Services on Demand
Journal
Article
Indicators
-
Cited by SciELO -
Access statistics
Related links
-
Cited by Google -
Similars in
SciELO -
Similars in Google
Share
Revista Facultad de Ingeniería Universidad de Antioquia
Print version ISSN 0120-6230
Rev.fac.ing.univ. Antioquia no.67 Medellín Apr./June 2013
ARTÍCULO ORIGINAL
Un nuevo modelo basado en funciones exponenciales para un sistema de levitación magnética uniaxial
A novel exponential function based model for an uniaxial magnetic levitation system
Juan E. Martínez*, Carol L. Bedoya
Grupo de Electrónica de Potencia Automatización y Robótica (GEPAR). Departamento de Ingeniería Electrónica. Universidad de Antioquia. Calle 67 No 53 - 108. Medellín, Colombia.
*Autor de correspondencia: teléfono: + 57 + 4 + 2198560, fax + 57 + 4 + 2198560, correo electrónico: juanmartpa@udea.edu.co (J. Martínez)
(Recibido el 12 de Enero de 2012. Aceptado el 26 de abril de 2013)
Resumen
En este trabajo un nuevo modelo dinámico para un sistema de levitación magnética uniaxial (el cual no se ha reportado en la literatura) se desarrolla a partir de principios magnetostáticos. El sistema en mención está compuesto por dos bobinas, utilizadas como actuadores para el control de posición de dos imanes permanentes que deben deslizarse a través de un eje vertical, esta es una configuración muy utilizada en motores con suspensión magnética y en general por cualquier sistema con cojinetes o soportes magnéticos activos. Basados en el modelo amperiano y la ley de Biot-Savart para este sistema, se establecieron mediante cálculos numéricos las relaciones fuerza- distancia entre bobinas e imanes permanentes y entre ambos imanes. Con estas relaciones numéricamente definidas se realizaron ajustes de curva exponenciales para obtener el modelo dinámico no lineal del sistema de suspensión magnética. En este artículo adicionalmente se presenta un modelo linealizado generado a partir del modelo obtenido previamente, demostrando que éste representa correctamente la dinámica del sistema cerca al punto de operación.
Palabras clave: Sistemas no lineales, levitación magnética, Matriz Jacobiana, Cojinetes Magnéticos
Abstract
In this paper a new dynamic model for a uniaxial magnetic levitation system is developed from magnetostatic principles, which we have not found in literature. The system has two coils which are the actuators to control the position of two magnets that need to slide on a vertical axis; this configuration is used in motors with magnetic suspension and generally in any system with active magnetic bearings. Based on the Amperian model and the Biot - Savart law for this system, it was established by means of numerical calculations, the force and distance relationships between the actuators and magnets and between magnets. Once the mentioned relations were numerically determined, then exponential curve fitting was done to them, in order to obtain the nonlinear dynamic model of the magnetic suspension system. This article further presents a linearized model generated from the model previously obtained, showing that it correctly represents the system dynamics near the point of operation.
Keywords: Nonlinear systems, magnetic levitation, Jacobian matrix, Magnetic Bearings
Introducción
La suspensión o levitación magnética se utiliza para mantener un objeto suspendido sin soporte alguno y sólo mediante la acción de campos magnéticos empleados para contrarrestar los efectos de la fuerza gravitacional o algún otro tipo diferente de aceleración [1].
Los sistemas de levitación magnética se utilizan ampliamente hoy en día debido a la alta capacidad que poseen de reducir la fricción mecánica entre las partes del mismo. Como consecuencia de esta reducción, la velocidad y el tiempo de vida media del sistema aumentan.
