Services on Demand
Journal
Article
Indicators
-
Cited by SciELO -
Access statistics
Related links
-
Cited by Google -
Similars in
SciELO -
Similars in Google
Share
Semestre Económico
Print version ISSN 0120-6346On-line version ISSN 2248-4345
Semest. Econ. vol.10 no.20 Medellín July/Dec. 2007
Diseño de un juego económico experimental sobre estrategias de manejo sostenible de recursos de uso común*
Design of an experimental economic game about sustainable management strategies of common-use resources
Juan David Osorio Múnera**; Isabel Cristina Betancur Hinestroza***
** Economista Industrial, Universidad de Medellín, magíster en Economía del Medio Ambiente y los Recursos Naturales, Universidad de los Andes-Universidad de Maryland. Profesor tiempo completo del programa Negocios Internacionales, miembro del Grupo de Economía Ambiental (GEA), Facultad de Ciencias Económicas y Administrativas, Universidad de Medellín.
*** Economista, Universidad de Medellín, Candidata a magíster en Economía, Universidad de los Andes.
Resumen
Los recursos de uso común son considerados ecosistemas importantes para el mundo. No obstante, están sujetos a una degradación por la utilización excesiva. Tal situación se presenta por sus características de no exclusión y rivalidad. Con el objetivo de encontrar estrategias de manejo sostenible de recursos naturales de uso común, se construyó un juego experimental que facilita la captura del comportamiento de los agentes sobre el manejo de los recursos pesqueros. Esta metodología permite comprobar si los individuos, cuando tienen libre acceso del recurso, extraen las unidades predichas por el equilibrio de Nash para juegos no cooperativos, y si bajo determinadas estrategias de manejo, es posible reducir las extracciones a los niveles del óptimo social establecidos desde la teoría. Como resultado del diseño del juego se construyeron los tratamientos de regulación externa o multa, comunicación antes de cada ronda, la continuación con la extracción bajo el libre acceso y la declaración pública.
Palabras clave
Acción colectiva; diseño experimental, recursos de uso común, economía experimental, juegos no cooperativos. Clasificación JEL: C900; O130; Q200
Abstract
Common-use resources have been considered as important ecosystems for the world. However, they are subject to a degradation due to their excessive use. Such a situation occurs for its nonexclusion and rivalry features. With the purpose of finding strategies of sustainable management of common-use natural resources, an experimental game which makes it easy to capture agents’ behavior on fishing resources management was built. This methodology allows verifying if individuals, when having free access to the resource, extract unites foreseen by Nash equilibrium for non-cooperative games, and if under specific management strategies, it is possible to reduce extractions to optimum social levels established from a theoretical point of view. As a result of the game design, external regulation treatments (or fine), communication before each turn, continuation of extraction under free access, and public declaration were created.
Keywords
Collective action; experimental design, common-use resources, experimental economy, noncooperative games. JEL Classification: C900; O130; Q200
Introducción. 1. El manejo de los recursos de uso común. 2. Economía experimental: trabajos en campo. 3. Juego económico experimental. 4. Modelo experimental: función de pagos. Conclusiones y recomendaciones. Anexo: protocolo para un juego de extracción de recursos de uso común.
INTRODUCCIÓN
Los recursos de uso común como los océanos, los ríos, los parques nacionales, están sujetos a una degradación por la excesiva y no restringida utilización del recurso natural. Este comportamiento puede ser explicado mediante la teoría de los recursos de uso común y la tragedia de los comunes descrita por Hardin (1968). La tragedia más importante que enfatiza en su trabajo Hardin es la sobreexplotación de recursos de uso común (RUC) o también llamados de libre acceso, originada principalmente por el comportamiento individualista de los usuarios y las características propias de estos recursos, las cuales incentivan a que los individuos, en la búsqueda de mayor beneficio individual, extraigan del recurso todas las unidades posibles dada su dotación de esfuerzo. La primera característica de los RUC es la no exclusividad, es decir, la naturaleza física del recurso es tal que el control del acceso por los usuarios potenciales puede ser costoso o imposible. La segunda característica es la rivalidad, es decir, cada usuario con su consumo del recurso es capaz de disminuir la cantidad de recurso al que puede acceder otro usuario (Ostrom, 1997).
Para evitar la tragedia, Hardin (1968) propone que los recursos con estas propiedades pueden ser manejados mediante la cesión de derechos de manejo y uso a la comunidad, o bien pueden ser manejados como propiedad pública y de esta forma distribuir los derechos de acceso y uso del recurso. Partiendo de esta teoría, se ha elaborado gran cantidad de estudios que buscan desarrollar mecanismos de manejo de los RUC a fin de evitar su degradación. No obstante, la cesión inadecuada de los derechos de extracción a una comunidad puede implicar un daño mayor al estado del recurso y al sustento económico de la comunidad.
Ahora, un instrumento que ha sido utilizado más recientemente en la búsqueda de los incentivos para evitar la llamada tragedia de los comunes se basa en la economía experimental, la cual permite, a través de información obtenida en experimentos en campo y laboratorio, buscar estrategias de manejo para estos recursos, con fundamento en la existencia de otros factores, además del egoísmo, que influyen en las decisiones económicas de los agentes, como la reciprocidad, el altruismo, la reputación y la confianza. Estos factores, bajo determinadas condiciones, permiten llegar a un uso más eficiente de los RUC mediante el logro de altos niveles de cooperación, sacrificando bienestar individual en aras de aumentar el bienestar social (Castillo y Saysel, 2005).
De otro lado, es posible aplicar los experimentos económicos en campo con usuarios del recurso o con personas del común, generalmente con estudiantes universitarios. En este sentido, un trabajo representativo en Colombia es el de Murphy y Cárdenas (2004) quienes aplican un juego experimental de extracción de leña de un bosque con estudiantes graduados y no graduados de diferentes disciplinas.
El presente artículo plantea el diseño de un experimento sobre extracción de recurso pesquero que será aplicado a estudiantes universitarios de diferentes disciplinas económicas y ambientales. Para lograr este objetivo el trabajo ha sido dividido en cinco secciones. En la primera se plantea el problema del manejo de los recursos de uso común. En la segunda sección del trabajo se presenta una revisión de literatura económica sobre el manejo de los recursos de uso común y la economía experimental. Por su parte, en la tercera sección se explica el juego económico experimental. La cuarta sección establece el modelo experimental. Finalmente, en la quinta sección se presentan las conclusiones y, por su parte, en el anexo, se muestra el protocolo del juego y la encuesta a los jugadores.
