Services on Demand
Journal
Article
Indicators
-
Cited by SciELO -
Access statistics
Related links
-
Cited by Google -
Similars in
SciELO -
Similars in Google
Share
Ingeniería e Investigación
Print version ISSN 0120-5609
Ing. Investig. vol.31 no.3 Bogotá Sept./Dec. 2011
Estimación de curvas de gasto en estaciones virtuales Envisat sobre el cauce principal del río Orinoco
Rating curve estimation using Envisat virtual stations on the main Orinoco river
Juan León 1, Frederique Seyler2, Astrid Puerta3
1 Doctor, Universidad de Tolouse. Profesor, Universidad Nacional de Colombia - Sede Palmira. jgleonh@gmail.com
2 Doctor, Universidad de París. Institute de Recherche pour le Developpement - IRD., Francia. frederique.seyler@ird.fr
3 Ingeniera Ambiental, Estudiante de Maestría en Ingeniería Ambiental, Universidad Nacional de Colombia. astridpuertam@gmail.com
RESUMEN
La estimación de curvas de gasto (relación altura-caudal) para las estaciones hidrométricas que representan las secciones transversales de un río es una de las tareas fundamentales de la hidrometría, ya que estas permiten, entre otras cosas, la deducción de los caudales medios diarios del río sobre esas secciones. Dicha información es fundamental para cualquier tentativa de modelación hidrológica; sin embargo, la disminución de estaciones de control para el monitorio hidrológico sobre grandes cuencas es patente a nivel mundial. Desde hace cinco años diferentes estudios en hidrología espacial han demostrado que la altimetría radar por satélite permite densificar la información disponible sobre las redes de monitoreo hidrológico gracias a la introducción de las llamadas estaciones virtuales y que la utilización conjunta de esta información, junto con registros de caudales medidos in situ implican la estimación de curvas de gasto en las nombradas estaciones.
Este estudio presenta las curvas de gasto deducidas para cuatro estaciones virtuales Envisat sobre el cauce principal del río Orinoco. Los caudales en las estaciones virtuales fueron estimados aplicando el modelo 1D de Muskingum-Cunge. Los errores entre caudales medidos y estimados son inferiores al 1%. Se ha aplicado una metodología que permite deducir la profundidad media del flujo cero, la cual en este caso nos ha llevado a encontrar profundidades que varían entre once y veinte metros a lo largo de los 130 km del río Orinoco representados por las estaciones virtuales consideradas.
Palabras clave: altimetría radar, monitoreo hidrológico, estaciones virtuales, curvas de gasto, cuenca del Orinoco.
ABSTRACT
Rating curve estimation (height-stream relation) made by hydrometric stations representing cross-sections of a river is one of hydrometrics' fundamental tasks due to the fact that it leads to deducing a river's average daily flow on that particular section. This information is fundamental in any attempt at hydrological modelling. However, the number of hydrological control stations monitoring large hy-drological basins has been reduced worldwide. Space hydrology studies during the last five years have shown that satellite radar altimetry means that hydrological monitoring networks' available information can be densified due to the introduction of so-called virtual stations and the joint use of such information along with in-situ measured flow records for estimating expenditure curves at these stations.
This study presents the rating curves for 4 Envisat virtual stations located on the main stream of the Orinoco River. Virtual stations' flows were estimated by using the Muskin-gum-Cunge 1D model. There was less than 1% error between measured and estimated flows. The methodology led to reducing average zero flow depth; in this case, it led to depths ranging from 11 to 20 meters being found along the 130 km of the Orinoco River represented by the virtual stations being considered.
Keywords: biogas, oxygen enrichment, greenhouse gas, combustion property.
