Services on Demand
Journal
Article
Indicators
-
Cited by SciELO -
Access statistics
Related links
-
Cited by Google -
Similars in
SciELO -
Similars in Google
Share
Agronomía Colombiana
Print version ISSN 0120-9965
Agron. colomb. vol.28 no.2 Bogotá May/Aug. 2010
Nomogramas para ensamble y uso de la Inyectora Unidrench® de dispositivo venturi
Operation setting nomograms for Unidrench® venturi injector
Roberto Villalobos1, 2 y Emmy Montoya1
1 Departamento de Agronomía, Facultad de Agronomía, Universidad Nacional de Colombia, Bogotá (Colombia).
2 Autor de correspondencia. rvillalobosr@unal.edu.co
Fecha de recepción: 17 de agosto de 2009. Aceptado para publicación: 28 de julio de 2010
RESUMEN
El término drench se refiere a la incorporación al suelo de un agroquímico en solución con el riego. Basada en un dispositivo venturi, Unidrench® es una inyectora desarrollada para aplicar este tipo de productos en áreas cultivadas en camas con especies como flores, hierbas aromáticas, hortalizas, etc. Operando con cualquier hidrante que suministre agua a presión, la inyectora permite realizar aplicaciones eficientes a través de sistemas de riego manual con manguera, empleando boquillas denominadas de acuerdo a su forma como cacho, codo, poma, flauta, y otras. Como las especificaciones del equipo se ajustan según las necesidades del usuario, el objetivo de esta investigación consistió en la caracterización hidráulica de la inyectora Unidrench® y la construcción de sus nomogramas de desempeño. En el Laboratorio de Hidráulica de la Universidad Nacional de Colombia, sede Bogotá, se probaron diferentes especificaciones, así: i) para cinco tipos de boquilla (descarga libre, cacho doble, flauta y poma doble de 400 y 1.000 huecos,) se determinaron tanto caudales de riego como de inyección; ii) se probaron dos longitudes (50 y 75 m) de manguera de PVC; iii) tanto en esta última como en los inyectores venturi que utiliza el sistema se ensayaron diámetros de 1,9 y 2,54 cm (¾ y 1 pulgada); y iv) los reguladores de presión se evaluaron a seis niveles diferentes (15, 20, 25, 30, 35 y 40 PSI). Para facilitar la utilización del equipo se incluyen sus instrucciones de operación.
Palabras clave: fertirrigación, venturi, riego manual, drench.
ABSTRACT
The term drench addresses the application of an agrochemical dissolved in irrigation water to the soil. Unidrench® is a venturi based portable injector, useful to drench small to big areas cultivated in beds with species such as flowers, aromatic herbs, vegetables, etc. When connected to any type of hydrant supplying pressurized water, the injector allows efficient manual drenching by hose, making use of diverse nozzle shapes such as the horn, elbow, knob and flute, among others. Provided that this equipment's specifications can be adjusted to fit particular user needs, the current research study sought to develop the hydraulic characterization of Unidrench®, and to establish its performance nomograms. Hence, at the Hydraulics Laboratory of the Faculty of Engineering of Universidad Nacional de Colombia, the following equipment features were tested: (i) injection and irrigation flows for free discharge, double horn, flute and 400 and 1,000 hole double knob nozzle types; (ii) two different PVC hose lengths (50 and 75 m); (iii) both for the latter and for the venturi injectors of the system, two contrasting diameters (1.9 and 2.54 cm, equivalent to 0.75 and 1 inches, respectively); and (iv) six different pressure regulator levels (15, 20, 25, 30, 35 and 40 PSI). Technical operation instructions have been included to facilitate the use of the equipment.
Key words: fertigation, venturi, manual watering, drench.
Introducción
El sistema de riego manual consta de una manguera de PVC flexible conectada a un hidrante que suministra agua a presión. Los diámetros y las longitudes de la manguera varían, así como las boquillas instaladas a la salida, según las preferencias del usuario.
En el lenguaje de los cultivos bajo invernadero en Colombia, el término drench se usa para referirse a la incorporación al suelo de un agroquímico en solución con el agua de riego (Villalobos, 2006). La Unidrench® es una inyectora portátil para drench, operada con el sistema de riego manual de cacho, codo, poma, flauta, etc. Se conecta a cualquier tipo de hidrante que suministre agua a presión. Está basada en el principio hidráulico del venturi (Villalobos, 2002). El venturi es un dispositivo que no es costoso, resulta fácil de operar y es suficientemente preciso para fertirriego (Hanson, 2004). La tasa de inyección es constante si el flujo motriz se mantiene, por lo cual la concentración de la mezcla final también es constante (Irrigation Association, 2000). La proporcionalidad de la inyección depende de la homogeneidad de las presiones y de la estabilidad del caudal (Fernández, 2000). El venturi es de fácil mantenimiento, apropiado para bajos caudales de inyección ajustables y controlables mediante una válvula dosificadora (Calder y Burt, 2007). La Unidrench® es útil para drenchar desde pequeñas hasta grandes áreas en especies cultivadas en camas, como flores para exportación, hierbas aromáticas, hortalizas, etc. (Villalobos, 2004).