1. EL MANEJO DE LOS RECURSOS DE USO COMÚN
El creciente deterioro de los recursos de uso común (RUC), la consecuente reducción en los ingresos de los individuos que los extraen o se benefician de sus servicios ecosistémicos y el creciente interés público sobre los problemas ambientales han provocado esfuerzos para ir mas allá de las predicciones y conclusiones realizadas por Hardin (1968) sobre las razones por las cuales se llega a niveles de extracción insostenibles de estos recursos. Partiendo de estos esfuerzos se ha buscado definir mecanismos y políticas que permitan un manejo y un uso más adecuado y sostenible de estos RUC.
A partir de la evidencia de sobreexplotación de los recursos naturales en la historia, han surgido varias formas de organización institucional con el fin de regular el comportamiento económico: el mercado, el Estado y las formas comunitarias o de autogobierno (Cárdenas, 2004). El Estado, a partir de las deficiencias del mercado, busca tomar la posición del manejo y control de estos recursos con el fin de mejorar la situación de los usuarios. Este manejo y control se basa principalmente en la creación de instituciones y de normas que regulen la extracción, y concentra sus recursos económicos en el hacer cumplir dichas normas a través del monitoreo y la imposición de multas a los usuarios que incumplan.
Esta política impositiva e institucional por parte del Estado ha tenido poca eficiencia y eficacia en lograr una menor sobreexplotación del recurso por lo que ha dado lugar, en las últimas décadas, a la visión bajo la cual la comunidad por sí sola, o en conjunto con el Estado, tiene la capacidad de manejar más sosteniblemente los recursos naturales. En muchas de las situaciones donde se presentan fallas en las asignaciones e intercambios realizados en la economía, las cuales originaron pérdidas de bienestar social, las mismas comunidades han construido e implementado reglas internas de autogobierno e instrumentos de corrección con el fin de que las decisiones individuales generen resultados socialmente aceptables.
Lo anterior soporta la idea de reorientar la política actual y buscar maneras más efectivas de lograr los objetivos propuestos por las instituciones y la sociedad. Bajo esta misma línea, Ostrom (2000) argumenta no estar de acuerdo con que la única salida al problema de la tragedia de los comunes debe darse según las teorías del Estado o de la privatización y propone un juego donde es posible establecer contratos vinculantes entre los jugadores que los obliga a cumplir con acuerdos iniciales y con normas de cooperación creadas por ellos mismos. Además, señala que “el interés propio de los que negociaron el contrato los conducirá a supervisarse mutuamente y a reportar las infracciones observadas, de modo que se hace cumplir el contrato”. No obstante, la evidencia empírica sobre este tipo de manejo de los recursos no es abundante y señala que algunas veces es exitosa, y otras, falla (Feeny et al.1990; Ostrom, 1997, 2006; Cárdenas, 2004).
Estudios más recientes mencionan que existen muchos factores biofísicos y sociales que afectan la capacidad de los usuarios del recurso para formar asociaciones comunitarias y para establecer normas internas como límites de extracción, artes de pesca, estrategias de monitoreo y sanción, de tal manera que permitan mejorar la sostenibilidad del recurso natural (Ostrom, 2000, 2006; Singleton, 2000). Estos estudios afirman que la estrategia de manejo de los recursos naturales por parte de la comunidad tiene mayor posibilidad de tener éxito cuando la comunidad tiene: i) homogeneidad en sus pobladores, es decir, no hay diferencias significativas en el ingreso, en la edad, en el género; ii) preferencias en el manejo sostenible del recurso, es decir, cuando la comunidad extrae del recurso y al mismo tiempo invierte otros recursos en su sostenimiento; iii) los recursos sociales y materiales para lograr resolver los problemas de acción colectiva asociados a la creación y sostenimiento de las instituciones encargadas del manejo de los recursos; iv) el suficiente conocimiento sobre las acciones que son necesarias para lograr el uso sostenible del recurso; v) la suficiente información disponible sobre la creación de regulaciones efectivas de manejo; vi) baja tasa de descuento, es decir, valora más tener los recursos en el futuro que en el presente.
Una vez establecidas las normas, el nivel de cumplimiento por parte de la comunidad depende, entre otros aspectos, de la percepción sobre el grado en que las personas de la comunidad están de acuerdo con la norma, de la legitimidad de la norma, de las instituciones que promueven la norma, de la participación de los usuarios del recurso en organizaciones, de la aceptación de la norma por parte de los líderes comunitarios y del grado de pertenencia que el individuo sienta en la comunidad (Bardhan, 1993; Chávez y Viteri, 2004).
En lo expuesto anteriormente se aprecia que la comunidad cobra importancia en el manejo de los recursos naturales que utiliza y que bajo determinadas características es muy probable que tenga la capacidad de manejar dichos recursos.
2. ECONOMÍA EXPERIMENTAL: TRABAJOS EN CAMPO
Los experimentos en campo permiten obtener datos, a través de juegos experimentales económicos, sobre el comportamiento de los individuos en el manejo de los recursos naturales bajo diferentes tratamientos y escenarios. Los experimentos sobre RUC parten del diseño de la línea base, la cual busca mediante un modelo simple, capturar aspectos esenciales del problema de apropiación del recurso natural. La línea base es muy importante debido a que permite capturar información del comportamiento de los individuos cuando se enfrentan a la situación de extraer el recurso bajo libre acceso; esta información permite evaluar en primera instancia si los individuos se comportan de manera similar al equilibrio de Nash predicho por la teoría de juegos no cooperativos. La línea base de un experimento puede ser modificada incluyéndole varios tratamientos como la comunicación, la regulación externa, la declaración pública, entre otros, a partir de los cuales se obtendrá una nueva información que puede ser comparada con la de la línea base y así observar los cambios en términos de extracción, ganancias y estado del recurso natural que se originan bajo cada regla o estrategia de manejo del recurso natural.
