. Cependant, Medellin a su se réinventer. Nous constatons aujourd'hui une diminution assez considérable des niveaux de violence, les indicateurs sociaux et économiques se sont améliorés, et la ville a réorienté son économie vers la production de connaissances et vers l'innovation technologique intensive.
Mots-clés: Medellin, économie urbaine, industrie, industrie textile.
JEL Classification: R11, R12, R19.
Introducción
Desde principios del siglo XX Medellín se perfiló como una ciudad con una notable orientación industrial. Su base económica estaba constituida por la industria textil, la cual apalancó el crecimiento económico urbano. El desarrollo de este sector fue tan crucial, que gracias a él Medellín se convirtió en el centro industrial más importante de Colombia.
El éxito de Medellín persistió medio siglo, concretamente, el tiempo durante el cual permaneció vigente el modelo de industrialización por sustitución de importaciones (ISI). El problema con la configuración del desarrollo económico de Medellín radicó en que su éxito se basó en una industria que estaba concentrada en un único sector; tal como sucedió en algunas de las ciudades industriales más importantes, la escasez de diversificación productiva y el excesivo grado de especialización industrial se convirtieron en un problema durante la segunda mitad del siglo XX, cuando la globalización incrementó la competencia y desplazó la generación de riqueza hacia la prestación de bienes y servicios que requieren de innovación y un uso intensivo de tecnología.
¿Qué ha sido de la economía de Medellín después del modelo ISI? Con el desmonte de la estrategia sustitutiva y el abaratamiento de las mercancías extranjeras, la industria textil entró en un periodo de crisis, lo que afectó notablemente su economía. Además, la situación empeoró como consecuencia del incremento sin precedentes en los niveles de violencia, debido a los efectos negativos asociados al narcotráfico. La combinación de estos dos factores dejó a la ciudad sumida en una profunda crisis urbana, caracterizada por la inestabilidad institucional y el pesimismo generalizado; se trataba de una urbe estancada y que inspiraba miedo.
Aunque este desolador panorama parecía difícil de revertir, Medellín supo reinventarse: los niveles de violencia disminuyeron, los indicadores sociales y económicos mejoraron y la ciudad buscó el resurgimiento urbano orientando su economía hacia la generación de conocimiento apalancado en la innovación y el uso intensivo de la tecnología. Actualmente, Medellín es un ejemplo de éxito urbano en Colombia, pues supo entender que su época como ciudad industrial había terminado, ya que el sector textil perdió su capacidad para liderar el crecimiento económico y generar riqueza. Ello corrobora lo establecido por Glaeser (2011): ''la época de la ciudad industrial ha terminado'' (p.58), para darle paso así a la época de la ciudad tecnológica.
La clave del actual éxito medellinense radica en que no se insistió en un resurgir mediante el fortalecimiento de la industria manufacturera tradicional, por más que esta fuera la que le permitió convertirse en una de las ciudades más importantes de Colombia. Medellín, fiel a su estilo emprendedor, decidió orientar su desarrollo económico hacia la generación de conocimiento y el uso intensivo de la tecnología en sectores económicos en los cuales la ciudad tiene un importante potencial productivo, tales como los sectores de energía, construcción, turismo, telecomunicaciones y lógicamente, el textil. Como eje central de esta estrategia subyace la innovación. De esta manera se busca la configuración de una economía urbana con capacidad para prestar servicios que requieren de un alto grado de conocimiento y que tienen un valor agregado comparativamente alto.
I. El éxito de Medellín
Durante la primera mitad del siglo XX Medellín tuvo una de sus épocas más brillantes, convirtiéndose en el principal centro industrial del país. Dicho éxito se apalancó en el desarrollo de su sector textil, el cual fue el aglomerado manufacturero de mayor valor y empleo en el país. Ello fue favorecido por la adopción del modelo de industrialización por sustitución de importaciones, el cual buscaba el crecimiento económico a partir del desarrollo industrial. En ese sentido, era de esperarse que Medellín, siendo la principal ciudad industrial, se viera considerablemente favorecida.
A. Desarrollo industrial temprano
Desde principios del siglo XX Medellín inició un proceso de industrialización que se apalancó en la riqueza asociada a la comercialización de oro y café, dos de los principales productos de exportación. Por esta época Antioquia producía entre el 80 y el 90% del oro del país (Gouëset, 1998), además del 23% de las exportaciones totales de café (Bejarano, 1987; Garay, 2004). La comercialización de estos commodities estaba centralizada en Medellín, ya que allí residían los comerciantes mineros y cafeteros. Esto significó la acumulación de una cantidad importante de divisas y riqueza para la ciudad, pues en esta época la economía colombiana se caracterizó por estar orientada a la exportación de productos primarios.
Desde aquella época se puede ver que Medellín es una ciudad emprendedora, ya que supo transformar la acumulación de riqueza en la primera industria nacional. A medida que los comerciantes auríferos y cafeteros acumulaban divisas y capital, incursionaron en diversas actividades empresariales (Lleras, 1965; Botero, 1984). Dichas actividades consistían en importar los capitales requeridos en los procesos productivos de la naciente industria (Echavarría, 1989; Garay, 2004). Hasta ese momento el desarrollo industrial era modesto, compuesto principalmente por talleres artesanales de carácter rudimentario y de baja productividad. Por esta razón, la clase comerciante, de forma natural, y sin fricciones, fue la que lideró el proceso de industrialización antioqueño (Botero, 1984).
Como resultado de lo anterior, durante las primeras décadas del siglo XX en Medellín se inició un proceso de industrialización que Ramos (1996) describe como ''el nacimiento definitivo y vigoroso de la industria fabril en Medellín, lo que equivale a decir de la industria en Colombia'' (p. 312). Aunque en Bogotá y Barranquilla también hubo un desarrollo fabril importante, diversos autores coinciden en afirmar que en Medellín dicho proceso fue pionero. Por ejemplo, Bejarano (1987), basado en Ramos (1970), indica que en 1916 en Bogotá existían 13 fábricas, en Atlántico más de 10, mientras que en Antioquia había más de 25 fábricas.
La vocación emprendedora de su empresariado fue un factor crucial que le permitió a Medellín convertirse en el principal centro industrial colombiano a principios del siglo XX (Botero, 1984; Bejarano, 1987; Gouëset, 1998). A su vez, la transformación de la economía urbana medellinense era consistente con los procesos de industrialización que se venían presentando en otras ciudades del mundo. Esto era de esperarse, ya que en esa época la generación de riqueza subyacía en el desarrollo industrial, es decir, era la época de la ciudad industrial (Glaeser, 2011); por esta razón el éxito urbano de Medellín era mayor al de Bogotá y Barranquilla.
B. Adopción del modelo ISI
Durante las primeras décadas del siglo XX la economía colombiana se caracterizó por orientar su producción a satisfacer la demanda de los mercados mundiales. Esto tuvo consecuencias negativas cuando se desencadenaban choques externos que afectaban negativamente el crecimiento económico. Por ejemplo, la Gran Depresión generó un deterioro considerable en los términos de intercambio debido al desplome de los precios del café en los mercados internacionales (Ocampo, 1987; Garay, 2004), lo que disminuyó sustancialmente el ingreso nacional. Por otro lado, el ambiente bélico generaba una tendencia hacia una política comercial proteccionista entre las economías desarrolladas, otro factor que perjudicaba notablemente a la economía colombiana, pues disminuía las exportaciones, la principal fuente de crecimiento económico.