La inyectora Unidrench® es un equipo para drenchar a bajo costo desde fracciones de una cama de cultivo hasta el número total de camas dentro del área de influencia de un hidrante. Es portátil porque se ensambla con acoples rápidos de uña o válvulas hidrantes con bayoneta, de común uso en riego, y se puede desplazar hacia sucesivos hidrantes para cubrir eficientemente grandes áreas. Se ensambla con materiales e instrumentos plásticos de alta resistencia y bajo peso (Villalobos, 2004).
En la inyectora Unidrench® el venturi crea la succión necesaria para inyectar la solución agroquímica e incorporarla al agua de riego. La mezcla es homogénea gracias a la alta turbulencia. El venturi es fabricado con materiales plásticos y no tiene partes móviles (Burt, 1995). El regulador de presión garantiza presión constante de operación para asegurar caudales estables, tanto de riego como de inyección, independientemente de los altibajos de presión de la red. La manguera de riego más utilizada es de 2,54 cm de diámetro y 50 m de longitud. La Unidrench® opera con diferentes tipos de boquilla. Las más comunes son cacho, codo, poma y flauta. En la Fig. 1 se resumen e identifican las principales partes que conforman la inyectora Unidrench®. En la Fig. 2 se esquematiza la forma sugerida de instalación y operación. La inyectora Unidrench® fue diseñada dentro de un proyecto de extensión de la Facultad de Agronomía de la Universidad Nacional de Colombia, sede Bogotá. La Superintendencia de Industria y Comercio de Colombia otorgó la patente de modelo de utilidad Resolución 34439/2003.
Marco de referencia operativo
Para ensamblar la Unidrench® se emplearon dispositivos hidráulicos de alta precisión y calidad (Villalobos, 2003). En las Figs. 1 y 2 se observa el sistema acoplado, que incluye: hidrante, tramo de manguera, inyectora y manguera de riego manual con boquilla. Tanto el regulador de presión como el venturi tienen flechas que indican la dirección correcta del flujo de agua.
La inyectora Unidrench® fue diseñada para alimentar una sola manguera de riego. No se recomienda conectar dos mangueras simultáneas a la misma inyectora, porque hidráulicamente una afecta a la otra y viceversa y se pierde el control logrado aguas arriba de la manguera de riego y con afectación de la uniformidad en la aplicación (Reed, 1996).
Componentes y operación
Tramo de manguera
Previene daños sobre la inyectora o el hidrante por movimientos bruscos del operario. Mide entre 2 - 4 m de acuerdo con la forma de operación preferida en campo. Se debe colgar en la estructura de madera ubicada en la cabecera de la cama de cultivo, para lograr una máxima protección de la Unidrench® y manejarla en óptimas condiciones de comodidad, visibilidad sobre los manómetros y buen alcance manual sobre la válvula ajustadora de caudal (Fig. 2).
Calibración
Se calibra la inyectora para las condiciones y características del riego manual en campo. Solo es necesario calibrar una vez, siempre y cuando no se modifique luego ninguna de las características y condiciones del riego manual.
Cada inyectora Unidrench® tiene su propia personalidad hidráulica como conjunto ensamblado, y pueden existir sutiles diferencias originadas por el desempeño individual de cada uno de los dispositivos que la conforman. En fincas donde se utilizan varias inyectoras, se recomienda calibrar individualmente cada una, así correspondan al mismo modelo.
La calibración requiere emplear la misma manguera, así como la misma boquilla (poma, flauta, cacho, codo, etc.), que se utilizará con la inyectora. Se inicia la calibración con la válvula de bola y la válvula dosificadora completamente abiertas, permitiendo la circulación de agua desde el hidrante. Se emplea agua de buena calidad, limpia y libre de residuos. Se verifica que la presión registrada en el manómetro de entrada corresponda a la presión nominal del regulador de presión. Si la presión es menor se reduce, progresivamente, el número de mangueras de riego manual que estén operando simultáneamente en la misma red, hasta lograr la presión de entrada requerida por el regulador. En otros casos será necesario cerrar parcial o totalmente el retorno de la motobomba de riego (si lo hubiere), para garantizar el nivel de presión adecuado en el manómetro de entrada (Tarjuelo, 1993).
