Services on Demand
Journal
Article
Indicators
-
Cited by SciELO -
Access statistics
Related links
-
Cited by Google -
Similars in
SciELO -
Similars in Google
Share
Revista Facultad de Ingeniería Universidad de Antioquia
Print version ISSN 0120-6230On-line version ISSN 2422-2844
Rev.fac.ing.univ. Antioquia no.56 Medellín Oct./Dec. 2010
Metrología por fibra óptica para la detección de pequeños desplazamientos
Optical fiber metrology to small displacements detection
Julio Enrique Duarte1*, Flavio Humberto Fernández Morales1, Mauricio Moreno Sereno2, José Mora Almerich3, Miguel Vicente Andrés3
1Universidad Pedagógica y Tecnológica de Colombia. Carrera 18, calle 22. Duitama, Boyacá, Colombia
2Universidad de Barcelona. c/Marti i Franqués 1, 08028, Barcelona, España
3Universidad de Valencia. Edificio de Investigación, C/Dr. Moliner, 5046100 Burjasoot, Valencia, España
Resumen
En este trabajo se presenta una metodología para la medida de deflexiones en el rango de las mieras en membranas termoneumáticas de silicio. El método se basa en la interferometría por fibra óptica con el cual se estudió el comportamiento estático de una membrana de silicio de 10 µm de grosor, 5 µm de lado y 300 µm de bulk, la cual se pegó sobre un porta muestras de vidrio. Por medida estática se entiende la medida de la deflexión de las membranas considerando únicamente la respuesta de éstas a la fuente de radiación infrarroja que las estimula.
Palabras clave: Interferometría, fibra óptica, micromembranas de silicio.
Abstract
This work presents a methodology to measure deflections in the range of microns in thermo-pneumatic silicon micomembranes. This method is based on the fiber optic interferometry, which was used to study the static behavior of a silicon membrane of 10 µm in thickness, 5 µm in side length and 300 µm in bulk, which was glued to a glass slide. Static behavior is defines as the membrane deflection measurement taking into account only its response to the infrared radiation energy that drives them.
Keywords:Interferometry, silicon micromenbrane, optical fiber.
Introducción
La medición de pequeños desplazamientos es un requerimiento indispensable para la caracterización de microdispositivos que en los últimos años, y gracias al avance de la micromecánica y la mecanización del silicio, han venido a sumarse a los sensores y actuadores tradicionales. Muchos de ellos son estructuras de películas delgadas, por ejemplo, sensores con una membrana o una viga, resonadores, motores, bombas, válvulas y acelerómetros [1-3]. La caracterización de estas estructuras depende de la medida precisa de la distribución de deflexiones, producto de la variación de su geometría, la cual se genera en respuesta a una señal eléctrica, mecánica y/o a una radiación de excitación [4]. La óptica de espacio libre ofrece una buena alternativa para la medida de deflexiones en el rango de las micras. En este caso, uno de los problemas a resolver es el de transmisión de la energía luminosa o de imágenes a cierta distancia. Debido a la imposibilidad de obtener haces perfectamente paralelos mediante lentes, el sistema óptico encargado de la transmisión deberá constar de varios subsistemas colocados a distancias prudenciales para evitar la divergencia de los haces y la consiguiente pérdida de energía. Tales subsistemas deben ser alineados muy cuidadosamente; siendo, en general, muy susceptibles a las vibraciones mecánicas y a los cambios de temperatura. Estos problemas encuentran su solución mediante la utilización de fibras ópticas [5-7].
Desde el punto de vista geométrico, en el interior de una fibra óptica la luz se propaga en zigzag debido a los fenómenos de reflexión total que tienen lugar en la superficie lateral de la fibra. Por este motivo las pérdidas son escasas y no le influyen las vibraciones ni la temperatura externa. Teniendo en cuenta estas consideraciones, en este trabajo se plantea el montaje experimental de un interferómetro utilizando la fibra óptica para la caracterización del comportamiento estático de micromembranas termo neumáticas de silicio (Si).
A continuación se hace una breve descripción del principio físico de la interferometría por fibra óptica, se presentan las micromembranas de Si que fueron sometidas al proceso de caracterización y se muestra el montaje experimental utilizado. Luego se describe el procesamiento de la señal de interferencia para extractar la información relativa a la deflexión de las membranas y se presentan los resultados experimentales más relevantes.