En ese sentido, las condiciones estaban dadas para el desarrollo industrial basado en la sustitución de importaciones. La Gran Depresión generó un cambio significativo en los precios relativos de las mercancías y los insumos. Concretamente, el deterioro de los términos de intercambio hizo que las importaciones tradicionales, compuestas por bienes de consumo corriente, se volvieran comparativamente costosas (Chu, 1972). Además, el cese del influjo de divisas y de créditos interrumpió el proceso de industrialización que se venía gestando, ya que impedía la importación de bienes de capital requeridos para la producción industrial doméstica.
Estos problemas motivaron un cambio en el modelo de desarrollo económico colombiano. Así, se inició la transición hacia uno en el cual se buscaba el desarrollo de una industria manufacturera nacional a partir de la sustitución de importaciones. En ese orden de ideas, en lugar de importar los bienes de consumo corriente, el país importaría los insumos necesarios para producirlos. De esta manera se buscaba reducir la alta dependencia hacia los mercados internacionales.
Entre la Gran Depresión y la Segunda Guerra Mundial el modelo ISI fue la principal política de desarrollo industrial del país, y por lo tanto de crecimiento económico. Este modelo implementó una fuerte restricción a las importaciones mediante la fijación de altos aranceles, cuotas y licencias de importación2. Se buscaba no solo la sustitución gradual de bienes industriales, sino de materias primas que fueran empleadas en la producción de dichos bienes, como por ejemplo el algodón requerido en la producción textil (Ocampo et al., 1987).
En efecto, como resultado de la adopción del modelo ISI, la industria colombiana creció a tasas para nada despreciables. Ocampo et al. (1987) afirman que ''entre 1945 y 1974 la industria manufacturera colombiana se multiplicó por 7,7, creciendo a un ritmo anual promedio del 7,3%''(p. 273). Este crecimiento industrial debía traducirse en un mayor crecimiento económico, algo que efectivamente sucedió: la tasa promedio de crecimiento del PIB entre 1945 y 1974 fue de 5,2%, la cual fue superior al 3,7% que se presentó entre 1926 y 1944.3
C. ¿Cómo se benefició Medellín del modelo ISI?
La sustitución de importaciones fue la política que lideró el crecimiento industrial después de 1929. Chu (1972) calcula que en la década de 1930 y en 1945 la sustitución de importaciones incrementó su aporte al valor agregado en 76 y 50%, respectivamente. Igualmente, la proporción de la demanda interna atribuible a las importaciones se redujo considerablemente, al pasar de 85 a 12% entre 1929 y 1945.
Así, el periodo 1930-1945 se caracterizó por una expansión sin precedentes en la producción manufacturera en Colombia, y el sector textil fue el que lideró dicho proceso. Chu calcula que durante la Segunda Guerra Mundial este sector aportó el 67% de la producción manufacturera, lo que muestra la amplia dominación de este sector en el proceso de industrialización por sustitución. Como resultado, el sector textil se consolidó como el más importante de la industria manufacturera colombiana. En 1929 este representó el 25% del valor agregado industrial; en 1939, el 45%; y en 1945, el 52%.
Es de esperarse que Medellín se viera significativamente favorecida por la adopción del modelo ISI. Las tres firmas que concentraban la producción: Coltejer, Fabricato y Tejicondor, estaban establecidas en esta ciudad. Según cifras del Primer Censo Industrial de 1945, el 38,3% de la mano de obra empleada en el sector, y el 37,8% del capital invertido en el mismo se concentraban en Medellín. En la Tabla 1 se puede ver que Medellín era, por un amplio margen, el principal centro textil de Colombia, seguida por Barranquilla.
Como resultado del espectacular desarrollo de su industria textil Medellín se convirtió en el principal centro industrial del país. Los datos del Primer Censo Industrial de Colombia (1945), publicado por la Contraloría General de la República en 1947, así lo confirman. La industria medellinense empleaba el 17,3% de la mano de obra industrial nacional; Bogotá, el 15,7%; Barranquilla, el 10,5%; Cali, el 7,1%. Esto era de esperarse, ya que el sector textil es intensivo en el uso del factor trabajo. Igualmente, aunque en términos absolutos el valor del capital invertido en la industria bogotana era más alto, el valor del capital invertido por empresa era mayor en Medellín: $94.396 frente a $90.262 en Bogotá; en Barranquilla fue de $86.701; en Cali de $65.039 (ver Tabla 1). Estos resultados sugieren que el aporte de Medellín al nivel de empleo, y su valor, era más que proporcional a su densidad industrial.
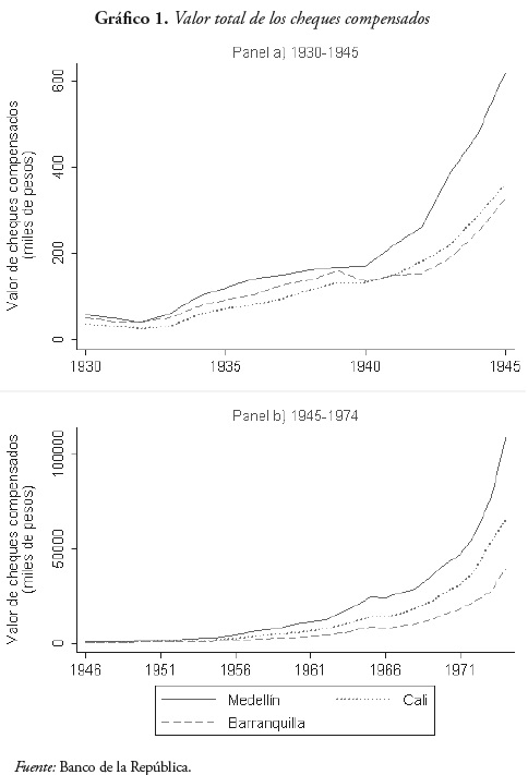
El apogeo económico de Medellín hacia mediados del siglo XX se puede apreciar al analizar indicadores que sirven para aproximar los niveles de actividad económica. Para este propósito se muestra el comportamiento del valor total de los cheques compensados en Medellín, Cali y Barranquilla en dos periodos específicos: el primero va de 1930 a 1945, en el cual la sustitución de importaciones se constituyó como la principal fuente de crecimiento industrial manufacturero (Chu, 1972); el segundo va de 1946 a 1974, periodo durante el cual permaneció vigente el modelo ISI. Los resultados asociados a este ejercicio se encuentran en el Gráfico 1. Vale la pena aclarar que se excluyó a Bogotá de este análisis, ya que desde mediados del siglo XX esta ciudad se consolida como el principal centro económico del país, razón por la cual el valor de los cheques compensados en la misma es sumamente alto, factor que impide comparar a Medellín con las demás ciudades.