En determinados trabajos realizados en campo, los usuarios del recurso se han comportado contrario a las predicciones teóricas que mencionan que el manejo de los recursos de uso común requiere de un manejo central del Gobierno a partir de la imposición de controles sobre el uso de los recursos o de la cesión de los derechos de uso o propiedad a los usuarios o la comunidad (Ostrom, 2006).
Una explicación a estas desviaciones respecto a la teoría del comportamiento individualista es la cooperación condicional e incondicional que los agentes muestran en los trabajos experimentales, la cual puede estar motivada principalmente por conductas de reciprocidad, conformismo, altruismo, reputación, confianza, entre otros. La economía experimental aplicada en RUC se ha centrado en observar cómo estos comportamientos influyen en las decisiones de extracción que hacen los individuos de los recursos comunales. Por ejemplo, en un juego para RUC, específicamente un juego de extracción de pesca, es posible encontrar comportamientos recíprocos donde los individuos están motivados a extraer en una jornada de pesca un nivel más bajo si esperan que los demás también estén conservando el recurso, y extraer más cuando esperan que los demás lo harán o comportamientos conformistas donde los individuos están motivados por una penalidad interna que surge cuando sus extracciones se desvían de las extracciones promedio de los demás. Vélez et al (2005) encuentran en su estudio que la motivación generada por el conformismo genera la mejor explicación sobre las decisiones de extracción promedio obtenidas en un experimento en Colombia sobre la extracción del recurso pesquero.
Las decisiones de los individuos entre cooperar y no cooperar tienen importancia en el manejo del RUC, ya que si ninguno de los usuarios del recurso coopera, posiblemente el recurso se verá disminuido y afectará a todos los usuarios por igual. O si deciden cooperar, pueden correr el riesgo de que exista un individuo que se comporte de manera oportunista y obtenga mayores beneficios que los demás o, por el contrario, que todos los individuos cooperen y todos obtengan un mayor beneficio social. Los usuarios de los RUC tienen un mayor incentivo a la extracción cuando actúan independientemente que cuando encuentran alguna forma de coordinar sus actividades de apropiación (Ostrom, 2006).
Partiendo de este dilema social entre cooperar y no cooperar, se han desarrollado estudios como el de Vélez et al, (2005) y Cárdenas y Ostrom (2004), que incorporan en sus modelos y diseños experimentales combinaciones de los comportamientos de altruismo, reciprocidad, reputación, conformismo, aversión a la desigualdad y confianza, entre otros. Cárdenas y Ostrom (2004) examinan en su artículo la información que traen los jugadores al juego experimental y señalan que cuando los jugadores en los experimentos en campo comprenden que la estrategia de cooperar y realizar un menor esfuerzo grupal en términos de extracción aumenta las ganancias del grupo en el juego, comienzan a reunir información sobre si confiar en los demás integrantes del grupo y cooperar. El presente estudio pretende incorporar este dilema social por medio de la incorporación dentro del juego de tratamientos como la comunicación y la declaración pública. Con el tratamiento de la comunicación se pretenderá verificar si los individuos que conforman un grupo logran llegar a acuerdos y disminuyen sus niveles de extracción, alejándose así de la alta explotación predicha por el equilibrio de Nash. Por su parte, con el tratamiento de la declaración pública pretenderá capturar información sobre si los jugadores monitoreados al revelar su nivel de extracción al grupo generan incentivos individuales y grupales para disminuir o aumentar los niveles de extracción.
En Colombia se han realizado varios estudios de experimentos en campo con usuarios de los recursos naturales y con estudiantes universitarios. Al respecto, Cárdenas et al (2000) realizaron un estudio sobre la extracción de madera en zonas rurales de Colombia, recurso natural de uso común por parte de las comunidades. En este trabajo se encontró que en promedio los individuos emplean en recolección de madera 4,39 meses bajo el libre acceso (línea base), 3,4 meses bajo la regulación de una penalidad de 100 puntos por cada unidad de tiempo gastada por encima de la cuota establecida y 3,53 meses si se les permitía un tiempo corto donde los participantes podían charlar antes de tomar la decisión de extracción.
En un estudio similar sobre recursos madereros de uso común aplicado a estudiantes universitarios, Murphy y Cárdenas (2004) encuentran que los estudiantes reconocen rápidamente el dilema que se busca reflejar en el juego: se maximizan los beneficios del grupo cuando todos sus integrantes extraen una unidad del recurso, pero hay incentivos económicos individuales a desviarse de esta extracción. La extracción promedio encontrada bajo el libre acceso del recurso oscila entre 4 y 5 meses de extracción. Es decir, que existe en los resultados experimentales una pequeña desviación a la predicción teórica sobre el comportamiento puramente individual donde la extracción predicha es extraer el máximo nivel de recurso disponible dado el nivel de esfuerzo, es decir, 8 meses. Bajo el tratamiento de la regulación, se observa que los niveles de cumplimiento de la norma son altos en las primeras rondas, pero se va disminuyendo en las rondas finales hasta alcanzar niveles de extracción similares a las del libre acceso. Este comportamiento es explicado por el hecho de que la regulación desplaza otras consideraciones que los individuos tenían en cuenta para tomar sus decisiones de extracción, ya que a partir de la imposición de la norma toman sus decisiones pensando mucho más en los intereses individuales que en el bienestar grupal.
Estos resultados muestran que no solo a través de políticas más restrictivas y costosas es posible alcanzar niveles más bajos de extracción del recurso, sino que sugieren la posibilidad de implementar otras estrategias de políticas, como es el caso de la comunicación, la cual logra una reducción importante del tiempo gastado en la extracción del recurso maderero debido a que los individuos pasan a tomar sus decisiones teniendo en cuenta el interés colectivo. Igualmente, Cárdenas et al., (2000) mencionan que las regulaciones, así como las “multas”, son diseñadas partiendo de la premisa que el individuo busca satisfacer los intereses puramente individuales. Sin embargo, los resultados experimentales muestran que los individuos no se comportan de esta manera y que, en cambio, buscan un balance entre el interés propio y el colectivo.