Introducción
Las curvas de calibración, o de gasto, son herramientas hidrológicas que ponen en evidencia la relación que existe entre una cota del nivel del agua y el caudal correspondiente a dicha cota para una sección dada de un río. Expresadas de forma general como una ley potencial, las curvas de gasto son utilizadas para deducir caudales medios diarios a partir de registros in situ de niveles diarios del agua tomados sobre las escalas limnimétricas de cada estación. La relación calibrada entre ambas variables es deducida a partir de pares de datos altura-caudal obtenidos mediante una práctica que se conoce como aforo (OMM, 1994). La precisión de la estimación de los caudales diarios es función de la calidad de esta relación obtenida para la sección, que a su vez depende, en consecuencia, del número de aforos realizados. Sin embargo, la disminución de estaciones hidrométricas que permiten monitorear el comportamiento hidrológico de una cuenca es mundial (Vörösmarty et al., 1999; Espinoza, 2009). Este problema se evidencia aún más en los países en vías de desarrollo, donde la falta de presupuesto en las agencias administradoras de la redes hidrométricas dificulta, no solo la instalación de nuevas estaciones, sino que afecta también el mantenimiento y gestión de las estaciones en funcionamiento. Esta problemática sugiere entonces la necesidad de recurrir a nuevas herramientas y tecnologías que permitan apoyar los actuales sistemas de monitoreo de aguas superficiales continentales brindando complemento y continuación a las medidas registradas in situ, además de procurar una densificación de las redes de control mismas.
Varios estudios (Brooks, 1982; Morris y Gill, 1994; Mercier et al., 2002; Frappart et al., 2006; Cretaux y Birkett, 2006; León et al., 2009a, entre muchos otros) han demostrado las ventajas que presenta la altimetría radar por satélite para medir las variaciones de los niveles del agua en medio continental. Tales estudios, además de presentar una revisión bibliográfica detallada sobre esta tecnología muestran cómo sus aplicaciones, no solo tienen que ver con la precisión ligada a los datos registrados, sino además con su capacidad de medir los niveles instantáneos de cuerpos de agua con resoluciones espaciales y temporales bastante aceptables. Dichas mediciones permiten definir lo que se conoce como estaciones virtuales. Se le denomina estación virtual a toda intersección que existe entre el barrido de un satélite y un plano de agua continental, sobre la cual los datos registrados permiten deducir una serie temporal que representa la variación de los niveles superficiales del agua (León et al., 2008). Particularmente para Colombia se ha desarrollado ALTICO (ALTImetría para COlombia) (León et al., 2009b), una base de datos que contiene 548 estaciones virtuales Envisat sobre toda la red hidrológica de Colombia, incluyendo ríos principales y secundarios, lagos, represas y zonas de inundación.
Hace cerca de tres años León et al. (2006) desarrollaron y validaron una metodología que permite la estimación de curvas de gasto en estaciones virtuales Envisat y Topex/Poseidon. Dicha metodología permite relacionar series temporales de niveles del agua registrados por el satélite y caudales medidos o estimados en las estaciones virtuales, lo que en otras palabras significa la estimación de curvas de gasto en esas estaciones virtuales.
El objetivo de este estudio es aplicar la metodología presentada por León et al. (2006) con el fin de obtener curvas de gasto para algunas estaciones virtuales Envisat reportadas por León et al. (en revisión) en la cuenca del Orinoco colombiano.
Materiales y métodos
Zona de estudio
La cuenca del Orinoco tiene una superficie aproximada de 1.015.000 km2, de los cuales unos 640.000 km corresponden al territorio venezolano, representando aproximadamente el 65% de la cuenca baja del Orinoco. Drenando escorrentías superficiales desde los Andes, las cuencas alta y media se ubican en territorio colombiano (figura 1). Con una extensión aproximada de 1.783 km el Orinoco es el segundo río más caudaloso de Suramérica, después del Amazonas, y tercero en el mundo (el Congo es el segundo). El río Orinoco y sus afluentes son el mayor sistema de drenaje natural superficial del este colombiano, en la zona conocida como Llanos Orientales. Los afluentes más importantes sobre dicha zona son los ríos Meta, Guaviare, Inírida y Vichada, cuya contribución ha sido estimada en aproximadamente 15.000 m3/s, representando casi el 50% del caudal total del Orinoco al océano Atlántico.