Metodología
Principio de la interferometría con fibra óptica
Una técnica efectiva para la detección de pequeños desplazamientos se basa en el interferómetro Fabry-Perot formado por el extremo de una fibra óptica de vidrio y una superficie plana reflectante, en nuestro caso la membrana de Si cuyo desplazamiento se desea medir. El uso de la fibra óptica permite la posibilidad de efectuar medidas remotas, en este caso de microdesplazamientos [8,9]. La figura 1 muestra la configuración de dicho interferómetro [10].
En la figura 1, la luz que emerge del núcleo de la fibra óptica se refleja en la superficie de la membrana (microresonador) y se introduce nuevamente en el núcleo de la fibra óptica. Esta componente de luz reflejada que proviene del exterior de la fibra interfiere constructiva o destructivamente con la componente reflejada en la cara interior del núcleo de la fibra óptica [11]. La mayor o menor interferencia depende de la diferencia de fases de las dos señales que se superponen y que depende del desfase que sufre el haz que emerge al exterior en función de la distancia fibra-membrana.
La figura 2 representa un detalle del extremo de una fibra óptica con un núcleo de radio a separada una distancia D de una superficie reflectora [12]. Los diferentes rayos representan las múltiples reflexiones que se producen entre la cara externa de la fibra y la superficie reflectora. Según la nomenclatura utilizada en [13], se distinguen los siguientes coeficientes de reflexión y transmisión:
ri coeficiente de reflexión fibra-aire (incidencia interna)
ti coeficiente de transmisión fibra-aire (incidencia interna)
re coeficiente de reflexión aire-fibra (incidencia externa)
te coeficiente de transmisión aire-fibra (incidencia externa)
rs coeficiente de reflexión en la superficie reflectora
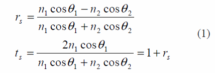
Dada una interfaz de separación entre dos medios de índices n1 y n2, para un rayo incidente con un ángulo q1, los coeficientes de reflexión y transmisión del campo eléctrico para la polarización s, o perpendicular, son:

Considerando que el índice de refracción típico de la fibra de vidrio es n1 = 1,46, los coeficientes para el caso que nos ocupa, y de acuerdo con la ecuación (1), son:
ri = 0,189 ti = 1,89 re = 0,189 te = 0,811
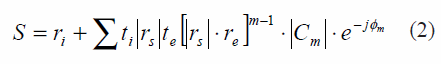
Sumando todas las contribuciones de las múltiples reflexiones, la amplitud del campo que retorna al fotodetector es

Cada uno de estos sumandos debe ir acompañado del correspondiente desfase respecto a la componente reflejada I0×ri, y que se expresa como e-jØm, siendo fm el retraso debido al camino óptico que se produce en cada reflexión [14].
Por otro lado, la luz que emerge desde el extremo de la fibra diverge, ensanchándose cada vez más con la distancia. La luz reflejada por el espejo se recoge nuevamente por la fibra pero no toda radiación entra por su núcleo. La figura 3 ilustra esta situación. Además la distribución de campo no es uniforme, los haces láser suelen tener una componente gaussiana. Esto quiere decir que la cantidad de potencia que se inserta en la fibra óptica después de m-rebotes disminuye de modo equivalente a alejar el espejo m veces la distancia D y calcular la fracción de potencia que se insertaría en una hipotética fibra enfrentada a la distancia m×D [15,16].
Teniendo en cuenta las reflexiones múltiples y la dispersión de la luz a la salida de la fibra, la expresión de la intensidad de radiación como resultado de las interferencias es:

siendo fm el término de desfase comentado previamente y Cm los coeficientes de acoplo entre el haz reflejado de orden m y el modo LP01 o modo fundamental de una fibra monomodo. Øm es el decaimiento de la fase asociada con la longitud de la trayectoria de la reflexión múltiple de la onda y el número de reflexiones desde la superficie reflectora.
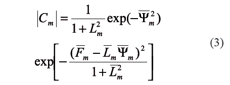
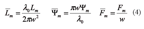
Para proporcionar una expresión simple y confiable para los coeficientes de acoplamiento Cm, se emplean aproximaciones gaussianas para el campo de distribución del modo fundamental de una fibra óptica de índice de paso. La ventaja de esta aproximación es que se pueden usar las bien conocidas características de la propagación de los haces gaussianos dentro de la cavidad. Además, se utilizaron las propiedades de ortogonalidad de los modos de la fibra para evaluar el acoplamiento entre el haz gaussiano reflejado y el modo fundamental LP01.