En este trabajo se desarrolla el modelo de un sistema de suspensión magnética desde los primeros principios como lo es la ley de Biot- Savart y el modelo amperiano para imanes permanentes [2, 3]. El sistema de levitación magnética modelado es normalmente usado en la producción de medidores eléctricos [4], rieles para trenes [5], soportes de sistemas de almacenamiento de energía (volantes) [6] y cojinetes para motores [7], en donde, con el sólo hecho de utilizar cojinetes de alta carga de este tipo, se pasa de pérdidas de potencia de 3% - 5% a casi cero. El modelo obtenido es útil como plataforma para el desarrollo de otros modelos analíticos, semi analíticos o numéricos (como elementos finitos) y es ampliamente utilizado como un problema de interés académico [8-10]. Existe una gran cantidad de referencias en donde se enfatiza en la alta no linealidad de los sistemas de suspensión magnética, por lo que constituye un reto el diseño de sus respectivos modelos y controladores [8-10].
Aunque se han utilizado varias metodologías para modelar sistemas de levitación magnética similares al propuesto [2-4, 11] debido a la alta no linealidad del mismo, las expresiones obtenidas en el desarrollo del modelo son altamente complejas y difíciles de utilizar cuando se desea diseñar un controlador para dicho sistema. El modelo del sistema propuesto corresponde a los cojinetes magnéticos activos actualmente presentes en sistemas de almacenamiento de energía [12] y en motores eléctricos donde se requieren velocidades superiores a 20.000 rpm [7]. Para estos sistemas de movimiento rotacional, los sistemas de suspensión magnética se componen de un sistema de levitación radial y otro axial para lograr la posición deseada del rotor [13, 14] en donde los pares opuestos de polos operan en forma diferencial para controlar la posición radial del rotor en la dirección definida por el par de polos seleccionados.
En este artículo se desarrolla el modelado de un sistema de levitación magnética simplificado (figura 1) que permita el estudio del posicionamiento mediante fuerzas magnéticas de forma similar a los anotados. En el sistema modelado, los imanes en forma de disco se posicionan de acuerdo a las fuerzas magnéticas generadas por las bobinas superior e inferior.
Mediante las ecuaciones de las fuerzas en función de la distancia para el sistema modelado se obtienen las ecuaciones de movimiento para los imanes que permiten establecer las ecuaciones diferenciales no lineales que luego se procesan a través de una matriz Jacobiana para obtener un modelo linealizado mucho más apto para el desarrollo de controladores u otras aplicaciones que requieran el modelo (e.g., programación de ganancias de controladores lineales para sistemas no lineales [15]). El modelo lineal obtenido es comparado con el no lineal en base a la desviación estándar del error para las distintas variables de estados en el dominio del tiempo.
A continuación se presentan las características de la planta física, luego el desarrollo utilizado para obtener el modelo no lineal, después se presenta una linealización del modelo obtenido previamente y finalmente las conclusiones. Todas las unidades mostradas en este artículo utilizan el sistema internacional de medidas.
Sistema Magneto-Electro-Mecánico
El sistema electromecánico que se muestra en la figura 1, es expuesto con mas detalles en la figura 2, éste consta de un par de imanes permanentes cilindricos de Neodimio de alta magnetización (lo cual evita la implementación de bobinas grandes para producir la fuerza de levitación), además, la fuerza de repulsión entre los imanes evita la colisión entre ellos. Los actuadores del sistema de múltiples entradas y múltiples salidas son dos bobinas cuyas dimensiones se eligen de tal manera que suministren la fuerza de levitación necesaria.
Donde Fb2m2 es la fuerza que ejerce la bobina superior sobre el magneto 2, Fb2m1 es la fuerza que ejerce la bobina superior sobre el magneto 1 y similarmente: Fb1m1 bobina inferior-magneto 1, Fb1m2 bobina inferior magneto 2. m1g y m2g representan los pesos del magneto 1 y 2 respectivamente,
y
son las fuerzas de fricción viscosas debidas al eje axial y a la resistencia del aire para el magneto 1 y 2 respectivamente. Fmm es la fuerza de repulsión entre imanes, z1 y z2 son los ejes coordenados seleccionados para el desarrollo del modelo (ubicados en los centros de las caras de las bobinas) y zdb es la distancia entre bobinas.