Dos estudios más recientes desarrollados en Colombia sobre la explotación de recursos de uso común fueron realizados por Lozano (2006) y Vargas (2006). Lozano (2006), basado en datos experimentales, busca entender la racionalidad económica alrededor de la explotación del manglar por parte de la comunidad del Pacífico colombiano, a partir de una aproximación en el conocimiento de los determinantes de la explotación de este recurso por parte de esta población. Este estudio hace un aporte significativo al permitir entender las decisiones que se toman sobre los diferentes recursos y servicios de uso común ofrecidos por el manglar. De manera similar, Vargas (2006) se basa en los datos experimentales del estudio piloto realizado por Maya et al., (2004) y pretende encontrar los factores que determinan las decisiones por conservar o destruir la cuenca de la laguna de Fúquene usando como herramienta econométrica un modelo binomial negativo. El principal resultado de este trabajo es la validación de la hipótesis sobre la comunicación planteada por Ostrom (1998; 2006), la cual establece que al propiciar espacios para la comunicación, es posible derivar un aumento del bienestar social para todos los agentes que dependen de la utilización del recurso de uso común.
Los estudios anteriormente mencionados muestran cómo a través de los trabajos experimentales en campo se pretende mejorar el entendimiento del comportamiento de los usuarios de los recursos de uso común, los cuales han tendido a ser sobre explotados. De manera similar, el presente trabajo busca construir un diseño experimental que permita obtener datos sobre las decisiones de extracción que realizan estudiantes universitarios en la modalidad de usuarios de un recurso pesquero bajo los tratamientos de comunicación, libre acceso, multa y declaración pública. El diseño y explicación del juego económico experimental se presenta en la siguiente sección.
3. JUEGO ECONÓMICO EXPERIMENTAL
3.1 Descripción general del juego
El presente juego económico experimental se construyó con base en el juego de recursos de uso común (RUC) presentado en el trabajo de Cárdenas y Ramos (2006) e incorpora en el diseño una tabla de pagos con diferentes valores, un nuevo tratamiento llamado declaración pública de los niveles de extracción y un enfoque hacia otros agentes de estudio como son los estudiantes de á reas ambientales y económicas.
Este juego experimental busca observar el comportamiento de los individuos en la utilización y manejo de los RUC, a partir de la toma de decisiones sobre la utilización de la pesca en experimentos estandarizados sobre su uso, además pretende analizar los incentivos individuales y colectivos y explorar el efecto de sus decisiones en la aplicación de diferentes reglas destinadas a regular el uso del recurso.
Para el experimento se seleccionan 20 estudiantes voluntarios organizados en cuatro grupos de cinco personas, de los cuales 10 pertenecen a programas ambientales y los 10 restantes a programas económicos, esto con el fin de evaluar si existe una conciencia previa por parte de los jugadores de los diferentes programas. El experimento consistirá en 20 rondas, las cuales se dividen en dos fases. Al final de los juegos se realizará una entrevista corta a los participantes y luego se calculan las ganancias para cada jugador haciendo el pago efectivo a cinco de ellos los cuales se seleccionarán de forma aleatoria con el objetivo de que se tomen decisiones de tipo económico bajo un escenario que simule un caso real de extracción, con consecuencias para su bolsillo. El juego tiene una duración aproximada de dos horas, y los pagos por las decisiones tomadas durante los juegos se estiman alrededor de 1.5 salarios mínimos diarios o jornales equivalentes en una región pesquera.
3.2 Explicación del juego
Este ejercicio trata de recrear una situación en la cual un grupo debe tomar decisiones sobre cómo aprovechar un recurso, como por ejemplo la pesca de pargo, langosta, pulpo o caracol. El juego se divide en dos fases, cada una de 10 rondas de decisión. Cada fase comienza con una explicación a partir del protocolo diseñado para el juego (ver anexo), el cual incluye la entrega y explicación del material necesario en el juego, rondas de práctica y la aclaración de dudas antes de dar comienzo al experimento.
Al inicio del juego se les entrega a los participantes un material inicial de forma aleatoria de tal forma que no queden juntos dos “amigos” en el mismo grupo. El material inicial consiste en dos fichas que identifican al grupo y a cada jugador, una tabla de pagos (ver tabla 1) para estimar las ganancias, tarjetas blancas de decisión y la tarjeta cuentas azul en la que el jugador puede llevar todos sus movimientos y sus ganancias sin que otra persona conozca la decisión tomada en cada ronda.
Tabla 1. Tabla de pagos
En cada ronda cada jugador debe decidir de manera individual y privada el nivel del recurso (por ejemplo: peces, kilos de pescado, langostas) que desea extraer y cuyo número puede ser mínimo de uno (1) y máximo de ocho (8). Esta decisión debe ser consignada en unas tarjetas de juego amarillas que el monitor recogerá con el fin de calcular y anunciar la extracción total realizada por el grupo. Con el total de extracción y la decisión individual, cada jugador puede obtener las ganancias para la ronda utilizando la hoja de pagos (ver tabla 1).
En la primera fase de 10 rondas, se toman decisiones individuales y cada jugador lleva en las hojas de cuenta azul el registro de sus decisiones y ganancias, mientras que el monitor consigna en la base de datos experimentales las decisiones individuales a partir de las tarjetas de juego amarillas entregadas por cada jugador. Al finalizar la ronda 10, se anuncia la terminación de la primera fase y el comienzo de una segunda fase con nuevas reglas para cada grupo.
Para la segunda fase se establecerán varios tratamientos, los cuales se asignan de manera aleatoria a cada grupo y tienen como fin observar el comportamiento de los jugadores bajo diferentes escenarios, de los cuales la mayoría de ellos busca reducir las extracciones promedio y aumentar las ganancias del grupo. Los tratamientos que se establecerán en los grupos corresponden a continuar con el juego base bajo las reglas de la primera fase, continuar con el juego base pero permitiendo la comunicación entre los jugadores, continuar bajo una regla de declaración pública y continuar bajo una regla de multas o regulación externa. Para un mayor entendimiento, en el protocolo presentado en el anexo se explica con más detalle el procedimiento y las reglas del juego. A continuación se da una breve explicación de cada uno de los tratamientos antes mencionados.
Regla 1. Continuar el juego base
Bajo esta regla se continúa jugando durante las 10 rondas de la segunda fase con las mismas reglas con las que se venía jugando en la primera fase. La finalidad de implementar este tratamiento es observar si existe un proceso de aprendizaje por parte de los jugadores el cual los lleve a tomar decisiones de extracción más bajos o si, por el contrario, continúan extrayendo en promedio las mismas unidades que en la primera fase.