Calibración y aforo del caudal total de riego
Una vez confirmada la presión de entrada, se cierra progresivamente la válvula ajustadora de caudal, hasta que este sea el requerido y se verifica mediante aforo. El caudal de riego se reduce a medida que se va cerrando la válvula ajustadora. El manómetro de salida registra la disminución en la presión, mientras el manómetro de entrada registra una presión constante igual a la nominal del regulador. Se lee la presión registrada por el manómetro de salida, a la cual corresponde un único caudal total de riego.
Registros o válvulas en la manguera de riego
Al adoptar la inyectora Unidrench® como herramienta de trabajo, se recomienda retirar cualquier registro acoplado a la punta de la manguera de riego. No es necesario utilizarlo puesto que el regulador de presión garantiza un caudal de riego constante, independientemente de las variaciones de presión en el hidrante. Operar con registro aguas abajo de la inyectora tiene el riesgo de ocasionar poca uniformidad en la aplicación.
Calibración y aforo del caudal de inyección
Para generar caudal de inyección es necesario que la válvula ajustadora de caudal esté parcialmente cerrada, o en algunos casos totalmente cerrada. Sólo después de definir el caudal total de riego, se procede a aforar el caudal de inyección. Se usa una probeta o balde graduado, iniciando con la válvula dosificadora totalmente abierta (posición 5). Para familiarizarse con el desempeño del equipo, inicialmente se recomienda aforar usando agua. Posteriormente se debe verificar la calibración con la solución madre real, porque si varía la densidad, varía el caudal de inyección.
Ajuste del caudal de inyección y relación de inyección
Para reducir el caudal de inyección se cierra progresivamente la válvula dosificadora, hasta lograr la inyección deseada.
La válvula dosificadora tiene un cilindro interno con paso excéntrico, que permite paso amplio para la solución madre en el rango de las posiciones I5 a I2¼ (Fig. 4). Siempre que sea posible es recomendable trabajar con una solución madre de baja concentración, en posición de inyección 5, así el volumen total de solución madre por preparar sea un poco mayor en comparación con la posición I2¼. De esta forma es más segura la operación de la válvula dosificadora, y se logra una óptima uniformidad en la aplicación.
Una vez activada la inyección, la solución madre requiere muy corto tiempo para fluir desde el tanque hasta la boquilla. El tiempo de viaje es de aproximadamente 30 s, con un caudal total de riego de 1 L s-1, en una manguera de 2,54 cm y 50 m de longitud. Al eliminar el monitoreo de la inyección desde la caseta de bombeo, no se precisan colorantes (Villalobos, 2002).
Solución madre
Con base en los aforos de caudal total e inyección, se establecen los parámetros de preparación de la solución madre. Se utilizan siempre productos altamente solubles en agua.
Operación de rutina
Para obtener condiciones de desempeño constantes se verifica que la presión en el manómetro de salida permanezca estable. La inyectora se opera siempre con la misma posición de cierre de las válvulas ajustadora de caudal y dosificadora.
Recalibración por cambios
Si por cualquier razón se cambia la longitud o el diámetro de la manguera, se cambia la boquilla o modifica el caudal total de riego, se deben repetir todos los pasos de calibración.
Variación de la relación de inyección
Si para preparar la solución madre se emplea un tanque de polietileno de 250 L, la altura del tanque es del orden de 80 cm. Para esta altura, el caudal de inyección con tanque lleno es mayor que con tanque casi vacío. ¿Qué tan diferente? Si se inicia con tanque lleno a una tasa de inyección de 1,2 L min-1, cuando el tanque está casi vacío registra una inyección de 1,1 L min-1. El cálculo corresponde a: (7,6 m – 0,8 m)/7,6 m = 0,89. Ahora, 0,89 multiplicado por 1,2 L min-1 = 1,1 L min-1. La variación es inferior al 10%. Al considerar necesario corregir esta variación, se recomienda ajustar manualmente con la válvula dosificadora, fraccionando los 80 cm en dos mitades. En la primera mitad, de 80 a 40 cm, la válvula dosificadora estará un poco más cerrada que en la segunda mitad, de 40 cm hasta el final. Ensayos de prueba y error definen las posiciones exactas. La cifra de 7,6 m en la fórmula corresponde aproximadamente a la presión atmosférica en la Sabana de Bogotá.