Descripción de la información altimétrica e in situ
Las estaciones virtuales que serán utilizadas en este estudio han sido extraídas de ALTICO, una base de datos desarrollada por la Universidad Nacional de Colombia (Sede Palmira) que contiene cerca de 550 estaciones virtuales Envista ubicadas sobre los principales cauces, lagos, represas y zonas de inundación de Colombia (León et al., 2009b). Dichas estaciones virtuales presentan, entonces, series temporales respecto a la variación de los niveles en la superficie libre del agua durante un período comprendido entre el 2002 (fecha de inicio de la misión) y el 2008 (fecha para la cual se tienen registros actualizados de la misión que funciona actualmente), con registro de una medida cada 35 días (León et al., 2008).
Desarrollada completamente en Microsoft Access®, ALTICO ha sido diseñada con una única estructura tabular que organiza la totalidad de las estaciones virtuales disponibles para Colombia, presentando para cada una de ellas: número de la estación, cuerpo de agua al que pertenece (río, lago, zona inundada, ciénaga), número de la traza satelital, nombre de la estación, coordenadas geográficas, vínculos para la visualización rápida de la estación, vínculo para acceder a los datos que forman la serie temporal y vínculo para visualización de la estación en Google Earth®.
Sobre la cuenca del Orinoco ALTICO presenta 120 estaciones virtuales, de las cuales 78 se encuentran en los principales cauces de la cuenca: 18 en el Guaviare, 17 en el Meta, 15 en el Inírida, 9 en el Orinoco, 8 en el Vichada, 6 en el Arauca y 5 en el río Casanare (León et al., en revisión), estaciones que se presentan como identificadores blancos en la figura 1. Con el fin de evaluar el nivel de precisión de las series altimétricas se aplicó la metodología propuesta por León et al. (2006) que sugiere estimar la raíz media cuadrática (RMS) entre las series virtuales y la serie in situ más cercana. Lógicamente este proceso solo es válido cuando la estación virtual se encuentra sobre una estación in situ o, en su defecto, a poca distancia y cuya sección no se encuentre afectada por cambios hidráulicos bruscos (León et al., 2008). Aplicando este método se lograron validar cerca de 20 estaciones virtuales sobre la cuenca del Orinoco con valores de RMS cercanos a 45 ± 14 cm (León et al., en revisión).
Por su parte, la información in situ fue proporcionada por el Instituto de Hidrología, Meteorología y Estudios Ambientales de Colombia (Ideam). La figura 1 muestra las 64 estaciones de control hidrométrico disponibles para la zona de estudio (puntos en gris oscuro). Sin embargo, de estas 64 estaciones, únicamente 34 se encuentran registrando niveles diarios de agua sobre los cauces principales de la cuenca y solo 22 de ellas tienen registros de caudales medios diarios entre el 2002 y el 2003. Ninguna estación tiene registros completos de caudales entre el 2002 y el 2008, período para el cual se tiene disponibilidad de registros actualizados de Envisat. La tabla 1 sintetiza la disponibilidad de la información sobre los cauces principales de la cuenca del Orinoco.
Este estudio se concentra entonces en las cuatro de las nueve estaciones presentes sobre el río Orinoco: 493Orinoco04, 493Orinoco01, 622Orinoco04 y 622Orinoco03. La razón de la selección de estas estaciones obedece a que ellas se encuentran ubicadas entre dos estaciones hidrométricas in situ que tienen registros completos de niveles y caudales entre el 2002 y el 2003 indispensables para la aplicación del modelo hidrológico y la consecuente estimación de curvas de gasto sobre las secciones que ellas representan. La sección total considerada corresponde a aproximadamente 130 km del cauce principal del Orinoco. La tabla 2 sintetiza las características de la distribución espacial de las estaciones in situ y virtuales sobre la sección considerada.
Estimación de caudales
Los caudales en las estaciones virtuales se estimaron mediante la aplicación del modelo de tránsito de Mskingum-Cunge (M-C), basado en una aproximación cuasi dinámica de la propagación de la onda (Ponce et al., 1996). El modelo de M-C (Cunge, 1969) es de hecho una versión más ajustada del modelo clásico de Muskingum, donde los bien conocidos parámetros X y K son derivados de las características hidráulicas de una sección considerada: pendiente de la sección, ancho del canal, velocidad de la onda y longitud de la sección (Ponce et al., 1996).