Regla 2. Regulación externa
La regulación externa consiste en imponer una norma que prohíbe a los integrantes del grupo extraer en cada ronda más de una unidad del recurso con una probabilidad de 1/10 de que su extracción sea monitoreada. Si un jugador es monitoreado en una ronda y extrajo más de una unidad del recurso pesquero se le impondrá una multa de 100 puntos por cada unidad extraída por encima de la norma y sus ganancias se verán disminuidas en el valor de dicha multa. La norma pretende llevar la extracción del grupo al óptimo social ayudando a obtener las máximas ganancias posibles.
Regla 3. Comunicación antes de cada ronda
El tratamiento de comunicación consiste en que durante las 10 rondas de la segunda fase se le permitirá al grupo, al inicio de cada ronda, tener una discusión abierta entre sus integrantes de máximo 5 minutos antes de empezar la segunda fase, y de máximo 2 minutos antes de cada ronda siguiente, para luego tomar las decisiones de extracción de manera individual y privada. Durante el tiempo de comunicación los integrantes del grupo pueden formar un círculo y conversar sobre lo que quieran respecto al juego, excepto hacer promesas o amenazas sobre transferencias de dinero durante o después del ejercicio. El objetivo de esta nueva regla es ayudar a obtener las mejores ganancias posibles para el grupo y reducir los niveles de extracción del recurso.
Regla 4. Declaración pública
Este tratamiento consiste en imponer una sanción o reconocimiento público, el cual se basa en anunciar públicamente el nivel de extracción que un jugador ha realizado en una ronda con una probabilidad de 1/10 de que sea monitoreado. Esta norma pretende identificar el comportamiento de este individuo y de los demás integrantes del grupo en las próximas rondas del juego frente al anuncio público. Además, busca evaluar si esta regla puede llevar al grupo al óptimo social.
Los pagos de este experimento fueron generados por un modelo para un número fijo de individuos n que extraen el recurso pesquero. En la siguiente sección se presenta un modelo estático a partir del cual es posible construir la tabla de pagos que recrea los posibles conflictos entre los beneficios individuales y los colectivos de las decisiones de extracción.
4. MODELO EXPERIMENTAL: FUNCIÓN DE PAGOS
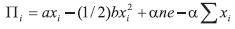
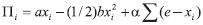
Los pagos de este experimento fueron generados por un modelo simple para un número fijo de individuos n que extraen el recurso pesquero; este modelo se basa en el trabajo de Cárdenas (2004) y Cárdenas et al. (2000). El modelo consiste que en cada jornada de pesca o ronda del juego cada individuo tiene un nivel de esfuerzo máximo que le permite extraer e unidades del recurso, x1 denota la cantidad de recurso que el individuo i extrae del recurso de uso común, donde x1 [1, e]. La extracción x1 aumenta las ganancias privadas π1 a una tasa decreciente de la siguiente manera ax1- (1/2)bxi2, a,b>0 lo cual refleja las ganancias directas; estos parámetros son escogidos para garantizar π1>0.
La extracción agregada del recurso por parte del grupo de n jugadores,∑ x1 con i = 1,2..n con , reduce las ganancias privadas de i, donde los beneficios indirectos son α ∑(e - x1), con α > 0 denotando el pago o salario por la jornada de extracción. La estricta concavidad de π1 indica la disminución marginal de las ganancias privadas respecto al esfuerzo empleado en la extracción del recurso. Es decir, cada vez que se quiera extraer más del recurso, el esfuerzo debe ser mayor y las ganancias disminuyen por el costo de oportunidad de dicho esfuerzo. Esta no linealidad se debe, además, a procesos ecológicos o de estructura de costos, donde la extracción agregada del grupo afecta los rendimientos marginales del bien público.
La función de pagos queda descrita por:
Para un número de n jugadores y asumiendo que tiene dotaciones simétricas de e, (1) se puede reescribir así:
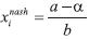
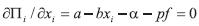
Si el jugador i elije x1 para maximizar πi, la condición de primer orden que origina el óptimo de extracción en un equilibrio de Nash en un juego no cooperativo es:
En el caso de e=8, a=100, b=10, y á=2 ; es decir, que en este caso el equilibrio de Nash corresponde a tomar la decisión de realizar su máximo esfuerzo en la extracción del recurso. Es importante anotar que la estrategia de Nash en este juego es una estrategia dominante, es decir, es la misma y mejor respuesta a cualquier acción de los demás jugadores.
Para estudiar el resultado que maximiza el bienestar social de los n jugadores, maximizamos la suma de los pagos y calculamos la extracción de :
La condición de primer orden es:
Para n=1 hay una coincidencia entre el nivel de extracción y el óptimo social ya que no se ha generado externalidad alguna (conservación del bien público). Cada grupo está conformado por 5 individuos y cada uno tiene la posibilidad de extraer un máximo de 8 unidades del recurso.
El valor de los parámetros para la función de pagos es:
Función de pagos:
Estrategia de Nash:
Estrategia Social:
4.1 Regulación externa
Pensando en una estrategia institucional a través de la cual se pueda llevar a los individuos a tomar decisiones socialmente deseables se puede establecer una regulación externa en la cual el regulador monitorea con cierta probabilidad el comportamiento de los agentes y aplica una sanción al agente que extrae por encima del nivel socialmente deseado. Cárdenas (2004) propone introducir la regulación al modelo anterior en forma de multa f como un costo para el individuo. Esta multa la impone el regulador el cual tiene una probabilidad p de monitorear al individuo e inspeccionar si está cumpliendo o no con la norma impuesta. La norma que se impone es extraer el nivel de óptimo social y al jugador monitoreado se le cobra f por cada unidad adicional extraída por encima de la norma. La función de pagos para el jugador i que incluye la multa queda descrita por:
A partir de (9) se dan las condiciones de primer orden tales que:
Comparando la ecuación (11) y (4) se puede observar que si f y p tienen un valor positivo, la extracción según la estrategia de Nash con regulación debe ser menor que sin regulación
. Asimismo, es posible encontrar valores de f y p, asumiendo neutralidad ante el riesgo, que permitan que la estrategia de Nash sea equivalente al óptimo social. Sin embargo, niveles muy altos de probabilidad de monitoreo (p) pueden resultar menos realistas, y sanciones muy altas (f) no solo son menos viables sino con consecuencias distributivas importantes. (Cárdenas, 2004).