La expresión para |Cm| está dada por:

donde:

Ψm =2mθ es la distancia fribra-membrana (tild)
Fm= 2m2 dθ =es la deriva (offset)
w es el parámetro de la anchura de la aproximación gaussiana y λ0 es la longitud de onda en espacio libre
La figura 4 corresponde a la representación de la ecuación (2) para tres coeficientes de reflexión diferentes en la cara reflectora del dispositivo que se calculan mediante las ecuaciones (2) y (3). El comportamiento oscilatorio debido a las interferencias es evidente. La envolvente superior corresponde a la intensidad recibida sin tener en cuenta los términos de desfase en las múltiples reflexiones, es decir, sin tener en cuenta la interferencia constructiva o destructiva.
El comportamiento de la envolvente lo tenemos en la figura 5 para λ = 1,55 mm para diferentes valores del parámetro w (los máximos de las curvas envolventes). Se observa claramente un comportamiento del tipo 1/D2 como consecuencia de la dispersión de la luz a la salida de la fibra, factor más perjudicial cuanto menor es el diámetro de la misma.
Descripción de las membranas
A continuación se describen las membranas que se han fabricado y caracterizado por el método de interferometría con fibra óptica. Las membranas se obtuvieron mediante ataque anisotrópico de obleas de Si con KOH y se procesaron en el Instituto de Microelectrónica de Barcelona (Centro Nacional de Microelectrónica). Específicamente se trata de membranas neumáticas (MN) formadas por un cuadrado de silicio de 5 y 8 µm de lado y con un espesor de 10 µm; las cuales se pegan sobre un soporte con el fin de conseguir una cámara de aire sellada, la cual al ser calentada produce la deflexión de la membrana. La membrana neumática caracterizada fue de 10 µm de grosor, 5 mm de lado y 300 µm de bulk, la cual se pegó sobre un porta muestras de vidrio.
La figura 6 muestra una fotografía de la membrana donde se observa la parte posterior con la cámara de aire debido al ataque anisotrópico sufrido por el silicio.
Experimentación
La figura 7 representa el sistema interferométrico completo: a) una fuente de luz monocromática, usualmente un láser semiconductor, emitiendo en el visible o IR cercano (λ = 700-800 nm), b) un fotodetector para convertir en señal eléctrica la señal óptica resultante y c) un acoplador en fibra óptica que permite insertar en el mismo camino óptico la luz emitida por el láser y separar la luz a analizar sobre el fotodiodo. En la imagen ampliada en la parte inferior de la figura, se detallan los componentes del dispositivo. El láser utilizado corresponde a un diodo láser de λ = 750 nm.
Resultados y discusión
A continuación se presentan los resultados del comportamiento estático de la membrana objeto de este trabajo. Por medida estática se entiende la medida de la deflexión de las membranas considerando únicamente la respuesta de éstas a la fuente de radiación infrarroja que las estimula.
Descripción del tratamiento de las mediciones
En la figura 8 se muestra el comportamiento de la membrana neumática de silicio de 10 µm de grosor, 5 mm de lado y 300 µm de bulk, durante los primeros 30 s desde el momento en que se enciende la bombilla de IR. La línea recta en los primeros 12 s corresponde a la estabilización del sistema antes de iniciar la medida de la deflexión de la membrana.
Para la interpretación de los resultados, y tomando como ejemplo la figura 8, se realizan los siguientes pasos [17].
Primer paso:
Encontrar la coordenada temporal (eje x) de los máximos y/o mínimos y hacerles corresponder su posición. Para ello se utiliza el siguiente criterio:
a) Si primero se tiene un mínimo:
Orden de los máximos: N = 1(1º máximo), 2(2º máximo), 3(3º máximo), 4 ...
Orden de los mínimos: N = 0,5(1º mínimo), 1,5(2º mínimo), 2,5(3º mínimo), 3,5...
b) Si primero tiene un máximo:
Orden de los máximos: N = 1(1º máximo), 2(2º máximo), 3(3º máximo), 4 ...
Orden de los mínimos: N = 1,5(1º mínimo), 2,5(2º mínimo), 3,5(3º mínimo), 4,5...