Modelo Magnetostático
Debido a que no hay diferencia alguna entre el campo magnético generado por una corriente directa que circula a través de un conductor y el producido por un imán permanente [8], es posible modelar la fuerza entre los elementos del sistema (imanes y bobinas) como si estos fueran solo bobinas [16]. Por simplicidad, el cálculo de la fuerza entre elementos es realizado uno a uno, para luego sumar el aporte de cada elemento en una sola ecuación que describa la fuerza total sobre cada imán. La fuerza ejercida sobre las bobinas no se toma en cuenta en el desarrollo general del modelo debido a que están fijas en la parte superior e inferior de la planta.
Con el fin de determinar las dimensiones de la bobina con respecto a la de los imanes, se eligen 3 configuraciones (figura 3) donde a cada una se le calcula numéricamente la fuerza ejercida por la bobina sobre el imán como función de la distancia y la corriente, es decir, se asigna un valor de corriente a la bobina y después se empieza a mover el imán de tal forma que se vaya alejando de ésta y luego se hace lo mismo pero para diferentes valores de corriente (figuras 4a, 5a, y 6a). La fuerza entre los dos imanes (figuras 4b, 5b, y 6b) se obtiene de manera similar, aunque como la magnetización ya está dada y no se puede variar como en el caso de las bobinas, solo es posible obtener una sola curva. En la primera configuración, el radio de los imanes es igual al radio de las bobinas, en la segunda el radio de los imanes es superior al de las bobinas, y en la tercera, la última relación se invierte. Se decidió escoger la primera configuración por que las gráficas de las fuerzas en función de la distancia axial obtenidas numéricamente presentan un comportamiento más exponencial que las otras configuraciones (figuras 4, a 6), ésta es justamente la configuración utilizada en los sistemas con cojinetes magnéticos para el control axial. Se puede observar que para la configuración 3 la fuerza imán-imán con respecto a la distancia, tiene un comportamiento menos exponencial que las otras dos configuraciones. En la configuración 2, la fuerza bobina-imán con respecto a la distancia, presenta un máximo a una distancia inferior a 0.02 m lo cual dificulta el ajuste exponencial para este caso (figura 5a). El ajuste de curvas para la configuración 1 en el caso de la fuerza bobina-imán (figura 4a) da como resultado que dicha fuerza es proporcional a la corriente.
Para obtener el modelo de la planta (figura 2) se utilizó una aproximación amperiana en la cual los campos magnéticos son producidos por corrientes eléctricas que circulan através de caminos formados por un material conductor [2]. La interacción entre cada elemento del sistema es modelada como la interacción entre dos conductores toroidales, perfectamente circulares y radialmente centrados por los cuales circula una densidad de corriente volumétrica uniforme (figura 7), donde I1 es la corriente que circula por el elemento inferior, I2 es la corriente que circula por el elemento superior, r1 y r2 son el radio interno y externo del elemento inferior respectivamente, mientras que rp3 y rp4 son los equivalentes para el elemento superior, z2-z2 y zp4 - zp3 representan la altura del elemento inferior y superior espectivamente. Este modelo es realizado a partir de las expresiones obtenidas previamente por Ravaud y Lemarquand en su desarrollo para el cálculo de fuerzas axiales en imanes permanentes de forma cilindrica (ecuación 1). No se presenta el desarrollo completo de la ecuación, pues es altamente compleja y se sugiere remitirse a las referencias [2, 16].
Mediante la ecuación 1 se calcula la fuerza ejercida por un conjunto de conductores enrollados de forma toroidal sobre otro con caracteristicas similares en dirección perpendicular al radio (eje z). Esta ecuación es la expresión general usada para calcular la fuerza que ejerce cada bobina sobre cada imán y la respectiva fuerza entre imanes a una distancia dada.