Revisión periódica
Revise periódicamente que la presión en el manómetro de entrada coincida con la presión nominal del regulador de presión. Si es menor, verifique si se está operando simultáneamente un número excesivo de mangueras de riego manual en la misma red. La situación se corrige de inmediato.
No se deben emplear herramientas para ajustar piezas o partes roscadas flojas. Se ajustan suavemente con la fuerza normal de las manos. Cuando sea necesario ajustar abrazaderas, se recomienda utilizar destornillador aplicando poca fuerza.
Cheque de seguridad contra presiones positivas
El cheque del inyector venturi, ubicado en la entrada de la garganta de inyección, debe estar en perfecto estado. Esto es importante porque evita el retorno de agua hacia la solución madre en escenarios con presiones hidráulicas positivas, previniendo alterar su concentración. El cheque consta de resorte de Hastelloy-C® (Haynes International, Inc., Kokomo, IN), esfera de teflón y empaque de caucho. Se debe cambiar el cheque por uno nuevo en caso de desgaste. Como norma de mantenimiento se recomienda cambiarlo cada seis meses. Se deben mantener en existencia repuestos de cheque, para atender casos de emergencia.
Equipos especiales
El modelo corriente de la inyectora Unidrench® utiliza venturi fabricado en polipropileno, indicado para la mayoría de agroquímicos. Para productos químicos de uso agrícola, como ácido sulfúrico, ácido nítrico, cloro o yeso, se debe solicitar un venturi fabricado en Kynar® - PVDF (Arkema, Philadelphia, PA), extremadamente resistente a los productos mencionados.
El objetivo del presente trabajo de investigación fue generar los nomogramas de desempeño hidráulico de la inyectora Unidrench® con los cuales se identifican los diferentes escenarios de operación y se seleccionan los dispositivos pertinentes para el ensamble del equipo.
Materiales y métodos
Este trabajo se realizó en el Laboratorio de Hidráulica de la Facultad de Ingeniería de la Universidad Nacional de Colombia, en Bogotá, el cual dispone de motobomba eléctrica e infraestructura complementaria para pruebas hidráulicas.
Para el desarrollo de la investigación se emplearon diferentes tipos de boquillas, construidas con tubería de PVC de 2,54 cm. Los brazos de todas las boquillas tenían una longitud de 1,20 m y fueron representativas de las utilizadas en campo (Fig. 3).
Caracterización hidráulica del sistema manguera - boquilla
Se caracterizó hidráulicamente el sistema de riego manual empleando mangueras de PVC flexible de diferentes diámetros y longitudes, con la evaluación individual de cada una de las boquillas (descarga libre, cacho doble, poma doble de 400 huecos, poma doble de 1.000 huecos y flauta), para las presiones usuales de trabajo en campo. Se aforó el caudal para los escenarios descritos en la Tab. 1 y se generaron las ecuaciones de cada uno de los sistemas con el fin de facilitar al usuario la identificación de la presión de trabajo (Giles et al., 1994).
Para el aforo se utilizó una báscula Toledo® de 500 kg (Mettler-Toledo S.A.E., Barcelona, España), un tanque con capacidad de 150 kg y salida lateral para descarga (Leal et al., 2002).
El proceso se inició operando la motobomba de 14,9 kW que proporcionó una presión de 275,8 kPa (40 PSI), ideal para los escenarios del ensayo (SIHI, 1980). Con el registro que alimenta el sistema manguera - boquilla se ajustó la presión, midiéndola con el manómetro ubicado antes de la entrada al sistema. Se leyeron pesos inicial y final en la báscula, cronometrando 1 min (Shames, 1995). La diferencia de estos pesos determinó el caudal en L s-1 para cada una de las presiones con los distintos tipos de diámetro y longitud de manguera, y tipo de boquilla (Tab. 1).
La ecuación correspondiente a cada uno de los sistemas manguera - boquilla se generó mediante regresión potencial a través de Excel® (Microsoft Corporation, Washington DF.).
Caracterización hidráulica del sistema inyectora Unidrench® - manguera - boquilla
Se empleó la inyectora Unidrench®, acoplada a la entrada de la manguera de riego. Se usaron reguladores de presión Senninger® (Senninger Irrigation, Inc., Clermont, FL) de 15, 20, 25, 30, 35 y 40 PSI (Tab. 2). La selección de los inyectores venturi utilizados se basó en la información suministrada por Mazzei®, que confirmó que los modelos 584 y 878 son de mejor eficiencia, con 18 y 16%, respectivamente, entre los seis modelos disponibles para los diámetros de 1,9 y 2,54 cm. La eficiencia está expresada como la habilidad para crear un vacío con el mínimo porcentaje de diferencial de presión (Mazzei Inyector Corporation, 1990).