Para este trabajo se ha asumido una probabilidad de ser monitoreado del 10% (p= 1/10), y una sanción f de 100 por cada unidad que el agente monitoreado sobrepase al nivel de extracción de la unidad. Pese a que el nivel de extracción socialmente deseado es 0, el nivel de extracción que se desea lograr con la regulación es de una unidad. Lo anterior pretende que el experimento sea más realista, ya que conservar totalmente el recurso en una zona que depende principalmente de su extracción no es una política muy acertada. En este escenario el equilibrio de Nash bajo regulación es:
El equilibrio de Nash bajo regulación es 6 unidades en lugar de 8, lo que permite aumentar parcialmente las ganancias y la eficiencia social.
La ecuación (8) se utilizó en la elaboración de la tabla de pagos del juego (ver tabla 1), la cual se utiliza en el juego económico experimental presentado. Esta función de pagos se construye con el fin de poder comparar las predicciones teóricas con los datos experimentales encontrados en el trabajo de campo. El diseño experimental aquí presentado, permite reflejar la situación de extracción de un recurso de uso común por parte de una comunidad, la cual realiza un esfuerzo en extracción dada su dotación de tiempo e instrumentos con el fin de obtener un recurso para su sostenimiento. No obstante, dadas las características de recurso de uso común que presenta la pesca, la extracción elevada de los demás miembros de la comunidad origina una escasez del recurso lo que conlleva a realizar más esfuerzo por cada cantidad de pescado que se desea extraer, situación que implica un mayor costo de oportunidad en tiempo y recursos por cada kilo de pescado extraído. Esta situación real se refleja en el juego, cuando las ganancias por la extracción de un jugador se reducen mientras más unidades estén extrayendo el resto de los integrantes del grupo.
CONCLUSIONES Y RECOMENDACIONES
El diseño experimental elaborado permite reflejar varias situaciones reales, como por ejemplo: el mayor costo de oportunidad incurrido en la extracción del recurso pesquero cuando el grupo tomó la decisión de extraer en una jornada o ronda del juego altas unidades del recurso, lo cual conlleva a realizar más esfuerzo para extraer las unidades, y el pago real en dinero a 5 de los participantes por las ganancias obtenidas en el juego, lo cual hace que las decisiones de extracción sean tomadas con implicaciones económicas.
La tabla de pagos (tabla 1) utilizada en el juego permite, además, reflejar el hecho de que la cooperación por parte de la comunidad extrayendo bajos niveles de recurso permite obtener los mayores beneficios sociales posibles; también permite capturar el hecho que cuando todos los integrantes del grupo extraen bajas unidades y un integrante decide aprovecharse de la situación y extrae grandes volúmenes, esto genera una alta ganancia para el individuo (free rider) y una disminución en las ganancias del grupo.
La aplicación del juego con estudiantes universitarios de programas ambientales y económicos permite evaluar si existen comportamientos en los niveles de extracción que dependen de los programas a los que está adscrito cada estudiante. Es decir, permite evaluar si hay una conciencia previa por parte de los jugadores que puede ser explicada por sus áreas de estudio.
Como recomendación para un mejor diseño del juego, es posible tener en cuenta la dinámica del recurso entre cada jornada de pesca, es decir, reflejar el hecho de que grandes extracciones en una jornada de pesca disminuyen la disponibilidad del recurso en una zona para la siguiente jornada. Para lograr lo anterior, es necesario desarrollar un modelo teórico dinámico que permita reflejar este hecho en la función de beneficios, para luego construir un juego que permita capturar esta dinámica. Adicional al juego, se debe realizar una pequeña socialización de los resultados, la cual pretenda concienciar sobre la importancia del manejo de este tipo de recursos y mostrar la posible estrategia de manejo que permite mejorar las ganancias grupales acercándose al óptimo social.
ANEXO: PROTOCOLO PARA UN JUEGO DE EXTRACCIÓN DE RECURSOS DE USO COMÚN
El siguiente protocolo de juego se construyó con base en el juego de recursos de uso común presentado en el trabajo de Cárdenas y Ramos (2006).
Descripción general del juego
El presente experimento se realiza con el fin de analizar el comportamiento de los individuos en la utilización y manejo de los recursos naturales de uso común, tomando decisiones respecto a la utilización de los recursos pesqueros en experimentos estandarizados sobre el uso de este recurso, además de analizar los incentivos individuales y colectivos y explorar el efecto de sus decisiones en la aplicación de diferentes reglas destinadas a regular el uso del recurso.
Descripción de los incentivos para participar en esta investigación
Los participantes ganadores podrán obtener en promedio ganancias entre 18 mil y 20 mil pesos y estos pagos serán hechos de manera individual y confidencial. La socialización de los principales resultados del experimento podrá ayudarles a concienciarlos sobre la importancia del manejo de este tipo de recursos y a mostrarles los resultados cuando deciden extraer el mínimo (1 unidad) donde se obtiene la mayor ganancia grupal y se mantiene un stock sostenible del recurso, conduciendo a un óptimo social.
Descripción de las medidas que serán tomadas si un par ticipante se ve perturbado o apenado como resultado de su participación en este estudio, si es aplicable al caso
Si un participante se ve perturbado o apenado durante el experimento, primero se tendrá una conversación privada con la persona. Si la situación no se normaliza, se le pedirá al participante dejar el experimento. Debe quedar claro que la participación en el experimento es enteramente voluntaria y que pueden dejar el experimento en cualquier momento.
Instancias en las cuales la confidencialidad de los participantes debe ser quebrantada
En un principio todas las decisiones deben ser tomadas de manera anónima y en secreto. El ú nico caso donde esta confidencialidad puede ser quebrantada es cuando se incurre en una equivocación con los formatos que se entregan a los participantes o cuando un participante comienza a hablar sobre sus decisiones. Aunque no se puede garantizar no incurrir en ninguna equivocación, las implicaciones del primer tipo de error son mínimas e intentamos evitar esto teniendo ayudantes en los experimentos con tareas señaladas y signos claros en los formatos para evitar equivocación. En el segundo caso se debe parar el experimento. En este último caso se harán efectivos los pagos a los participantes ganadores de acuerdo con las ganancias que hayan acumulado hasta el momento de parar el juego.