Básicamente, la aplicación del modelo consiste en la propagación de los caudales medios diarios conocidos para una estación aguas arriba hacia una estación aguas abajo asumiendo que la propagación de dinámica de la onda se basa en las características hidráulicas de la sección. Esta propagación se puede hacer sobre una o varias secciones aguas abajo para las cuales las características hidráulicas ya mencionadas son conocidas. A los efectos de validación es necesario contar con una estación de caudales medios diarios conocidos aguas abajo con el fin de comparar los caudales estimados durante la propagación y los caudales medidos in situ. León et al. (2006) hacen una revisión completa del modelo de M-C y presentan de forma detallada su aplicación sobre grandes cauces para la estimación de caudales en estaciones virtuales Envisat sobre la cuenca amazónica.
La estimación del error entre el caudal estimado y el caudal medido se hace aplicando la relación de la ecuación 1; esta relación considera el error medio absoluto basado en el caudal medido de la estación in situ aguas abajo.
donde Ccal corresponde al caudal estimado mediante el modelo de M-C y Cmedido al caudal medido diario conocido en la estación in situ. Para este estudio el modelo de M-C fue aplicado desde la estación de Puerto Nariño (aguas arriba) hasta la estación de Roncador (aguas abajo) propagando los caudales sobre las estaciones virtuales intermedias mencionadas en la tabla 2.
Estimación de curvas de gasto
Debido al corto período de información de caudales disponibles in situ (2002-2003) y a que las medidas altimétricas son tomadas cada 35 días, resulta necesario llevar a cabo un proceso de interpolación temporal que permita derivar niveles de agua medios diarios sobre las series altimétricas con el fin de obtener pares de datos altura/caudal que permitan derivar una curva de gasto más acertada para cada estación virtual. Con tal fin se aplicó la metodología de interpolación de series temporales propuesta por Roux et al. (2008).
Con series de niveles de agua diarios provenientes del espacio y caudales estimados en las estaciones virtuales es posible deducir las curvas de gasto para estas secciones (León et al., 2006). En efecto, expresada como una ley potencial una curva de gasto puede ser representada por la ecuación 2 (Rantz et al., 1982).
donde Q es el caudal a un momento t y (H-z) corresponde a la profundidad del flujo cero del cauce de la sección de control en el tiempo t. H es la altura de la superficie libre del agua medida por el satélite y referenciada sobre el geoide continental GRACE; y z corresponde a la altitud del flujo tomado sobre la misma referencia. Los coeficientes a y b son específicos para cada sección y representan características hidráulicas de ellas (Rantz et al., 1982).
Para determinar la profundidad del flujo cero (H-z) se aplicó la metodología propuesta por León et al. (2006). Este método consiste en la minimización del error de la raíz media cuadrática (RMSE) entre el caudal estimado mediante el modelo hidrológico y un caudal estimado por medio de la ecuación 2: para un valor dado de z, los coeficientes a y b son estimados con una regresión lineal de la forma (Ln(Q), Ln(H-z)). Explorando un rango de posibilidades posibles de z se llega a construir una función del tipo RMSE (z) = f(z). Todo el posible rango de valores que pueda tener z fue explorado con incrementos de 0,01 m. El valor de z que mejor representa la altitud del flujo cero efectivo puede ser expresado como lo indica la ecuación 3.
Resultados y discusión
Series temporales de niveles de agua sobre estaciones virtuales
Las series altimétricas de las estaciones virtuales presentadas en la tabla 2 fueron sometidas a un proceso de interpolación entre el 2002 y el 2003 siguiendo la metodología propuesta por Roux et al. (2008) para la obtención de series diarias de niveles de agua. La figura 2a muestra una serie temporal de niveles de agua de una estación virtual obtenida de ALTICO. Este ejemplo corresponde a la serie de la estación 622Orinoco03 en el período 2002-2008. La figura 2b es un ejemplo del resultado del proceso de interpolación llevado a cabo para la obtención de niveles de agua medios diarios entre el 2002 y el 2003.
Estimación de caudales en las estaciones virtuales
El modelo de M-C fue aplicado en la estimación de caudales medios diarios en las estaciones virtuales. La tabla 3 sintetiza los resultados de la aplicación del modelo entre las estaciones de Puerto Nariño y Roncador para la derivación de caudales en las cuatro estaciones virtuales consideradas en el estudio.