Con el manómetro dispuesto a la entrada del sistema inyectora Unidrench® - manguera - boquilla se monitoreó la presión. Por ejemplo, si el regulador era de 15 PSI, dado que su función es regular la presión y mantenerla constante, la presión de alimentación fue de 20 PSI. El proceso se inició con la válvula ajustadora de caudal (Fig. 1) completamente cerrada, para que la totalidad del agua de riego fluyera a través del inyector (flujo motriz). El caudal de inyección fue aforado con la probeta, simulando el tanque de solución madre (Boswell, 1989; Cadahía, 2005).
Con la válvula ajustadora de caudal completamente cerrada se estableció la presión inicial. Progresivamente se fue abriendo hacia puntos definidos de presión, verificados en el manómetro de salida, para los cuales se aforó tanto el caudal total de riego del sistema como el caudal de inyección. Inmediatamente antes de que cesara la inyección se registró la presión final.
Para el aforo de los caudales de inyección se utilizaron las posiciones 5 y 2¼ (I5 e I2¼) de la válvula dosificadora (Fig. 4). I5 ofrece flujo total de inyección, mientras I2¼ reduce el paso de inyección sin riesgo de obstrucción. Para estos ensayos se emplearon las boquillas de descarga libre y cacho doble.
Resultados y discusión
Caracterización hidráulica del sistema manguera - boquilla
Los aforos realizados mostraron que el caudal de riego no difiere significativamente entre los diferentes sistemas manguera - boquilla ensayados (Tab. 1), para iguales valores de presión. La razón de este comportamiento se fundamenta en que las boquillas hidráulicamente ofrecen un patrón de descarga libre. Por ejemplo, la poma denominada 1.000 huecos posee una lámina con 1.005 orificios, cada uno de 0,5 mm de diámetro, distribuidos uniformemente en un área de 17 cm2, ofreciendo mínima resistencia al flujo, lo cual, en términos prácticos, es semejante a descarga libre. Situación similar ocurre con la poma denominada 400 huecos, en la cual sobre el mismo tamaño de área el número total de agujeros disminuye a menos de la mitad, 396 orificios, condición compensada con el doble de diámetro de orificio, en comparación con la poma de 1.000 huecos.
Luego se graficó la curva de caudal en función de presión. Cada punto sobre las curvas (Figs. 5 y 6) corresponde al promedio de los caudales obtenidos para la misma presión con las diferentes boquillas ensayadas. Se incluyó la desviación estándar y la ecuación de regresión respectiva. Los altos valores de R2 obtenidos indican un excelente nivel de ajuste al modelo de regresión potencial.
Previa identificación del diámetro y de la longitud de la manguera de riego de PVC flexible, el usuario puede usar las curvas de las Figs. 5 y 6 para determinar el caudal de riego en función de la presión, o viceversa. En la Tab. 3 se encuentra las ecuaciones resultantes.
Caracterización hidráulica del sistema inyectora Unidrench® - manguera - boquilla
Una vez identificados caudal y presión del sistema manguera - boquilla, se realizó la caracterización hidráulica integral del sistema inyectora - manguera - boquilla.
Se encontró que la inyección registró el mayor valor con la válvula ajustadora de caudal totalmente cerrada. Este comportamiento se explica porque en esta condición la totalidad del caudal de riego fluye a través del cuerpo del venturi, por lo cual el flujo motriz es máximo.
Dentro de la válvula dosificadora existe un eje macizo con una perforación cilíndrica excéntrica de 87 mm2 de sección, que en posición I5 está enfrentada totalmente al flujo en el sentido longitudinal, por lo cual la resistencia es mínima, y se logra el caudal máximo de inyección. En posición I2¼, la perforación excéntrica está girada y ofrece una abertura de ingreso de tan solo 10 mm2, por lo cual la inyección es mínima.
Para los ensayos con diámetro de venturi (DV) de 2,54 cm, diámetro de manguera (DM) de 1,9 cm, longitudes de manguera (LM) de 75 m y 50 m y reguladores de presión de 20, 25, 30, 35 y 40 PSI (Tab. 4) no se registró inyección, debido a que los bajos caudales de flujo motriz fueron insuficientes para generar presiones negativas en la garganta del venturi.