Segundo paso:
Encontrar el desplazamiento real (eje y) de la membrana, que corresponde al voltaje medido sobre el fotodetector. Para ello se necesitan los siguientes valores:
V(to = 10seg): Voltaje al encender lámpara IR
VM: Voltaje del primer / primeros máximos
Vm: Voltaje del primer / primeros mínimos
Sabiendo que la señal de interferencia detectada es:

particularizando para el caso t = t0 (tiempo inicial), y despejando el desplazamiento entre el instante inicial y el primer máximo o mínimo:

Que siempre será menor que λ/4
El desplazamiento para cada máximo/mínimo será:

donde N es el orden correspondiente para cada máximo y/o mínimo.
Tercer paso:
La representación gráfica del desplazamiento D con su tiempo correspondiente nos dará la evolución temporal de la deflexión central de la membrana.
Gráficas de la deflexión
La figura 9 muestra las franjas de interferencia de la membrana desde el momento en que se enciende la bombilla de IR. La distancia entre la bombilla y la membrana (DBM) es de 1 cm y entre ellas se colocó una lámina de aluminio de 1 cm de espesor que cumple la función de disipador del calor generado en el zócalo de la bombilla. La figura 10 representa las franjas de interferencia de la membrana desde el momento en que se apaga la bombilla de IR. Otro parámetro importante en las mediciones fue la distancia entre la fibra y la membrana (DFM) que fue de 100 µm. Tanto la DBM como la DFM se calibraron utilizando un tornillo micrométrico.
Una vez obtenidas las franjas de interferencia se siguen los tres pasos descritos para el tratamiento de las mediciones, combinando las ecuaciones (5), (6) y (7) se obtiene la gráfica del desplazamiento, del centro de la membrana, en función del tiempo, figura 11.
La figura 11, lado izquierdo, muestra el desplazamiento de la membrana que se está caracterizando. Durante el tiempo en que estuvo encendida la bombilla (subiendo) (BE) y cuando estuvo apagada (bajando) (BA). La deflexión máxima de la membrana es de 22 µm. En los primeros 500 s se observa la rapidez con que responde la membrana. A partir de allí, y hasta los 4200 s, la membrana alcanza su máxima deflexión mostrando una variación casi nula. En este instante se elimina la radiación IR lo cual provoca una rápida reducción en el valor de la deflexión. Después de esto la membrana vuelve a su punto de equilibrio lentamente.
La exactitud de esta técnica; es decir, la correspondencia entre el valor real con el valor medido, se manifiesta en la naturaleza del principio físico de medida. La técnica presenta una elevada exactitud, ya que la deflexión del punto central de la membrana se relaciona directamente con el valor de la semi-longitud de onda del láser utilizado, brindando una resolución de 375 nm en este caso. Para incrementar la resolución será necesario la utilización de láseres con una menor longitud de onda; por ejemplo un láser de luz verde.
La interferometría por fibra óptica presenta una resolución comparable a la que se puede obtener con el interferómetro de Michelson-Morley para la medida de pequeños desplazamientos (Acefin). Pero mientras éste último requiere la grabación en video de los anillos de interferencia para su posterior conteo, la interferometría por fibra óptica entrega una señal eléctrica a la salida del fotodetector, la cual puede ser capturada y procesada de una manera más eficiente.
Conclusiones
Se ha presentado la interferometría por fibra óptica como una técnica adecuada para la medida de pequeños desplazamientos en membranas de Si actuadas con una radiación infrarroja.
En el interferómetro por fibra óptica la visibilidad de las franjas de interferencia en función de la distancia entre las membranas y la bombilla, al igual que la distancia entre las membranas y la fibra, son parámetros experimentales a tener en cuenta a la hora de obtener buenos resultados.
Los planos enfrentados de la fibra óptica y la membrana deben estar totalmente paralelos.
Entre las ventajas que ofrece el interferómetro por fibra óptica se puede mencionar la utilización de una óptica integrada, realiza medidas estáticas y dinámicas, permite obtener resultados bastante fiables y es automatizable. Otra ventaja es que la superficie de la muestra (membrana) a medir debe estar pulida pero no es un factor tan critico como en el caso de la interferometría de Michelson. La utilización de la fibra óptica presenta el valor agregado de poder efectuar medidas remotas. En este caso la fibra se convierte en un medio para canalizar la radiación óptica hacia la superficie de medida y de regreso hacia el fotodetector, permitiendo así el procesamiento de la señal en un ambiente libre de ruido.