Donde los valores primados indican que son variables; rp, zp , θp son las coordenadas cilíndricas de un punto de observación sometido a la influencia de un campo magnético, μ es la permeabilidad magnética del aire. J1 y J2 son las densidades volumétricas de la corriente o constantes de magnetización en el caso de que el elemento sea un imán permanente.
Después de resolver (1) numéricamente, para un imán de Neodimio cuyas dimensiones son: 0,0508 m ×0,0127 m ×0,00635 m (diámetro externo por diámetro interno por altura), magnetización (900.000 A/m) y para bobinas con un diámetro igual 0,0508 m con un orificio interno de 0,0127 m y altura de 0,05 m; se varia el valor de la corriente que circula por la bobina con el fin de determinar la fuerza entre el imán y la bobina en función de la distancia, obteniendo así las figuras 4a, 5a, y 6a. El análisis es similar para hallar la fuerza entre los imanes (figuras 4b, 5b, y 6b), la única diferencia es que las densidades de corriente se reemplazan por el valor de la magnetización del imán que tiene un valor constante y, a pesar de que se puede hacer una variación de la fuerza con respecto a la distancia, no se puede hacer con respecto a la corriente como se hace en la interacción bobina- imán. Es de anotar que, para las configuraciones 1, 2 y 3, el comportamiento de la fuerza de la bobina sobre el imán (figuras 4a, 5a, y 6a) coinciden con los presentados en la literatura, donde se muestra que el máximo de la fuerza encontrado en la configuración 2 [16] se presenta de forma similar cuando un imán permanente con radio superior a otro se aleja de este último sobre el eje axial de ambos.
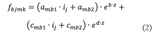
Para las curvas de las figuras 4a y 4b que corresponden a la configuración número 1 se realizó un ajuste de curva exponencial dada la similitud de este comportamiento con los resultados numéricos obtenidos de las fuerzas con respecto a la distancia axial cosa que no ocurre para las otras configuraciones. El ajuste de curva se hace con base en los resultados obtenidos al solucionar la ecuación 1 y se minimiza el error cuadrático entre los resultados (fuerza como función de distancia) y los dados por la curva exponencial. El ajuste de curva realizado está dado por la superposición de dos exponenciales como se muestra en la ecuación (2), por tanto la fuerza ejercida por la corriente de la bobina sobre el imán más cercano en el eje z está determinada por la siguiente expresión:

La ecuación (2) genera toda la familia de curvas mostrada en la figura 4a (configuración 1), donde es la fuerza que ejerce la bobina j (j=2 para la bobina superior y j=1 para la bobina inferior) sobre el imán k (k= 2 para el imán superior, k= 1 para el imán inferior), y z representa la distancia axial entre la bobina j y el imán k. En la tabla 1 se muestran los valores numéricos de amb1, amb2, cmb1, cmb2, b y d que son las constantes de ajuste de curva para la configuración 1, éstas son constantes que modifican el modelo dependiendo de la geometría del sistema.
De forma similar la fuerza entre imanes se modela mediante la ecuación (3):

Donde fmm es la fuerza entre los imanes zmm es la distancia axial entre los imanes. En la tabla 2 se muestran los valores obtenidos numéricamente de amm, bmm , cmm y dmm que son las constantes de ajuste de curva para la configuración 1 de la fuerza entre imanes.
Es conveniente anotar, que todas las ecuaciones obtenidas previamente son dependientes de la geometría, si en vez de usar imanes permanentes en forma de discos utilizáramos esferas, los ajustes de curva obtenidos no serían proporcionales a la corriente si no al cuadrado de ésta, tal cual puede verse en trabajos previos, realizados en sistemas con geometría esférica [8, 17].
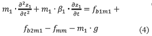
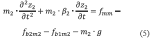
Mediante las ecuaciones (2) y (3) se obtienen las ecuaciones que gobiernan la dinámica de cada imán (4) y (5), que son:


Donde m1 es la masa del imán inferior, m2 es la masa del imán superior, z1 y z2 son las posiciones de los imanes inferior y superior respectivamente tomadas en base a las referencias mostradas en la figura 2, β1 y β2 son los constantes de fricción viscosa producto del aire y la lubricación de la barra axial para los imanes inferior y superior respectivamente; cuyas unidades son s-1 y g es la gravedad.