De la tabla 3 es posible observar que en los 130 km del Orinoco considerados en este estudio no existe una influencia de importantes subcuencas con desembocadura en este tramo del río, hecho que facilita la aplicación del modelo y permite disminuir considerablemente los errores medios sobre la estimación de los caudales en las estaciones virtuales. Al final del tránsito se encuentran RMSE entre los caudales medidos y los caudales estimados inferiores al 1%. Este resultado permite concluir sobre la calidad de las series de caudales estimadas sobre las estaciones virtuales.
Curvas de calibración de estaciones virtuales y profundidad del flujo cero
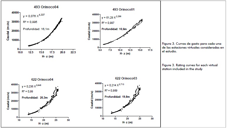
Con series diarias de niveles de agua registradas a partir del espacio y los caudales obtenidos a partir de un modelo hidrodinámico fue posible deducir las curvas de gasto y las profundidades equivalentes del flujo mediante la aplicación de la metodología propuesta. La figura 3 muestra las curvas de gasto obtenidas para las cuatro estaciones virtuales consideradas en el estudio, junto con las ecuaciones que rigen dichas secciones y la profundidad media del flujo cero para cada una de ellas.
A partir de estas relaciones es posible reconstruir los caudales medios diarios de las estaciones virtuales del 2002 al 2008 y, de ahí en adelante, en las fechas en las que haya disponibilidad de datos altimétricos de la misión Envisat o su sucesor. Los coeficientes de correlación permiten concluir sobre la calidad de las funciones deducidas. Básicamente estas relaciones permitirán estimar caudales para dichas secciones a partir de registros de niveles agua diarios provenientes del espacio.
Con relación a las profundidades del flujo cero encontradas resulta indispensable la puesta en marcha de un trabajo de campo que permita validar esta información. Sin embargo, los valores encontrados se ajustan ampliamente a la realidad si tomamos como base los aforos realizados sobre las estaciones de Puerto Nariño y Roncador, donde, en promedio, se han encontrado profundidades del cauce que varían entre 12 ± 4 m y 17 ± 4m, respectivamente.
Conclusiones
Este estudio corrobora las ventajas y el uso de la altimetría radar sobre aguas continentales. La información de caudales medios diarios in situ provenientes del Ideam y aquella proveniente de la misión Envisat en relación con niveles de agua sobre estaciones virtuales ha permitido la caracterización hidráulica de dichas secciones de la misma forma en que se hace tradicionalmente, esto es, mediante la definición de curvas de gasto que permitan la estimación de caudales diarios a partir de niveles de agua y donde los coeficientes que rigen las relaciones matemáticas contienen información sobre las características hidráulicas de la sección que representan.
Se han estimado estas curvas de gasto para cuatro estaciones virtuales Envisat ubicadas entre las estaciones hidrométricas de Puerto Nariño y Roncador, representando 130 km del cauce principal del río Orinoco. El método de minimización del RMSE propuesto por León et al. (2006) permitió deducir la profundidad del flujo cero de estas cuatro secciones, que en promedio varía en 16,7 ± 4,3 m, lo que resulta consistente con los aforos realizados en las estaciones in situ mencionadas.
Esta metodología seguirá siendo aplicada en el contexto de la cuenca del Orinoco y otras cuencas del territorio colombiano definidas desde ALTICO, donde sea posible la aplicación de un modelo de tránsito que permita la estimación de caudales en las estaciones virtuales. Particularmente respecto del Orinoco será posible considerar estimación de curvas de gasto sobre los ríos Meta, Arauca y Guaviare. Esta información comenzará a ser usada por instituciones como el Ideam con dos fines básicos: densificación de las redes de monitoreo hidrológico y complemento de registros de estaciones hidrométricas. Estudios futuros darán cuenta de estas aplicaciones adicionales.
Agradecimientos
Los autores agradecen la colaboración científica y técnica aportada por los investigadores del Programa HYBAM del IRD por medio de sus laboratorios Legos y LMTG.