Instrucciones para los participantes
El ejercicio a realizar brinda información importante para todos; su participación en este estudio es voluntaria. Tenga en cuenta que puede dejar el ejercicio en cualquier momento. Sin embargo, si decide irse antes de que termine el ejercicio, usted no recibirá lo que ganó en el juego. El juego está diseñado para que no genere ningún tipo de riesgo físico ni requiera esfuerzos excesivos. Lo ideal es que no haya “amigos” en el mismo grupo.
Instrucciones para el juego
Introducción
Le agradecemos por haber aceptado esta invitación. Pasaremos cerca de dos horas durante las cuales se explicará la actividad a desarrollar, se realizará el juego y al final se contestará un cuestionario antes de entregar los premios. Comencemos. El siguiente ejercicio es una manera diferente y entretenida de participar activamente en un estudio sobre decisiones individuales que implican la utilización de los recursos naturales. De acuerdo con las decisiones que usted tome en este ejercicio, podrá ganar cierta cantidad de dinero, por esto es importante que preste atención a las siguientes instrucciones. Usted se preguntará por qué se utiliza dinero en este ejercicio. Se usa dinero porque el ejercicio necesita que las personas tomen decisiones de tipo económico, es decir, que sean decisiones con consecuencias para el bolsillo, como sucede en la realidad. En ningún momento se espera que el dinero constituya un pago por participar en el estudio ni sea la ú nica razón para que usted participe.
Primera Fase
Explicación del juego
Este ejercicio está tratando de recrear una situación en la cual un grupo debe tomar decisiones sobre cómo aprovechar un recurso, como por ejemplo la pesca. Ustedes han sido seleccionados para participar en grupos de cinco personas. Jugaremos varias rondas equivalentes, por ejemplo, a años, meses o temporadas de pesca.
Entrega de material a cada participante
En el juego, usted va a recibir diferentes materiales necesarios para jugar: lo primero que va a encontrar son unas pequeñas fichas con una letra y con un número; por favor, guarde esas dos fichas donde nadie más las pueda ver que más adelante las vamos a usar, pero nadie además de usted las puede conocer. Además de esas pequeñas fichas, va a encontrar una hoja de pagos; todos los participantes de su grupo tendrán la misma tabla de pagos que usted; esta tabla contiene toda la información que usted necesita para tomar sus decisiones en cada ronda del experimento. Los números que se encuentran dentro de estas tablas corresponden a puntos que usted podría ganar en cada ronda de acuerdo con las decisiones tomadas tanto individual como colectivamente. Los puntos que acumule se convierten en pesos al final del juego.
En cada ronda, usted debe decidir el nivel de EXTRACCIÓN del recurso (peces) que usted desea capturar y cuyo número puede ser mínimo de uno (1) y máximo de ocho (8). Sus ganancias dependen de la condición del recurso, es decir, de la abundancia de peces y del esfuerzo en términos de la extracción en un momento dado. Para jugar en cada ronda, usted recibirá Las tarjetas de juego blancas, en donde anota una letra que identifica a su grupo, su número de jugador, el número de la ronda actual, y su decisión (un número entre 1 y 8).
Es importante que usted tenga en cuenta que sus decisiones son completamente privadas y no debe mostrarlas al resto de los integrantes del grupo. Asimismo, el monitor no divulgará su decisión a ninguna persona. Después que todos hayan tomado su decisión, el monitor recogerá Las tarjetas de juego blancas de los 5 miembros del grupo y calculará el total de peces EXTRAÍDOS por el grupo. Cuando el monitor anuncia el total del grupo, cada uno podrá calcular los puntos que ganó en la ronda. En este experimento, nosotros asumimos que cada jugador tiene disponible un máximo de 8 unidades para EXTRAER del recurso pesquero. En las hojas de pagos esto corresponde a las columnas del 1 al 8. En cada ronda usted debe decidir entre 1 y 8 unidades a extraer. Pero para poder conocer cuántos puntos usted gana, usted necesita conocer el total de las decisiones que el resto del grupo tomó.
Ejemplo y práctica con el material
Antes de empezar a jugar, cada uno de ustedes va a mirar la ficha que se le entregó con una letra. Esa letra identifica el grupo al cual usted pertenece. En este momento, los monitores van a llamar a cada grupo para que se hagan juntos. Para comenzar la primera ronda del juego organizaremos los asientos y/o los escritorios en un círculo donde cada uno de ustedes hace frente hacia fuera. También tenga presente que a partir de este momento ninguna conversación o afirmación debe ser realizada por ustedes durante el juego, a menos que le sea permitido. Recuerden que si se están comunicando entre ustedes o anunciando sus decisiones, se termina el juego para todo el grupo.
Ronda de práctica
En la ronda deben anotar su decisión en La tarjeta de juego blanca. Supongamos que cada uno de ustedes decide extraer seis unidades. Esta decisión se debe escribir en la tarjeta blanca. El monitor recoge las tarjetas de juego blancas, hace la suma de los cinco jugadores y anuncia que en total fueron extraídas 30 unidades del recurso. Para calcular mis ganancias, utilizo la tabla de pagos; primero, cuenta mi extracción propia. Es decir, debo buscar la columna titulada “Mi nivel de extracción” y ubicar el número 6. Ahora sé que si entre todos extrajimos 30 unidades, la extracción de los demás fue de 24 unidades. Por lo tanto, usted ahora sabe que el “Nivel de extracción de ellos” fue 24. Buscando en la tabla de pagos la fila correspondiente a 24 y la columna de 6, se observa que sus ganancias para la ronda son de 620 (ver tabla 2).
Muy bien, ahora mostraremos como llevamos las cuentas. Cada participante tiene La hoja de cuentas azul como la reproducida acá en grande (tabla 3). En esta hoja usted debe anotar su nombre, el número de jugador que se le asignó, la fecha, la hora y el lugar. Anoten ahora esa información. En la hoja de cuentas azul debe escribir en la primera columna el estado del recurso y su decisión (el número 6).