Las expresiones analíticas de las fuerzas mostradas en la figura 2, esto es, ecuaciones (6) a (10) se obtienen mediante las ecuaciones (2) y (3). Donde zdb es la distancia entre bobinas

Linealización
Al sustituir las ecuaciones (6) a (10) en las ecuaciones (4) y (5), estas dos últimas representan el modelo no lineal de la planta de levitación magnética, estas expresiones tienen la característica de estar basadas en funciones exponenciales, lo que las hace fácil de derivar facilitando su trabajo en caso de que se desee diseñar algún controlador o linealizar el sistema. En esta sección se presenta el modelo linealizado y se demuestra que representa correctamente la dinámica del sistema cerca al punto de operación. Además se presenta el modelo lineal general de manera que sea válido para todos los puntos de operación en caso de que se deseen utilizar otros diferentes a los hallados en este artículo.
Las variables de estado para un sistema de levitación magnética MIMO como el que se diseña (figura 2) se escogen de tal manera que tengan significado físico, esto es la posición de los imanes: z1, z2 y las respectivas velocidades:
.Por tanto las variables de estado del sistema se definen como:
x1 = z1, x2 = z2, x3 =
1, x4 =
2.
Donde el punto sobre de la variable índica primera derivada.
La dinámica de cada una de las variables de estado está definida por las ecuaciones (11) a la (14):

Donde las ecuaciones (13) y (14) se obtienen de las ecuaciones de la dinámica de los imanes, ecuaciones (4) y (5) respectivamente, y m1= m2= 0,09 k.
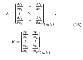
Las ecuaciones en equilibrio tienen cuatro grados de libertad por tanto es posible elegir las posiciones de equilibrio (x1, x2) y obtener las corrientes necesarias para llevar los imanes a dicha localización. Para (x1, x2) = (0.015, -0.015) se requiere que las corrientes para las bobinas 1 y 2 sean 1,4045 A y 0,4452 A respectivamente. Con el punto de operación y las entradas definidas se expresa la dinámica del sistema en la forma definida por las ecuaciones (15) y (16):

Donde

La matriz concatenada [A|B] es llamada la matriz Jacobiana del vector f (x,i) [18], donde x0 = (x10, x20, x30, x40) = (0.015,-0.015,0,0) e i0 = (i10, i20) = (1.4045, 0.4452)
La solución detallada de la matriz Jacobiana representa el modelo lineal del sistema y se presentan a continuación en las Ecuaciones (18) a (29):

La Ecuación (16) evaluada en el punto de equilibrio: (x10, x20, x30, x40, i10, i20) = (0.015, -0.015, 1.4045, 0.4452) conduce al siguiente sistema de ecuaciones lineales, que se expresa en forma matricial en la Ecuación (30):

Donde β1 = β2 = 5 [8]. Los valores propios de la matriz del sistema no son complejos puros, lo cual indica que el punto de equilibrio es hiperbólico y por tanto el sistema lineal representa la dinámica del sistema no lineal adecuadamente alrededor del punto de operación [19].
El modelo lineal se compara con el modelo no lineal, mediante la evolución de las variables de estados como respuesta a entradas senoidales con una amplitud máxima de 0,005 A y de 0,4 A. Las condiciones iniciales se eligen de tal manera que simule que los imanes se colocan en la posición elegida con velocidades igual a cero. En la figura 8 se muestra la evolución en el tiempo para dos de las cuatro variables de estados (posición de cada imán) en ambos modelos (lineal y no lineal). En las figuras 8a y 8b puede verse que ambos modelos coinciden casi exactamente para la primera entrada de corriente anotada, caso contrario ocurre en las figuras 8c y 8d donde la amplitud máxima de corriente corresponde al segundo valor anotado (0,4 A), lo cual válida el modelo lineal que se obtuvo. La figura 9 muestra los valores de la desviación estándar del error para las cuatro variables de estados entre ambos modelos con respecto a la amplitud máxima de la corriente senoidal que excita al sistema. Estas últimas figuras permiten establecer un umbral para el punto de equilibrio seleccionado donde sea válido el sistema lineal de acuerdo a la aplicación que se tenga.