El Gráfico 1 muestra que en 1930 los valores totales de los cheques compensados en Barranquilla y Medellín eran equivalentes, lo cual era de esperarse, ya que hacia principios del siglo XX estas dos ciudades eran los principales centros industriales del país. Dicha equivalencia persistió hasta 1940, año en que Medellín despega, dejando rezagadas a sus rivales. Incluso, se puede apreciar un estancamiento económico de Barranquilla, ya que a partir de 1942 Cali toma su lugar como la tercera economía más grande de Colombia. Esto también era de esperarse, ya que esta última ciudad también se vio significativamente favorecida por la adopción del modelo ISI, el cual favoreció la producción de bienes intermedios (Orjuela, Mayor & Vesga, 2007). No obstante, Barranquilla se perjudicó debido a la ausencia de la producción de algodón en la Costa Caribe durante el auge de la industria textil colombiana (Meisel, 1987).
Luego, entre 1946 y 1974 Medellín se consolida como la segunda economía del país y se puede ver que la brecha con respecto a Cali y Barranquilla se incrementa sustancialmente. También se hace más evidente el rezago de Barranquilla. Lo importante, sin embargo, es que a pesar de que el valor de los cheques compensados entre estas tres ciudades era similar antes de que se implementara el modelo ISI, cuando este culminó, el valor de los cheques compensados en Medellín era 40 y 63% más alto que en Cali y Barranquilla, respectivamente.
II. Decadencia industrial
Aunque durante una buena parte del siglo XX Medellín fue un claro ejemplo de éxito urbano, hacia finales de siglo hubo factores que llevaron a que la ciudad perdiera el dinamismo que la había caracterizado. En particular, la excesiva especialización en la producción textil y el desmonte de la estrategia sustitutiva fueron factores que incidieron sobre su declive urbano.
A. Excesiva especialización
Se podría decir que el mismo factor que propició el éxito de Medellín fue el que la llevó a su declive. Esta ciudad concentró una buena parte del crecimiento industrial y económico agrupando la producción textil de Colombia. No obstante, la industria medellinense tuvo un excesivo grado de especialización en la producción de este tipo de bienes, lo cual era lógico, ya que este sector le permitió alcanzar dicho éxito. Por lo tanto, la ciudad no se preocupó por desarrollar nuevos sectores industriales a medida que se avanzaba en el proceso de industrialización por sustitución.
Desde 1945 se puede observar la alta concentración de la producción manufacturera medellinense en el sector textil. Un análisis de los datos asociados al Primer Censo Industrial (1945) así lo confirma (ver Tabla 2). En este cuadro se puede ver que el sector textil ocupaba al 47% del personal y concentraba el 40% del capital invertido en la industria medellinense. Este conglomerado era el más grande de la industria manufacturera nacional, lo que muestra que se estaba generando una alta dependencia de la economía urbana hacia dicha actividad.
La concentración de la producción industrial en bienes de consumo es de esperarse durante las primeras etapas del proceso de industrialización por sustitución. Sin embargo, si bien es cierto que la producción textil fue lo que le permitió a la ciudad alcanzar el éxito urbano, a medida que se avanzaba en dicho proceso, también se debieron desarrollar sectores industriales cuya producción se enfocara en bienes intermedios y de capital, pues la sustitución de importaciones fue directamente proporcional al desarrollo industrial (Garay, 2004; Ocampo, 1987). Por ejemplo, Ocampo muestra cómo las industrias de sustitución tardía pasaron de representar el 10,3% del valor agregado industrial nacional en 1945 al 42,2% en 1974.4 Lo opuesto sucedió con las industrias de sustitución temprana, las cuales redujeron su participación al pasar de 62,4 al 35,9% en el mismo periodo. Por otro lado, Rodríguez (1993) sostiene que durante las primeras etapas del modelo ISI se sustituyó la producción interna correspondiente a los bienes de consumo corriente; durante la segunda etapa, los bienes intermedios; finalmente, se procedería a la sustitución de los bienes de capital.
Nelson (1967) argumenta que una de las principales dificultades de la economía colombiana estuvo en su alta concentración en industrias dedicadas a la producción de bienes de consumo, en Medellín esta tendencia fue particularmente robusta. Al compararla con otros centros industriales importantes se evidencia que esta ciudad no avanzó hacia etapas posteriores del proceso de industrialización por sustitución. Esto se puede ver en detalle en la Tabla 3, la cual muestra la evolución de la composición del valor de la producción industrial de Medellín, Bogotá y Cali con base en los censos industriales de 1953 y 1970. Como se puede ver, durante la vigencia del modelo ISI la participación del sector textil dentro del valor de la producción industrial medellinense se incrementó significativamente, específicamente en un 16%; los demás sectores disminuyeron su participación o el incremento fue considerablemente bajo.
Lo anterior también se puede observar al analizar el comportamiento del coeficiente de localización (CL). Este es un indicador que, bajo el contexto de este estudio, se utiliza para comparar el grado de especialización industrial urbano.5 Los resultados asociados al III Censo Industrial de 1970 se presentan en la Tabla 3 y, como se puede observar, el comportamiento del coeficiente indica que Medellín estaba altamente especializada en el sector textil; Cali, en la producción de papel; y Bogotá, en transporte.
Un contraste de la composición industrial de Medellín con las demás ciudades permite evidenciar la escasa diversificación de la base industrial medellinense y la excesiva especialización textil. Cali, por ejemplo, desarrolló tres industrias: producción de papel y cartón, sustancias y productos químicos, y maquinaria y accesorios eléctricos, las cuales incrementaron su participación en 11, 9,6 y 4,7 puntos porcentuales (p.p.), respectivamente. Bogotá, por su parte, también tuvo un incremento significativo en la participación de sustancias y productos químicos, además de productos metálicos, maquinaria no eléctrica y materiales de transporte, los cuales aumentaron su participación en 8,6, 4, 5,4 y 11,2 p.p., respectivamente.6 Lo importante, sin embargo, subyace en que estas últimas dos ciudades tuvieron un cambio estructural industrial importante, caracterizado por la diversificación de la base productiva y, sobre todo, por la transición hacia bienes intermedios y de capital. En cambio, en Medellín el sector textil no sólo permaneció como el gran sector industrial, sino que concentró la mayor parte del crecimiento en la producción entre 1953 y 1970.
Otra forma de ver el excesivo grado de especialización en la producción textil consiste en analizar el índice de Hirschman-Herfindahl (IHH), el cual permite medir el grado de especialización industrial urbano.7 Al calcular este índice se puede ver que Medellín aparece, por un amplio margen, como la ciudad más especializada, con un índice de 0,22. Por su parte, Bogotá aparece como la urbe más diversificada, con un valor de 0,09; la concentración industrial en Cali mostró una tendencia similar a Bogotá, con un índice de 0,10.
Con base en lo anterior se puede decir que el problema con el desarrollo industrial de Medellín radica en que fue una gran industria de un único sector, y la falta de diversificación productiva aumenta el riesgo en la economía urbana. Glaeser (2011) sostiene que cuando la economía urbana depende excesivamente de un sector industrial, los episodios de crisis urbana se derivan directamente de los momentos coyunturales que se presentan en el mismo. Precisamente, el problema radica en que Medellín no supo amortiguar el riesgo derivado de su especialización, pues no buscó nuevas alternativas de desarrollo económico. El primer panel del Gráfico 2 ilustra la alta participación del sector textil sobre la producción total de Medellín y como esta va decayendo desde 1977 hasta 1987. El segundo panel muestra, de esta misma figura, el comportamiento del valor de la producción industrial para Bogotá, Medellín y Cali para este mismo periodo de tiempo.