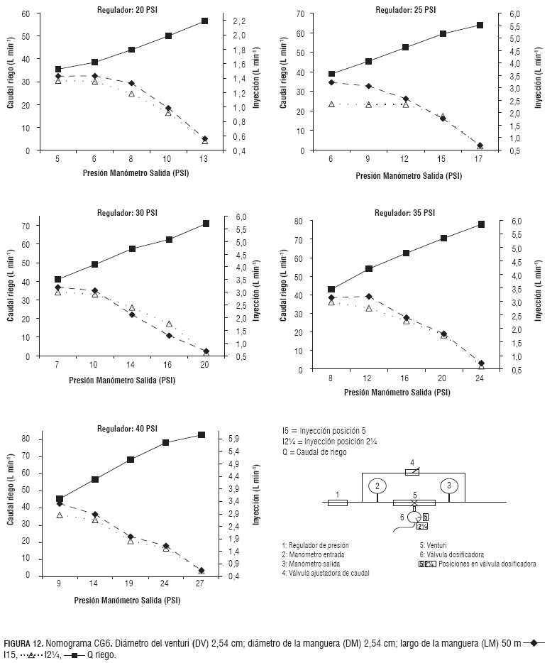
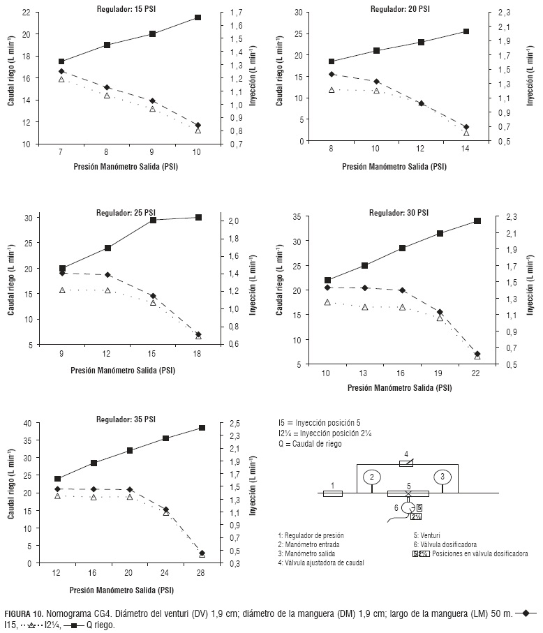
Para cada característica evaluada (diámetro de venturi, diámetro de manguera y longitud de manguera), se generó un conjunto de nomogramas (Figs. 7, 8, 9, 10, 11 y 12) a partir de los ensayos de laboratorio, compuesto por cinco nomogramas, en donde se observa el comportamiento de los caudales de riego e inyección para cada uno de los reguladores de presión.
Cuando el usuario ha identificado diámetro y longitud de la manguera (DM, LM), selecciona el nomograma (Figs. 7, 8, 9, 10, 11 y 12) que le indicará el diámetro de venturi (DV) para la inyectora Unidrench®. En seguida se identifica el regulador de presión, definido con la presión de trabajo del sistema manguera - boquilla, teniendo en cuenta que el regulador elegido debe corresponder a una presión nominal superior a la disponible en el sistema.
Análisis estadístico
Inicialmente se realizó el análisis estadístico a cada uno de los parámetros utilizados para la caracterización de la inyectora Unidrench® bajo el programa SAS® (SAS Institute Inc., Cary, NC), empleando el modelo de regresión múltiple con selección variable, mostrando que los parámetros diámetro de manguera (DM), longitud de manguera (LM), diámetro de venturi (DV) e inyección en posición I5 e I2¼ del dosificador son estadísticamente significativos para los datos tomados en laboratorio con un límite de confianza del 95%. Esto quiere decir que cada uno de estos componentes influye directamente en el dato registrado para la caracterización.
Debido a que en el primer análisis estadístico de los datos los R2 fueron muy bajos, fue necesario un segundo análisis para el cual se establecieron tratamientos individuales para cada una de las curvas de los CG, estableciendo un total de 90 tratamientos. Se realizaron las regresiones polinómicas [ecuación (5)].
y = ß0 +ß1X +ß2X2 (5)
Nuevamente se encontró que los datos son estadísticamente significativos y los R2 ajustados son mayores al 95%, con lo cual se puede afirmar que las curvas de caracterización de la inyectora Unidrench® reportadas en este trabajo representan correctamente su comportamiento hidráulico.
Ejemplo de uso del conjunto de nomogramas (CG):
1. Determinación de la presión de trabajo del sistema manguera - boquilla:
Si un sistema de riego manual suministra un caudal de 53 L min-1, con diámetro de manguera (DM) de 2,54 cm y longitud de manguera (LM) 50 m con cualquiera de las boquillas descritas en la Tab. 1, se despeja la presión de trabajo de la ecuación (4) (Tab. 3).