En la figura 9 puede verse que la desviación estándar del error es mínima para amplitudes de corriente inferiores a 0,4 A en todas las variables de estado, lo que indica que el modelo lineal y el no lineal presentan respuestas idénticas para el punto de equilibrio seleccionado.
Conclusiones
En este trabajo se obtiene el modelo no lineal y lineal de una planta de levitación magnética MIMO uniaxial, luego de elegir de entre tres posibles geometrías para las bobinas y magnetos se seleccionó aquella que coincide con la utilizada en el posicionamiento axial de rotores dado a que las fuerzas que modelan el sistema tienen un comportamiento exponencial con respecto a la distancia mejor que las otras configuraciones. Las fuerzas mencionadas fueron calculadas numéricamente y existe concordancia entre los resultados para las configuraciones 1, 2 y 3 con los expuestos en la literatura [16], lo cual válida nuestros resultados. Las dimensiones de los magnetos para la configuración 1 elegida son: 0,0508 m ×0,0127 m ×0,00635 m (diámetro externo por diámetro interno por altura) y las dimensiones de las bobinas: 0,0508 m ×0,0127 m ×0,05 m (diámetro externo por diámetro interno por altura). Igualmente para los cálculos numéricos mencionados se seleccionó para la densidad de corriente conductores con área transversal igual a 8,2×10-7 m2.
Para la configuración número 1, se halló el modelo no lineal del sistema de levitación mediante los ajustes de curva exponencial, para las fuerzas entre bobina e imán y entre imán e imán. Se demostró que el sistema lineal representa la dinámica del sistema no lineal, debido a que el sistema evaluado en el punto de operación seleccionado indica que el punto de equilibrio es hiperbólico.
La configuración que se seleccionó (configuración 1) se utiliza actualmente como sistema de suspensión magnética y puede servir para el desarrollo y estudio de controladores de posicionamiento axial. De aquí la importancia del modelo desarrollado.
El trabajo futuro comprende la comparación del modelo no lineal desarrollado con respecto al que resultaría mediante simulaciones del sistema en elementos finitos, dado a que este último tiene en cuenta las características geométricas del sistema elegido con una mayor precisión.
Agradecimientos
Este trabajo fue realizado con aportes del CODI (Comité para el Desarrollo de la Investigación).