De esta forma, Medellín empezó a mostrar un desempeño comparativamente bajo en algunos indicadores que reflejan el éxito urbano. Por ejemplo, Gouëset (1998) sostiene que entre las cuatro principales ciudades del país, esta fue la de menor tasa de crecimiento demográfico hacia finales del siglo XX. Igualmente, si se mira la evolución de los depósitos de ahorro en los bancos comerciales -otra forma de aproximar el comportamiento del PIB-, se puede observar claramente que en 1979 y 1982 hubo una disminución considerable en Medellín, lo que contrasta con lo observado para Barranquilla y Cali (ver Gráfico 3).8
C Violencia
Hacia finales del siglo XX el panorama en Medellín era desolador; aparte de la crisis industrial que afectaba directamente al núcleo de la economía, se presentó un incremento sin precedentes en los niveles de violencia. Desde finales de la década de 1980 la tasa de homicidio aumentó exponencialmente, alcanzando un máximo de 381 homicidios por cada cien mil habitantes en 1991 (4,7 veces la tasa nacional), tal como se puede observar en el Gráfico 4. Ello perfiló a Medellín como una de las ciudades más peligrosas y violentas del mundo, título que persistió durante varios años. Se trataba de una ciudad que generaba miedo por sus problemas de seguridad.
Diversos estudios atribuyen el incremento de la violencia en los años ochenta a las consecuencias negativas asociadas al narcotráfico; en el caso de Medellín se trata de la guerra que sostuvieron el Estado y el Cartel de Medellín. Sánchez & Núñez (2007) muestran que los ingresos del narcotráfico explicaron el incremento que tuvo la tasa de homicidio desde 1981. Específicamente, establecen que cerca del 80% del aumento en la tasa de homicidio de este periodo puede ser atribuido al incremento de la actividad del narcotráfico.
Durante los ochenta Medellín fue el centro de operaciones del Cartel de Medellín, el cual era liderado por Pablo Escobar. Dicho cartel se hizo célebre por cometer algunos de los actos criminales más influyentes del siglo XX en Colombia, los cuales incidieron directamente en el incremento en la tasa de homicidio. De acuerdo con Riley (1996), referenciado por Medina et al. (2011), entre dichos actos se encuentran el asesinato del Ministro de Justicia, Rodrigo Lara Bonilla en 1984; la toma del Palacio de Justicia por parte del grupo guerrillero M-19 en 1985; el asesinato del Procurador General de la Nación, Carlos Mauro Hoyos, en 1988; el asesinato del candidato presidencial Luis Carlos Galán, en 1989; la colocación de una bomba en un avión comercial en el mismo año y el asesinato de más de 200 funcionarios de la Corte Suprema de Justicia y 40 jueces. En ese sentido era de esperarse que Medellín, siendo el centro de operaciones de este cartel, fuera la ciudad más afectada por la ola de violencia. Durante este periodo, más de 200 policías fueron asesinados en Medellín, Pablo Escobar pagaba recompensas por estos homicidios (Riley, 1996).
Todos estos actos criminales desencadenaron la reacción de la Fuerza Pública, la cual se dedicó a combatir al Cartel de Medellín de manera abierta. Como suele suceder en la mayoría de los enfrentamientos armados, las consecuencias negativas derivadas de dicho enfrentamiento se reflejaron en el incremento sin precedentes en la tasa de homicidios. Sin embargo, los efectos negativos fueron más allá del deterioro en las condiciones de seguridad. Cubides, Olaya y Ortiz (1998) argumentan que el narcotráfico generó una cultura violenta en la ciudad debido a la proliferación de bandas de sicarios, la circulación de armas y la mentalidad armamentista y la corrupción de los funcionarios estatales.
Otros autores señalan a la exclusión social como una de las causas de la violencia en Medellín. Álvarez, Bernal y Sepúlveda (2011) se centran en las transformaciones de las relaciones laborales, argumentando que el desempleo no solo afecta los ingresos, sino que se trata de una variable de carácter multidimensional, con capacidad para incidir sobre los niveles de violencia. De acuerdo con estos autores, antes de la década de los ochenta Medellín se convirtió en una ciudad en la cual la economía formal, principalmente el sector textil, adquirió, mediante la movilización sindical y negociaciones colectivas, garantías asociadas con la estabilidad económica y social, lo cual podría relacionarse con el auge de la economía medellinense derivado del modelo ISI. No obstante, con la crisis económica de finales del siglo XX, estas circunstancias cambiaron significativamente, ya que una proporción considerable de la fuerza laboral empleada en el sector textil perdió su empleo y, a su vez, dichas garantías. Ello produjo en la población marginada sentimientos de frustración, lo que provoco un incremento en los niveles de violencia. Concretamente, la marginación los motivó a obtener por la fuerza las reivindicaciones sociales que habían conseguido.
III. El retorno de Medellín
Luego de décadas marcadas por la crisis industrial y la violencia, Medellín ha encontrado la forma de convertirse, nuevamente, en uno de los ejemplos más apremiantes de éxito urbano en Colombia. La ciudad logró dar un vuelco a esta situación y llevó a cabo una profunda transformación: mostró una significativa recuperación en los indicadores sociales y económicos; la tasa de homicidio disminuyó sistemáticamente a partir de 1991, aunque aún permanece alta; y el Cartel de Medellín desapareció. En la ciudad se respira un nuevo aire y desde hace unos años se caracteriza por ser una ciudad sumamente atractiva, que lidera diversos indicadores sociales y económicos. Además, en lugar de insistir con el resurgimiento de la industria manufacturera tradicional, la cual perdió su capacidad para liderar y generar crecimiento económico, Medellín decidió orientar su desarrollo económico hacia la generación de conocimiento, apalancado en la innovación, como estrategia para generar riqueza.
A. Medellín: una ciudad atractiva
Al observar uno de los principales indicadores sociales, la tasa de pobreza, se puede ver que en 2011 esta fue una de las principales ciudades colombianas con menor incidencia de la pobreza, tal como se muestra en el Gráfico 5. En esta figura se puede observar que en todas las ciudades la pobreza ha seguido una tendencia decreciente, y Medellín no fue la excepción, pues su tasa de pobreza se redujo de 36,5 a 19,2%. Sin embargo, lo interesante subyace en que esta mejoró su posición con respecto a las demás ciudades. Por ejemplo, en 2002 fue la sexta ciudad con menor incidencia de la pobreza; en 2011 fue la tercera.
Con respecto a este tema, vale la pena mencionar que Medellín es una de las capitales más desiguales de Colombia. En 2011, por ejemplo, el coeficiente de Gini asociado a esta ciudad fue el cuarto más alto entre las trece principales ciudades. Y aunque la ciudad ha mostrado un avance con respecto a 2002, cuando su Gini fue el segundo más alto, este sigue siendo comparativamente alto (ver Gráfico 6). En ese sentido, el mejoramiento de la calidad educativa aparece como un mecanismo fundamental para mejorar la calidad de vida de la población, ya que la educación de calidad permite disminuir las desigualdades sociales y generar oportunidades.