Q = 16,329 p0,5109 → p0,5109 = Q/16,329 → p = (Q/16,329)1/0,5109, es decir que, p = (Q/16,329)1,9573 → p = (53/16,329)1,9573 → p = (3,368)1,9573 = 10,02 ≈ 10 PSI
Los 10 PSI corresponden a la presión del manómetro de salida (Fig. 2), al operar el sistema manguera - boquilla con la inyectora Unidrench®.
Posteriormente, para las características de manguera descritas, la Tab. 4 recomienda al usuario utilizar bien sea CG2 o CG6 con el diámetro de venturi (DV) 1,9 o 2,54 cm, respectivamente.
Los CG2 proponen usar el DV de 1,9 cm en la Unidrench® con DM 2,54 cm y LM 50 m. Al ubicar la presión de trabajo del sistema manguera - boquilla (10 PSI) como "Presión Manómetro Salida (PSI)" sobre el eje horizontal de cada uno de los nomogramas, al cortar la curva de caudal de riego se lee dicho caudal en el eje vertical izquierdo. Al cortar las curvas de las posiciones I5 e I2¼, en el eje vertical derecho se identifica la inyección del venturi con válvula dosificadora en posición I5 o I2¼. Similar procedimiento se efectúa con CG6.
En los nomogramas de CG2, los caudales de riego leídos para los reguladores de 15, 20, 25, 30 y 35 PSI fueron 49, 48, 49, 48,5 y 48 L min-1, respectivamente, evidenciando una disminución promedio aproximada de 8,5% en comparación con el aforo del sistema manguera - boquilla. Esta reducción se explica porque la lectura de 10 PSI en el sistema inyectora Unidrench® - manguera - boquilla se realizó en el manómetro de salida (Figs. 1 y 2), antes de la pérdida de presión causada por el encuentro de los flujos provenientes de las tuberías en paralelo que incluyen la válvula ajustadora de caudal y el venturi, sumada a la caída de presión aguas abajo por la reducción de diámetro del acople rápido de uña o la válvula hidrante (Figs. 1 y 2). La reducción del 8,5% en el caudal beneficia al usuario, dado que un caudal ligeramente menor en comparación con el aforo del sistema manguera - boquilla previene escurrimientos hacia el camino entre camas, favoreciendo una efectiva aplicación vía drench.
Para comprobar las cifras de los CG2 se aplicó en campo una solución agroquímica a 40 camas de cultivo usando la inyectora Unidrench® con inyector venturi de 1,9 cm, más manguera de riego de 2,54 cm de diámetro y 50 m de longitud. Se definió 3 min el tiempo de riego por cama, totalizando un tiempo de riego de 120 min. Con regulador de 15 PSI la inyección fue de 0,45 L min-1, reportado por los nomogramas de CG2, lo cual obligó a concentrar la solución madre en un volumen de 54 L. Cuando se empleó la Unidrench® con regulador de 20 PSI, el caudal de inyección fue de 1,2 L min-1, con lo cual fue necesario preparar una solución madre de 144 L, condición más favorable en un contexto operativo (Tab. 5). Con reguladores de 25, 30 y 35 PSI, el incremento en la inyección fue mínimo, comportamiento corroborado por los nomogramas de CG2.
Los nomogramas CG6 proponen usar el DV de 2,54 cm con la Unidrench®. Se leyeron los caudales de riego e inyección de igual forma que con CG2. Los caudales de riego para reguladores de 20, 25, 30, 35 y 40 PSI fueron de 50, 50,5, 49, 48,5 y 47,8 L min-1, respectivamente, con una reducción promedio de 7,2% respecto al caudal del sistema manguera - boquilla. En idénticas condiciones de la prueba de campo descrita en el párrafo anterior, con regulador de 20 PSI, la inyección fue de 0,98 y 0,92 L min-1 para posiciones en la válvula dosificadora I5 e I2¼, respectivamente. Con regulador de 25 PSI se registraron inyecciones de 2,8 y 2,3 L min-1 para posiciones en la válvula dosificadora I5 e I2¼, respectivamente. Para reguladores de 30, 35 y 40 PSI la inyección fue de 3,06, 3,10 y 3,20 L min-1, respectivamente en posición I5 de la válvula dosificadora (Tab. 5). Las variaciones con posición I2¼ de válvula dosificadora fueron mínimas respecto a I5, situación confirmada en los nomogramas CG6.
El usuario selecciona en la Tab. 5 el escenario que considere más conveniente para sus condiciones particulares de drench.