Referencias
1. R. L. Gunter, R. Zhine, W. G. Delinger, K. Manygoasts, A. Kooser, T. L. Porter. "Investigation of DNA sensing using piezoresistive micro cantilever probes". IEEE Sensors Journal. Vol. 4. 2004. pp. 430-433. [ Links ]
2. I. Voiculescu, M. E. Zaghloul, R. A. Mcgill, E. J. Houser, G. K. Fedder. "Electrostatically actuated resonant micro cantilever beam in CMOS technology for the detection of chemical weapons". IEEE Sensors Journal. Vol. 5. 2005. pp. 641-647. [ Links ]
3. O. Ruiz, S. Marco, M. Carmona, J. Samitier, J. Morante. "Pendulum type accelerometers based on thick polysilicon surface micromachining". ESSDERC'96. Ed. Frontiers. Bologna. Italia. 1996. pp. 725- 728. [ Links ]
4. J. E. Duarte, F. H. Fernández. M. Moreno. "Técnicas de medida para pequeños desplazamientos". DYNA. Vol. 158. 2009. pp. 167- 176. [ Links ]
5. S. Y. Paredes, B. Hidalgo. "El uso de la interferometría óptica para evaluar corrosión por picadura en la aleación comercial de aluminio 3003". Revista latinoamericana de Metalurgia y Materiales. 2005. Vol. 25. pp. 46-52. [ Links ]
6. R. A. Comes, G. M. Carinti, L. E. Arena. "Determinación de la diferencia de índices de refracción del hielo por interferometría de luz polarizada". Anales AFA. Vol. 20. 2008. pp. 20-25. [ Links ]
7. V. H. Salas, C. T. Moreno. "Sensor interferométrico basado en fibra óptica". Revista Colombiana de Física. Vol. 38. 2006. pp. 1335-1338. [ Links ]
8. L. E. Barceló, L. N. Taibo, A. G. Zapata. "Calibración primaria y secundaria en aceleración". VI Congreso Iberoamericano de Acústica FIA. Noviembre 5-7. 2008. pp. 1-7. [ Links ]
9. J. A. Garcia Souto. Interferometría láser de fibra óptica para medida de temperatura y vibraciones. Sensores aplicados en el interior de transformadores de potencia y embebidos en fibra de carbono para aplicaciones aeronáuticas. Tesis Doctoral. Universidad Carlos III de Madrid. España. 2003. pp. 15-20. [ Links ]
10. J. E. Duarte, F. H. Fernández, M. Moreno. "Caracterización de microactuadores mediante técnicas ópticas". Revista de la Escuela Colombiana de Ingeniería. Vol. 59. 2005. pp. 35-38. [ Links ]
11. B. Culsahaw. "Fiber optic sensor: integration with micromachined devices". Sensors and Actuators A. Vol. 47. 1995. pp. 463-469. [ Links ]
12. J. E. Duarte, F. H. Fernández, M. Moreno. "Caracterización de membranas termoneumáticas mediante interferometría óptica". Revista de la Academia Colombiana de Ciencias Exactas, Físicas y Naturales. Vol. 118. 2007. pp. 7987. [ Links ]
13. P. J. Mulhern, T. Hubbard, C. S. Arnold, B. L. Blackford, M. H. Jericho. "A scanning force microscope with a fiber-optic-interferometer displacement sensor". Rev. Sci. Instrum. Vol. 62. 1991. pp. 1280-1284. [ Links ]
14. M. V. Andres, M. J. Tudor, K. W. H. Foulds. "Analysis of an interferometric optical fiber detection technique applied to silicon vibrating sensors". Electronics Letters. Vol. 23. 1987. pp. 774-775. [ Links ]
15. N. Cerre, F. D. Fornel, J. P. Goudonnet. "Reflection scanning microscopy". Applied optics. Vol. 31. 1992. pp. 903-905. [ Links ]
16. D. B. Williams, C. B. Carter. "Transmission electron microscopy: a textbook for materials science". Technology and Engineering. Vol. 3. 2004. pp. 525- 530. [ Links ]
17. J. E. Duarte. Diseño y test de micromembranas actuadas ópticamente. Tesis Doctoral. Universidad de Barcelona. España. 2001. pp. 133-160. [ Links ]
(Recibido el 12 de noviembre de 2009. Aceptado el 31 de agosto de 2010)
* Autor de correspondencia: teléfono/fax: 57 + 8 + 760 41 00, correo electrónico: julioenriqued1@gmail.com. (J. Duarte)
