El monitor anuncia que el total del grupo fue de 30 unidades. Usted debe escribir 30 en la columna B de la hoja de cuentas azul. Para calcular las unidades EXTRAÍDAS por los demás integrantes del grupo, reste la columna A de la columna B y escriba este resultado en la columna C. En nuestro ejemplo este valor es 24. Para calcular sus ganancias, use la hoja de pagos. Si su nivel de extracción es 6, la cantidad extraída por los demás integrantes del grupo es 24, su ganancia debe ser 620. Es decir, que para este ejemplo usted debería escribir 620 en la columna D de la hoja de cuentas azul. Es importante aclarar que ninguna persona deberá conocer su decisión en cada ronda ni sus ganancias en el juego. Únicamente el total de extracción del grupo es anunciado en público. Nadie sabrá cuál es la decisión de cada uno de los otros participantes del grupo.
Consentimiento informado
Antes de empezar el juego real, es necesario que ustedes, como participantes, sepan que toda la información que se recoja en los ejercicios le aseguramos que la manejaremos en forma confidencial; además, señalamos que participar en estos ejercicios no presenta ningún riesgo físico o mental.
Rondas reales, primera fase
Vamos entonces a empezar. De aquí en adelante, los puntos que obtengan sí sirven para sus ganancias reales en dinero. Se realizan las 10 primeras rondas de acuerdo con las reglas establecidas. Cada monitor con su grupo y el director del juego recoge la información y nos da los datos de extracción del grupo. Si se están comunicando, se les advierte, o se les cambia de puesto, o en caso extremo se les amenaza de la posibilidad de perder el juego.
Segunda fase
Después de 10 rondas reales, cada grupo tiene asignada una nueva regla para las siguientes rondas. Existen cuatro posibles reglas:
1. Continuar con el juego base.
2. Una regla de multas o regulación externa.
3. Continuar con el juego base pero permitiendo la comunicación entre los jugadores.
4. Declaración pública.
BIBLIOGRAFÍA
1. BARDHAN, P. (1993). Analytics of the Institutions of Informal Cooperation in Rural Development, World Development 21 (4), pp. 633-639. [ Links ]
2. CÁRDENAS, J. C., STRANDLUND, J. y WILLIS, C. (2000). Local Environmental Control and Institutional Crowding-Out, World Development 28 (10), pp. 1719-1733. [ Links ]
3. CÁRDENAS, J. C. y OSTROM, E. (2004).What do People Bring Into the Game? Experiments in the field about cooperation in the commons. Agricultural Systems, 82, pp.307-326. [ Links ]
4. CÁRDENAS, J. C. (2004). Regulaciones y normas en lo público y lo colectivo: Exploraciones desde el laboratorio económico. Documentos Cede, No. 37, Universidad de Los Andes-CEDE. [ Links ]
5. CÁRDENAS, J. C. y RAMOS, P. (2006). Manual de juegos económicos para el análisis del uso colectivo de los recursos naturales. Centro Internacional de la Papa, Lima: Proyecto Regional Cuencas Andinas CONDESAN - GTZ. [ Links ]
6. CASTILLO, D. y SAYSEL, A. (2005). Simulation of common pool resource field experiments: a behavioral model of collective action. Ecological Economics, Vol. 55, pp. 420-436. [ Links ]
7. CHÁVEZ, C. Y VITERI, C. (2004). Legitimacy, Local Participation, and Compliance in the Galapagos Marine Reserve. Econometric Society 2004 Latin American Meetings 168, Econometric Society. [ Links ]
8. FEENY, D., BERKES, F., MCCAY, B. y ACHESON J. (1990). The Tragedy of the Commons: Twenty-Two Years Later, Human Ecology 18(1), pp. 1-19. [ Links ]
9. HARDIN, G. (1968). The Tragedy of the Commons, Science Vol. 162, pp. 1243-1248. [ Links ]
10. LOZANO, Y. (2006). Racionalidad económica alrededor de la explotación de los recursos de uso común: el caso de los manglares de la costa pacifica nariñense. Tesis de Maestría de la Facultad de Economía, Universidad de los Andes. [ Links ]
11. MAYA, D.; CASTILLO, D.; RAMOS, P.; ROLDÁN, A. (2004). Análisis de la acción colectiva para el manejo de cuencas estudio piloto cuenca de la laguna de Fuquene. Universidad Javeriana, Colombia. [ Links ]
12. MURPHY, Y CÁRDENAS (2004). “An Experiment on Enforcement Strategies for Managing a Local Environmental Resource”, Journal of economic education, vol. 35, No. 1, pp. 47-61. [ Links ]
13. OSTROM, E. (1997). “Esquemas institucionales para el manejo exitoso de recursos comunes”, Gaceta Ecológica. No. 45, pp. 32-48. México: Instituto Nacional de Ecología, México. [ Links ]
14. OSTROM, E. (1998). A behavioral approach to the rational choice theory of collective action, American Political Science Review 92 (1), pp. 1-22. [ Links ]
15. OSTROM, E. (2000). El gobierno de los bienes comunes. La evolución de las instituciones de acción colectiva. Editorial Fondo de Cultura Económica. Edición en español. [ Links ]
16. OSTROM, E. (2006). “The value-added of laboratory experiment for study of institutions and common-pool resources”, Journal of Economic Behavior & Organization Vol. 611, pp. 149-163. [ Links ]
17. SINGLETON, S. (2000). “Co-operation or capture? The paradox of co-management and community participation in natural resource management and environmental policy-making”, Environmental Politics, Vol.9, No. 2. [ Links ]
18. VARGAS, S. C. (2006). La laguna de Fuquene: entre lo individual y lo colectivo. Tesis de Maestría de la Facultad de Economía, Universidad de los Andes. [ Links ]
19. VÉLEZ, M. A, STRANLUND, J. K., Y MURPHY J. J. (2005). What Motivates Common Pool Resource Users? Experimental Evidence from the Field. Working Papers 2005-4, University of Massachusetts Amherst, Department of Resource Economics. [ Links ]
Recibido: junio 28 de 2007 Aprobado: octubre 04 de 2007
* Este trabajo es un producto de la tesis de maestría “Estrategia colectiva para el uso sostenible de los recursos arrecifales en el Parque Nacional Natural Corales del Rosario y San Bernardo (PNN-CRSB)”, la cual fue desarrollada por Juan David Osorio bajo la modalidad de joven Investigador Universidad de Medellín – Universidad de los Andes.