En cuanto a la educación, es una ciudad que presenta muy buenas tasas de cobertura educativa. En 2010, por ejemplo, la cobertura educativa de Medellín fue superior a la de Bogotá y Cali en todos los niveles educativos, tal como lo muestra la Tabla 4. Sin embargo, la calidad educativa debe ser mejorada, ya que la proporción de colegios medellinenses, cuyo desempeño en las pruebas Saber 11 (Examen de Estado para la evaluación de la Educación Media) corresponde a niveles altos de rendimiento académico, es menor en relación con Bogotá, ciudad que lidera los indicadores asociados a la calidad educativa. Por ejemplo, Bogotá concentra el 21,2% de sus planteles educativos en el nivel muy superior, según el puntaje cualitativo asignado por el Instituto Colombiano para la Evaluación de la Educación (ICFES); Medellín el 12,8%; y Cali el 16,9%. Análogamente, en el nivel bajo de desempeño académico, Bogotá concentra tan solo el 2% de sus colegios; mientras que Medellín el 9,3 % (ver Tabla 5).
Por otro lado, Medellín es una ciudad cuyas finanzas públicas son muy saludables, ya que en 2010 ocupó el puesto 7 en el escalafón asociado al índice de Desempeño Fiscal del Departamento Nacional de Planeación (DNP), en el cual se incluye a todos los municipios colombianos (ver Tabla 6). Sin embargo, este buen desempeño fiscal es algo reciente, pues una década atrás la ciudad ocupaba el puesto 279. Ello muestra el esfuerzo institucional que esta ciudad ha venido haciendo para convertirse nuevamente en un ejemplo de éxito urbano.
Si miramos indicadores relacionados con Tecnologías de la Información y la Comunicación (TIC), se evidencia una de las mayores fortalezas de Medellín. Esta urbe tiene una tasa de penetración de internet significativamente alta, la cual es mayor a la de Bogotá y Cali (ver Tabla 7). Concretamente, en 2011 ocupó el puesto 4 a nivel nacional en cuanto a la penetración de internet. Esto era de esperarse, ya que esta ciudad ha sido reconocida por orientar su desarrollo económico y social hacia la generación de conocimiento, ciencia y tecnología. Dicho nivel de penetración se explica, entre otras cosas, por el hecho de que la municipalidad cuenta con una importante empresa que se dedica a la provisión de servicios públicos, entre los cuales se destaca el de internet.
El incremento en la innovación, la generación de conocimiento y el uso intensivo de la tecnología en Medellín también se refleja en otros indicadores de ciencia, tecnología e innovación. De acuerdo con Salazar et al. (2011), entre 2009 y 2011 Antioquia concentró el 23% de la inversión en actividades de ciencia, tecnología e innovación (ACTI) y el 27% de las inversiones en investigación y desarrollo (I+D), siendo únicamente superada por Bogotá, que concentró el 51% y el 44%, respectivamente (ver Gráfico 7). Por otro lado, la participación de los grupos de investigación científica y tecnológica del departamento fue del 13% en 2010, mientras que el número de investigadores activos representó el 16% del total nacional, ocupando el segundo lugar. Igualmente, según cifras de Robledo et al. (2012), el comportamiento de la tasa de solicitud de patentes en 2011 muestra a Antioquia como el departamento con la segunda mayor tasa, con 0,651 solicitudes por cada cien mil habitantes. Lo interesante, sin embargo, radica en que este desempeño comparativamente bueno no se presentaba una década atrás, ya que en 2001 el Departamento ocupó el puesto 11 (ver Gráfico 8), mostrando uno de los mayores avances entre los departamentos colombianos en este tema.
Respecto al desempleo, la ciudad presenta una situación interesante. Durante la última década, Medellín se ha caracterizado por tener una tasa de desempleo que es sistemáticamente mayor a la tasa nacional y a la de Bogotá, lo cual podría ser interpretado como un problema estructural en el mercado laboral urbano (ver Gráfico 9). No obstante, al mismo tiempo se encuentra que Medellín presenta la menor incidencia de la informalidad medida a través de la falta de seguridad social. Además, tiene la segunda menor tasa de informalidad si esta se mide a través del trabajo en establecimientos de menos de 10 empleados (Galvis, 2012). Adicionalmente, los ocupados de Medellín son, después de los bogotanos, los que devengan mayores ingresos por hora, tal como lo indica la Tabla 8. Entonces, si bien es cierto que la ciudad presenta tasas de desempleo que podrían catalogarse como comparativamente altas, al mismo tiempo hay que tener en cuenta que la calidad del empleo tiende a ser mejor que en otras ciudades (Meisel & Sánchez, 2012).
Sin embargo, existe un aspecto en el cual la ciudad presenta un mal desempeño: el respeto por la vida. A pesar de haberse desprendido de su pasado asociado al Cartel de Medellín, la ciudad aún tiene una tasa de homicidio significativamente alta, tal como se puede apreciar en el Gráfico 10. Aunque la tasa de homicidios de Medellín es más baja que la de Cali -ciudad que ha tenido consecuencias negativas asociadas al narcotráfico y que actualmente tiene la tasa de homicidio más alta del país (Otero, 2012) - esta es 1,8 veces la tasa nacional y 3,3 veces la de Bogotá. Ello a pesar de que entre 2002 y 2006 hubo una tendencia decreciente en el comportamiento de la tasa de homicidio, hasta el punto en que esta alcanzó a estar por debajo de la tasa nacional. No obstante, desde 2007 hubo un recrudecimiento de la violencia, lo cual se puede asociar con el surgimiento de bandas criminales disidentes de las autodefensas, que tienen una fuerte presencia en Antioquia, y se disputan el control territorial buscando el dominio de actividades económicas ilícitas (Sánchez et al., 2012).
De acuerdo con García et al. (2012), entre 1979 y 2008 la violencia homicida en Medellín afectó principalmente a hombres jóvenes, entre 27 y 33 años, de estratos socioeconómicos bajos, siendo los ajustes de cuentas y atracos las principales circunstancias en las cuales se cometieron los homicidios. Los hombres fueron víctimas en el 93% de los casos, y los estratos medio y bajo acumularon el 94% de los mismos. Dentro de las circunstancias de los asesinatos, el 37% correspondió a ajustes de cuentas y el 28% a atracos; el 85 % de los asesinatos se cometió con arma de fuego. Todo esto demuestra que la violencia homicida en Medellín afecta casi en su totalidad a un grupo específico de la población y revela un alto grado de organización delictiva.
B. Composición económica
Durante las últimas décadas Medellín ha avanzado hacia la tercerización de su base económica.9 El Gráfico 11 muestra la evolución de la composición económica de Antioquia entre 1960 y 2010. Dos aspectos interesantes se derivan del análisis de dicha figura: en primer lugar, entre 1960 y 1990 hubo un desplazamiento de las actividades económicas, desde el sector agrícola hacia el industrial; segundo, la economía antioqueña pasó por un proceso de tercerización, pues entre 1990 y 2010 el sector servicios incrementó su participación en el PIB departamental en 16 p.p.