References
1. M. Okano, T. Iwamoto, M. Senokuchi, S. Fuchino, I. Ishii. ''Magnetic rail construction for a low loss superconducting magnetic levitation linear guide''. IEEE Transactions on Applied Superconductivity. Vol 14. 2004. pp. 944-947. [ Links ]
2. R. Ravaud, G. Lemarquand, S. Babic, V. Lemarquand, C. Akyel. ''Cylindrical Magnets and Coils: Fields, Forces, and Inductances''. IEEE Transactions on Magnetics. Vol. 46. 2010. pp. 3585-3590. [ Links ]
3. R. Ravaud, G. Lemarquand, V. Lemarquand. ''Force and Stiffness of Passive Magnetic Bearings Using Permanent Magnets. Part 2: Radial Magnetization''. IEEE transactions on magnetics. Vol. 45. 2009. pp. 2996-3002. [ Links ]
4. M. Greconici, Z. Cvetkovic, A. Mladenovic, S. Aleksic, D. Vesa. Analytical - numerical Approach for levitation force calculation of a cylindrical bearing with permanent magnets used in an electric meter. 12th International Conference on Optimization of Electrical and Electronic Equipmen.OPTIM. 2010. Romania. Brasov. pp. 197-201. [ Links ]
5. U. Hasirci, A. Bolikci, Z. Zabar, L. Birenbaum. ''A novel magnetic-levitation system: design, implementation, and nonlinear control''. IEEE Transactions on Plasma Science. Vol. 39. 2011. pp. 492-497. [ Links ]
6. M. Subkhan, M. Komori. ''New Concept for Flywheel Energy Storage System using SMB And PMB ''. IEEE Transactions on Applied Superconducting. Vol. 21. 2011. pp. 1485-1488. [ Links ]
7. L. Mei, Z. Deng, C. Liu. A 5-dof magnetic levitation motor system with two similar hybrid magnetibearings. 4th IEEE Conference on Industrial Electronics and Applications. China. Xian. 2009. pp. 1215-1219. [ Links ]
8. W. Hurley, W. WOlfle. ''Electromagnetic Design of a Magnetic Suspension System''. IEEE Transactions on education. Vol. 40. 1997. pp. 124-130. [ Links ]
9. A. Ahmad, Z. Saad, M. Osman, I. Isa, S. Sadimin, S. Abdullah. Control of Magnetic Levitation System Using Fuzzy Logic Control. Second International Conference on Computational Intelligence, Modelling and Simulation. Bali, Indonesia 2010. pp. 51-56. [ Links ]
10. Y. Satoh, H. Nakamura, H. Katayama, H. Nishitani. Robust nonlinear adaptive control for the magnetic levitation system. Mediterranean Conference on Control and Automation. Filoxenia, Grecia. 2007. pp 1-6. [ Links ]
11. K. Kim, E. Levi, Z. Zabar, L. Birenbaum. ''Restoring Force Between Two Noncoaxial Circular Coils.''IEEE Transactions On Magnetics. Vol 32. 1996. pp. 478484. [ Links ]
12. M. Ooshima, S. Kobayashi, H. Tanaka. Magnetic Suspension Performance of a Bearingless Motor/ Generator for Flywheel Energy Storage Systems. IEEE Power and Energy Society General Meeting. Minneapolis, US. 2010. pp 1-4. [ Links ]
13. A. Chiba, T. Fukao, O. Ichikawa, M. Takemoto, D. Dorrell. Magnetic Bearings and Bearingless Drives. Capitulo 1. Ed. Elsevier. Newnes, UK. 2005. pp. 34-35. [ Links ]
14. K. Hijikata, S. Kobayashi, M. Takemoto, Y. Tanaka, T. Yoshimoto. ''Basic Characteristics of an Active Thrust Magnetic Bearing With a Cylindrical Rotor Core,'' IEEE Trans. Magn. Vol. 44. 2008. pp. 4167-4170. [ Links ]
15. A. Rodriguez, R. Graduno, L. Vela. ''PI Fuzzy Gain - Scheduling Speed Control at Startup of a GasTurbine Power Plant''. IEEE Transactions on Energy Conversion. Vol. 26. 2011. pp 310-317. [ Links ]
16. R. Ravaud, G. Lemarquand, V. Lemarquand. ''Mutual inductance and force exerted between thick coils''. Progress in Electromagnetics Research. Vol. 102. 2010. pp 367-380. [ Links ]
17. V. Oliveira, E. Costa, J. Vargas. ''Digital Implementation of a Magnetic Suspension Control System for Laboratory Experiments''. IEEE transactions on education. Vol. 42. 1999. pp. 315-322. [ Links ]
18. H. Klee. Simulation of dynamic systems with Matlab and Simulink. Capitulo 7. Ed. CRC press. Orlando. US. 2007. pp. 611-615. [ Links ]
19. H. Khalil. Nonlinear Systems. 3rd ed. Ed. Prentice Hall. New Jersey, US. 2002. pp. 53. [ Links ]