Referencias
Brooks, R.L., Lake elevation from satellite radar altimetry from a validation area in Canada., Reporte, Geosci. Res. 1982. [ Links ]
Crétaux, J.F., Birkett C., Lake studies from satellite radar altimetry Altimétrie satellitaire sur les lacs., Comptes Rendus Geo-sciences. Volume 338, 2006, Issues 14-15, [ Links ]
Cunge, J.A., On the subject of a flood propagation computation method (Muskingum method)., Hydraul. Res. 7 (2), 1969, 205-230. [ Links ]
Espinoza, J.C., Guyot, J-L., Ronchail, J., Cochonneau, G., Filizola, N., Fraizy, P., Labat, D., De Oliveira, E., Ordoñez, J,J., Vauchel, P., Contrasting regional discharge evolutions in the Amazon basin (1974-2004)., Journal of Hydrology, 2009, 375, 3-4. 297-311. [ Links ]
Frappart, F., Hydrologie spatiale :Développement d'applications pour l'utilisation de la télédétection sur les grands bassins fluviaux., Tesis doctoral de la Univ. Toulouse III-Paul Sabatier, 30/11/2006, 283p. [ Links ]
Leon J.G., Calmant S, Seyler F., Bonnet M.P., Cauhopé M., Rating curves and average water depth estimation at the upper Rio Negro from altimetric spatial data and calculated remote discharges., Journal of Hydrology, 2006, 328, 481-496. [ Links ]
Leon, J.G., Rubiano, J., Vargas, V., Series temporales de niveles de agua en estaciones virtuales de la Cuenca Amazónica a partir de altimetría radar por satélite., Ingeniería e Investigación. Vol 29, No. 1. 2009a., pp 109-114p. [ Links ]
Leon. J.G., Navarro, C., Seyler, F. Monitoreo de la hidrografía colombiana mediante la implementación de estaciones virtuales ENVISAT. Agua 2009. CINARA. Universidad del Valle. Colombia - Cali. Octubre de 2009. [ Links ]
Leon, J.G., Domínguez, E., Duque, G., Avances más Recientes Sobre la Aplicación de la Altimetría Radar por Satélite en Hidrología. Ingeniería e Investigación. Vol. 28 No. 3, 2008, pp 126 - 131. [ Links ]
León, J.G., Rubiano, J., Navarro, C.E., Estaciones hidrométricas virtuales ENVISAT en la cuenca alta y media del rio Orinoco. Ingeniería e Investigación, Universidad Nacional de Colombia, 2010 (Under review) [ Links ]
Mercier, F., Cazenave, A., y Maheu C., Interannual lake level fluctuations (1993-1999) in Africa from Topex/Poseidon: connections with ocean-atmosphere interactions over the Indian ocean, Global and Planetary Changes, 2002, 32, pp 141-163. [ Links ]
Morris, C.S., Gill,S.K., Variation of great lakes waters from Geosat altimetry., Water Resour, 1994, Res., 30:1009-1017. [ Links ]
Organización Meteorológica Mundial., Guía de prácticas hidrológicas. Quinta edición, OMM No 168., 1994, pp. 147-173. [ Links ]
Ponce, V.M., Lohani, A., Scheyhing, C., Analytical verification of Muskingum-Cunge routing., J. Hydrol. 174, 1996, pp 235- 241. [ Links ]
Rantz, S.E., Measurement and computation of streamflow., Measurement of Stage and Discharge, US Geological Survey Water Supply Paper, vol. 1, 1982, p. 284. [ Links ]
Roux, E., Cauhope, M., Bonnet, M.-P., Calmant, S., Vauchel, P., Seyler, F., Daily water stage estimated from satellite altimetric data for large river basin monitoring. Hydrol. Sci. J. 53(1), 2008. pp 81-99. [ Links ]
Vörösmarty, C., Birkett, C., Dingman, L., Lettenmaier, D.P., Kim, Y., Rodriguez, E., Emmitt, G., HYDRA-SAT, HYDRlogical Altimetry SATellite, NASA Post-2002 Land Surface Hydrology Mission Component for Surface Water Monitoring, report from the NASA Post-2002. Land Surface Hydrology Planning Workshop, Irvine, CA, April 12-14th, 1999. [ Links ]










text in 