Además de representar la mayor parte de la base económica, el sector se caracteriza por la prestación de servicios de un alto valor agregado. En 2010 los servicios financieros, inmobiliarios, empresariales y de seguros aportaron el 39% del PIB terciario de Antioquia (ver Gráfico 12), lo que equivale al 24% del PIB departamental, siendo la rama de actividad económica de mayor valor agregado.
Además de representar la mayor parte de la base económica, el sector se caracteriza por la prestación de servicios de un alto valor agregado. En 2010 los servicios financieros, inmobiliarios, empresariales y de seguros aportaron el 39% del PIB terciario de Antioquia (ver Gráfico 12), lo que equivale al 24% del PIB departamental, siendo la rama de actividad económica de mayor valor agregado.
Vale la pena aclarar que a pesar de que el sector industrial disminuyó su participación entre 1990 y 2010, Antioquia sigue siendo el segundo centro industrial del país. En 2010, por ejemplo, el sector secundario departamental representó el 13,2% del PIB industrial, porcentaje que solo fue superado por Bogotá (ver Tabla 9). Sin embargo, es el departamento con mayor orientación industrial, ya que esta representó el 32% del PIB departamental, participación que fue mayor que en Bogotá, Valle del Cauca y Atlántico. Además, Medellín tiene la mayor proporción de ocupados en el sector industrial, tal como se puede ver en el Gráfico 13. La mayoría de ese empleo es absorbido por el sector textil/confecciones, el cual en 2010 ocupó al 31,4% de la mano de obra industrial manufacturera.
Medellín aún se especializa en la producción textil, siendo actualmente reconocida como un importante centro de moda, no sólo en Colombia, sino internacionalmente. Y aunque la constitución de la economía urbana ha cambiado en los últimos años, este sector sigue siendo un pilar fundamental de la misma. Una mirada a la Encuesta Anual Manufacturera de 2010 revela que el textil ya no es el sector de mayor participación en la producción industrial. Concretamente, se puede ver que se han desarrollado otros sectores industriales, como los de materiales y equipos de transporte, metales no ferrosos y otros productos químicos (ver Tabla 10). No obstante, ello no implica que el sector textil haya dejado de ser importante; todo lo contrario. Su importancia se refleja en su aporte al nivel de empleo y al valor agregado, pues se trata del mayor empleador de la ciudad y el de mayor aporte al valor agregado. En ese sentido, la reducción de su participación en la producción se deriva de las tendencias en la producción industrial en las últimas décadas, caracterizadas por la emergencia de nuevos sectores.
Como se ha podido ver, actualmente la economía medellinense tiene un mayor grado de diversificación, no solo en su base industrial, sino en su base económica. Dicha diversificación debería traducirse en un mayor crecimiento económico, ya que incrementa la productividad, la innovación y la atracción de capital humano valioso, factores importantes para alcanzar el éxito urbano (Glaser et al., 1992; Duranton & Puga, 2001; Da Silva, Gonçales & Porcile 2010).
C. La apuesta de Medellín
Glaeser (2011) argumenta que las economías urbanas intensivas en el uso de tecnología, conocimiento e información son las que tienen mayor éxito, pues permiten interacciones entre personas con un alto nivel de capital humano y de talento. Consciente de esto, Medellín decidió abandonar su faceta de ciudad industrial para convertirse en una ciudad que apalanca su crecimiento económico a partir de la innovación. Más allá de la tercerización de la base económica, esta urbe ha entendido que los procesos de globalización requieren que esta evolucione y, por lo tanto, oriente su economía hacia la prestación de servicios de alta tecnología, los cuales son de un valor agregado comparativamente alto.
Medellín, fiel a su estilo emprendedor, ha promovido una estrategia que busca consolidar el desarrollo de sectores económicos específicos en los cuales la ciudad tiene un importante potencial. Para lograr este objetivo se han establecido clusters empresariales, una estrategia que debería incidir positivamente sobre el crecimiento económico urbano y regional (Glaeser, 2011) (ver Tabla 11). La composición de cada uno de estos aglomerados incluye, además de empresas, a proveedores, centros de investigación e instituciones públicas, y como eje central de la misma subyacen la innovación, el uso de tecnología y la cooperación.
La conformación de estos aglomerados no es una casualidad, y se producen en sectores en los cuales la ciudad tiene un importante potencial. En el ámbito nacional, estos aglomerados representan un porcentaje significativo del valor agregado de su sector, tal como lo muestra el Gráfico 14. Por ejemplo, en 2010 el sector de energía de Antioquia representó el 22,4% del PIB asociado a ese sector, siendo el departamento de mayor participación; el de construcción, el 16%; hoteles, bares, restaurantes y similares, el 12,8 %; correo y telecomunicaciones, 12,3 %. Estos últimos tres sectores sólo fueron superados por Bogotá. Por otro lado, usando información asociada a la Encuesta Anual Manufacturera se puede ver que el sector textil/confección aportó el 49% de la producción sectorial.
Una de las mayores apuestas de Medellín consiste en ser reconocida por la prestación de servicios que requieren de un alto grado de especialización y de conocimiento. En ese sentido, el cluster de las Tecnologías de la Información y la Comunicación (TIC) desempeña un papel fundamental. Este aglomerado permite potenciar aun más el desarrollo de otros sectores estratégicos, como los de energía y salud, ya que algunas de las empresas pertenecientes al mismo prestan servicios de alta tecnología. Precisamente, la integración de estos conglomerados permite la prestación de servicios sofisticados, tales como smart service outsourcing, smart city y creative transmedia, los cuales generan un valor agregado comparativamente alto.
En 2010 el cluster de las TIC estuvo conformado por un total de 2.779 empresas. De estas, el 90% fueron microempresas; el 8%, pequeñas empresas; el 1,1%, medianas; y el 0,9%, grandes empresas. En la Tabla 12 se muestra el tipo de actividad, según los tamaños de las empresas. Se puede ver que las actividades relacionadas con consultoría TIC, desarrollo de software, hardware y electrónica y comercialización de softwareconstituyen algunos de los sectores en los cuales se cuenta con un tejido empresarial considerable. En estos se pueden encontrar empresas cuyos negocios se basan en la integración de sistemas informáticos, contenidos digitales y la tercerización tecnológica y de conocimiento, entre otros. Por ejemplo, en lo que respecta a la integración de sistemas, el tejido empresarial de este segmento estuvo compuesto en 2010 por 30 empresas dedicadas a la producción audiovisual, mientras que 40 a la animación digital; la tercerización tecnológica contó con 18 fábricas de software; en tercerización de conocimiento, 5 knowledge process outsourcing (KPO)especializados (ver Tabla 13).
Nada de esto fuera posible sin la innovación. Y en Medellín es evidente que hay un compromiso para generar las condiciones necesarias para ello. La ciudad cuenta con Ruta N, una corporación dedicada exclusivamente a promover y favorecer el desarrollo de negocios basados en el conocimiento. Vale la pena resaltar que según lo establecido en el Acuerdo 370 de 2011, al menos el 7% de los excedentes ordinarios de Empresas Públicas de Medellín (EPM) deben ser destinados al Plan de Ciencia Tecnología e Innovación de Medellín 2011-2021, y será Ruta Nla encargada de manejar estos recursos.
La orientación que la economía de Medellín ha tenido a lo largo de la última década le ha permitido alcanzar altas tasas de crecimiento económico. Una prueba de dicho éxito se puede ver al analizar el comportamiento de los ingresos tributarios, otra forma de aproximar el comportamiento del PIB urbano, para el periodo 1984-2008, tal como lo muestra el Gráfico 15. Esta es una figura interesante porque muestra la evolución del proceso de concentración económica urbana en Colombia a lo largo de los últimos años. En ella se puede ver que desde principios de la década anterior se presenta una marcada divergencia entre las principales ciudades colombianas, algo que no sucedía a principios del siglo XX. Concretamente, se puede ver que Medellín ha dejado rezagadas a Cali y Barranquilla, consolidándose como la segunda economía urbana de Colombia, ya que su PIB ha tenido tasas de crecimiento comparativamente altas.
IV. Conclusiones
Una buena proporción del éxito de Medellín a principios del siglo XX es atribuible al crecimiento de su industria manufacturera y la posterior adopción del modelo de industrialización por sustitución de importaciones (ISI). El periodo 1930-1945 se caracterizó por una expansión sin precedentes en la producción manufacturera colombiana, y el sector textil fue el que lideró dicho proceso. En ese sentido, es de esperarse que Medellín, siendo la ciudad que concentraba la mayor parte de la producción textil, se viera significativamente favorecida.
Sin embargo, hubo un problema estructural en el desarrollo industrial medellinense: la ciudad tuvo un excesivo grado de especialización en la producción textil, y su industria se configuró con una alta dependencia hacia dicho sector. Esto significaría un problema, ya que como resultado de la apertura y el cambio en los precios relativos de las mercancías, generado por el efecto de la revaluación del peso y la reducción de los aranceles, la industria manufacturera nacional entró en un periodo de crisis industrial. Ello desencadenó una profunda crisis urbana caracterizada por la disminución sistemática de la producción, lo que derivó en la quiebra de algunas de las mayores textileras de la ciudad.
Hacia finales del siglo XX el panorama en Medellín era desolador, ya que, aparte de la crisis industrial, se presentó un incremento enorme en los niveles de violencia. La ola de violencia, combinada con la crisis económica dejó a Medellín estancada en una profunda crisis urbana, la cual se reflejó en diversos aspectos económicos, políticos y sociales, este panorama parecía bastante difícil de revertir.
Sin embargo, Medellín pudo dar un vuelco a esta situación y logró una significativa recuperación; actualmente es un ejemplo de éxito urbano en Colombia, pues lidera varios de los indicadores sociales y económicos. La ciudad entendió que para volver a tener éxito urbano es necesario que su economía responda a demandas provenientes de mercados globales. Si bien la industria manufacturera tradicional representó, en su momento, una importante fuente de crecimiento y desarrollo económico, esta presentó problemas de competitividad y mostró pocas perspectivas de crecimiento a medida que la economía colombiana entró en un proceso de liberalización comercial. Por esta razón la ciudad decidió apostarle a estrategias generadoras de riqueza que fueran consistentes con el proceso de globalización, los cuales se caracterizan por el uso intensivo de la tecnología, el conocimiento y la información. La Imagen 1 resume los principales acontecimientos históricos de Medellín en una línea de tiempo.
Así, la ciudad decidió orientar su desarrollo económico hacia una economía generadora de conocimiento, dejando en el pasado su reputación de ciudad industrial. Como eje central de dicha estrategia subyace la innovación, apalancada en el uso intensivo de la tecnología. Para lograr este objetivo la ciudad decidió desarrollar clusters empresariales en los cuales tiene un importante potencial. De esta manera, Medellín busca ser reconocida en los mercados globales por la prestación de servicios de alta tecnología y por la diferenciación de sus productos, para lo cual se requiere de capital humano con un alto grado de especialización y de habilidad, factor que favorece el éxito urbano.
De acuerdo con la literatura asociada a la economía urbana, esta representa una estrategia de competitividad que debería traducirse en altas tasas de crecimiento económico. De esta forma, Medellín tiene la particularidad de ser la ciudad colombiana en la cual la directriz de la economía urbana se encuentra determinada por generación de riqueza a partir de la innovación.
En ese orden de ideas, se puede decir que la economía de Medellín va por un buen camino. Y Aunque la estrategia de los clusters empresariales es relativamente reciente, al igual que la institucionalización de la innovación como directriz económica, desde hace aproximadamente una década la ciudad ha venido presentando un buen desempeño en lo social y lo económico, condiciones que son necesarias para potencializar el desarrollo urbano a través de la misma.
NOTAS
2 Aunque autores como Chu (1972) atribuyen el crecimiento industrial al cambio en los precios relativos de los bienes transables, argumentando que las medidas proteccionistas tuvieron un impacto limitado.
3 Los cálculos relacionados con la tasa de crecimiento del PIB de Colombia se hicieron utilizando información de los indicadores macroeconómicos del Departamento Administrativo Nacional de Estadística y del Banco de la República.
4 Papel, productos químicos, derivados del petróleo, metales básicos, productos metálicos, maquinaria eléctrica y no eléctrica, material de transporte y manufacturas diversas.
5 Específicamente se calcula como:

Yij/∑jYij = Participación de la producción del sector i en el total de la ciudad j.
∑iYij/∑i∑jYij = Participación de la producción del sector i en el total nacional.
Si CL > 1 entonces hay una relativa especialización urbana en ese sector.
6 De esta parte del análisis se ha decidido excluir a Barranquilla, ya que durante este periodo sufrió una profunda crisis urbana (Gouëset, 1998), la cual se caracterizó, entre otras cosas, por el desplazamiento de su industria hacia otras regiones.
7 El IHH se calcula de la siguiente forma: IHH = ∑i(Yi/Yt)2, donde Yi es la producción industrial del sector i en una ciudad determinada; Yt es la producción total de la industria de dicha ciudad. Aquellos valores del índice cercanos a 0 se asocian con mayores niveles de diversificación industrial. Análogamente, los valores cercanos a 1 se relacionan con altos niveles de concentración.
8 Aunque los datos presentados son de orden departamental, se puede esperar que la mayor parte de los depósitos se concentren en las ciudades capitales, tal como sucede con el PIB.
9 Teniendo en cuenta que no existen cifras ofíciales asociadas al PIB municipal, se emplean las cuentas departamentales del Departamento Administrativo Nacional de Estadística (DANE), ya que se puede esperar que una buena proporción del PIB de Antioquia corresponda al PIB de Medellín.
REFERENCIAS
Álvarez, Luz Stella; Bernal Medina, Jorge & Sepúlveda Herrera, Diana (2011). ''Exclusión social en Medellín: sus dimensiones objetivas y subjetivas'', Estudios Políticos, No. 39, pp. 97-116. [ Links ]
Bejarano, Jesús Antonio (1987). ''El despegue cafetero, 1900-1928''. En: Ocampo, José Antonio (comp.), Historia Económica de Colombia (pp. 173-208). Bogotá, Siglo XXI editores. [ Links ]
Botero, Fernando (1984). La industrialización en Antioquia: génesis y consolidación 1900-1930, Medellín, Universidad de Antioquia. [ Links ]
Chu, Davis S. C. (1972). The Great Depression and Industrialization in Latin America: Response to Relative Price Incentives in Argentina and Colombia 1930-45. Tesis doctoral, Yale University, New Haven. [ Links ]
Contraloría General de la República (1947). Primer Censo Industrial de Colombia: 1945, Bogotá, Imprenta Nacional. [ Links ]
Cubides, Fernando; Olaya, Ana Cecilia & Ortiz, Carlos Miguel (1998). La violencia y el municipio colombiano 1980-1997, Bogotá, Universidad Nacional de Colombia, Centro de Estudios Sociales (CES). [ Links ]
Da Silva, Eva; Gonçalves, Favio & Porcile, Gabriel (2010). ''Municipios brasileños: economía de aglomeración y niveles de desarrollo en 1997 y 2007'', Revista Cepal, No. 101, pp. 145-161. [ Links ]
Duranton, Gilles & Puga, Diego (2001). ''Nursery Cities: Urban diversity, process innovation, and the life-cycle of products'', The American Economic Review, Vol. 9, No. 5, pp. 1454-1477. [ Links ]
Echavarría, Juan José (1989). ''En la industrialización se ha sobreestimado el aporte antioqueño'', Revista Antioqueña de Economía y Desarrollo, No. 30, pp. 81-96. [ Links ]
Galvis, Luis Armando (2012). ''Informalidad laboral en las áreas urbanas de Colombia'', Documentos de trabajo sobre Economía Regional, No. 164, pp. 1-52., disponible en: http://www.banrep.gov.co/documentos/publicaciones/regional/documentos/DTSER-164.pdf [ Links ]
Garay, Luis Jorge (2004). ''Colombia: estructura industrial e internacionalización 1967-1996'',Biblioteca Virtual Banco de la República, disponible en: http://www.banrepcultural.org/blaavirtual/economia/industrilatina/indice.htm. [ Links ]
García, Héctor Iván; Giraldo, Carlos Alberto; López, María Victoria; Pastor, María del Pilar; Cardona, Marleny; Tapias, Clara Eugenia... Vera, Claudia Yaneth (2012). ''Treinta años de homicidios en Medellín, Colombia, 1979-2008'', Cadernos de Saúde Pública, Vol. 28, No. 9, pp. 1699-1712. [ Links ]
Glaeser, Edward; Kallal, Hedi; Sheinkman, José & Shleifer, Andrei (1992). ''Growth in Cities'', Journal of Political Economy, Vol. 100, No. 6, pp. 1126-1152. [ Links ]
Glaeser, Edward (2011). Triumph of the City: How Our Greatest Invention Makes Us Richer, Smarter, Greener, Healthier, and Happier, New York, Penguin Press. [ Links ]
Gouëset, Vincent (1998). Bogotá: Nacimiento de un metrópoli. La originalidad del proceso de concentración urbana en Colombia en el siglo XX, Bogotá, Tercer Mundo Editores. [ Links ]
Lleras Restrepo, Carlos (1965). Comercio Internacional, Medellín, Incolda. [ Links ]
Medina, Carlos; Posso, Christian & Tamayo, Jorge Andrés (2011). ''Costos de la violencia urbana y políticas públicas: algunas lecciones de Medellín'', Borradores de Economía, No. 674, pp. 1-42., disponible en: http://www.banrep.gov.co/docum/ftp/borra674.pdf. [ Links ]
Meisel Roca, Adolfo (1987). ''¿Por qué se disipó el dinamismo industrial de Barranquilla?'', Lecturas de Economía, No. 23, pp. 57-84. [ Links ]
Meisel Roca, Adolfo & Sánchez Jabba, Andrés (2012). ''El desempleo en Colombia ¿Todo bien?'', Carta Financiera, No. 157, pp. 18-22. [ Links ]
Nelson, Richard (1967). ''A study of industrialization in Colombia: Part I, Analysis'', Memorandum (RAND Corparation), No. 5412. [ Links ]
Ocampo, José Antonio (1987). Historia Económica de Colombia, Bogotá, Siglo XXI Editores. [ Links ]
Ocampo, José Antonio; Bernal, Joaquín; Avella, Mauricio & Errazuriz, María (1987). ''La consolidación del capitalismo moderno''. En: Ocampo, José Antonio, Historia Económica de Colombia (pp . 243-334). Bogotá, Siglo XXI Editores. [ Links ]
Orejuela, Johnny; Mayor, Camilo & Vesga, Juan Javier (2007). ''Trayectoria de las empresas multinacionales en la ciudad de Cali'', Revista Científica Guillermo Ockham, Vol. 5, No. 2, pp. 83-103. [ Links ]
Otero, Andrea (2012). ''Cali a comienzos del siglo XXI: ¿Crisis o recuperación?'', Documentos de Trabajo Sobre Economía Regional, No. 172, pp. 1-64, disponible en: http://www.banrep.gov.co/documentos/publicaciones/regional/documentos/dtser_172.pdf. [ Links ]
Ramos, Gabriel (1996). ''La industrialización en Medellín: 1890-1945''. En: Melo, Jorge Orlando, Historia de Medellín, Medellín, Suramericana. [ Links ]
Ramos, Gabriel (1970). ''La historia de la industria en Colombia'', Revista ANDI, No. 11, pp. 5-85. [ Links ]
Riley, Kevin Jack (1996). Snow Job? The War Against International Cacaine Trafficking, United States, Transaction Publishers. [ Links ]
Rodriguez, Octavio (1993). La teoría del subdesarrollo de la Cepal, México, Siglo XXI Editores. [ Links ]
Salazar, Mónica; Arias, Diana; Álvarez, Jorge & Duran, María Fernanda (2011). Indicadores de ciencia y tecnología, Colombia 2011, Bogotá, Observatorio Colombiano de Ciencia y Tecnología. [ Links ]
Sánchez Jabba, Andrés; Días, Ana María; Peláez, Alejandro; Castelblanco, Omar; Tautiva, Johanna; González, Cristina & Ángel, Laura (2012). ''Evolución geográfica del homicidio en Colombia'', Documentos de Trabajo Sobre Economía Regional, No. 169, pp. 1-52., disponible en: http://www.banrep.gov.co/documentos/publicaciones/regional/documentos/dtser_169.pdf [ Links ]
Sánchez Fabio & Núñez, Jairo (2007). ''Determinantes del crimen violento en un país altamente violento: el caso de Colombia''. En: Sánchez, Fabio, Las cuentas de la violencia (p. 285). Bogotá, Centro de Estudios de Desarrollo Económico. [ Links ]
Campo Robledo, Jacobo; Cantor Vargas, Natalia; Herrera Saavedra, Juan Pablo; De Quinto, Miguel; Navarro Sánchez, Dennis (2012). ''Construcción de un índice de regionalización para el Sistema Nacional de Propiedad Industrial (PSI): una aproximación desde la metodología de componentes principales'', Documentos de Trabajo, No. 1, pp. 1-50., disponible en: http://www.sic.gov.co/recursos_user/documentos/promocion_competencia/Estudios_Economicos/01_Regionalizacion.pdf. [ Links ]







