Conclusiones y recomendaciones
La Unidrench® facilita inyectar la solución agroquímica para drench aguas abajo de cualquier hidrante del sistema para riego manual con manguera, evitando el problema del método tradicional que consiste en efectuar la inyección desde la caseta de bombeo.
Se reduce el tiempo de trabajo en comparación con el uso de equipos motorizados, porque basta con preparar la solución madre concentrada en un tanque de bajo volumen. Al drenchar con equipos motorizados es necesario que el agroquímico esté listo como solución final, antes de iniciar la aplicación.
La Unidrench® favorece la eficiencia operativa y permite ahorro de mano de obra puesto que posibilita drenchar simultáneamente con diferentes soluciones agroquímicas, cada una con su respectiva inyectora, obviando el empleo de colorantes y evitando desperdicios y contaminación ambiental. Como el inyector venturi opera gracias a la energía del agua a presión, no se requiere consumo adicional de combustible, lubricante o energía eléctrica.
Los nomogramas desarrollados son una herramienta sencilla para que el usuario seleccione los aditamentos para ensamblar la inyectora Unidrench® con el fin de satisfacer necesidades específicas de fertirriego manual (drench). Además, permiten el análisis y la comparación de diversos escenarios de operación.
En el mercado, el venturi de 2,54 cm es aproximadamente 60% más costoso en comparación con el de 1,9 cm. Sin embargo es pertinente considerar que el venturi de 2,54 cm es más robusto y ofrece mejor resistencia. Es recomendable instalarle al venturi de 1,9 cm láminas metálicas a manera de armadura de protección contra golpes.
La presión disponible en la red de riego debe ser mayor que la nominal del regulador de presión. Por ejemplo, si la presión disponible en la red es del orden de 25 PSI, se selecciona un regulador de 20 PSI, para garantizar que el desempeño de la inyectora Unidrench® permanezca estable. Si la inyectora va a ser operada en hidrantes lejanos de la motobomba, debe verificarse la presión disponible en estos.
El usuario debe elegir el escenario que le permita la menor caída posible de presión entre las lecturas de los manómetros de entrada y salida (Figs. 1 y 2), con el objetivo de operar en un nivel favorable de eficiencia energética para la relación de inyección requerida.
Literatura citada
Boswell, M.J. 1989. Manual de diseño y manejo de sistemas de micro-irrigación. James Hardie Irrigation (Iberia), Sevilla, España. [ Links ]
Burt, C., K. O'Connor y T. Ruehr. 1995. Fertigation. Irrigation training and research center. Calif. Polytechnic State Univ., San Luis Obispo, CA. [ Links ]
Cadahía, C. 2005. Fertirrigación, cultivos hortícolas, frutales y ornamentales. 3a ed. Ediciones Mundi-Prensa, Madrid. [ Links ]
Calder, T. y J. Burt. 2007. Selection of fertigation equipment. Farmnote 35/2001. En: Department of Agriculture, Western Australia, http://www.agric.wa.gov.au/objtwr/imported_assets/content/hort/eng/f03501.pdf; consulta: junio de 2010. [ Links ]
Fernández, J.A. 2000. Infraestructura y automatización. Equipos automáticos de fertirrigación. pp. 265-268. En: Alarcón, A.L. (ed.). Tecnología para cultivos de alto rendimiento. Novedades Agrícolas, Murcia, España. [ Links ]
Giles, R.V., J.B. Evett y C. Liu. 1994. Mecánica de los fluidos e hidráulica. 3a ed. McGraw-Hill, Madrid. [ Links ]
Hanson, B. 2004. Injection devices for fertigation. Subtropical Fruit News 2000. En: Citrus Research, http://www.citrusresearch.com/documents/21804bb8-f36a-4bf7-9ae6-b5777c7e7c1a.pdf; consulta: junio de 2010. [ Links ]
Irrigation Association. 2000. Chemigation. Falls Church, VA. [ Links ]
Leal, H., J.C. González y A. Hernández. 2002. Fundamentos de física para ciencias agrícolas. Facultad de Ciencias, Universidad Nacional de Colombia, Bogotá. [ Links ]
Mazzei Inyector Corporation. 1990. Product catalog. 3th ed. Mazzei Inyector Corp., Bakersfield, CA. [ Links ]
Reed, D.W. 1996. A grower's guide to water, media, and nutrition for greenhouse crops. Ball Publishing, Batavia, IL. [ Links ]
Shames, I.H. 1995. Mecánica de fluidos. 3a ed. McGraw-Hill, Bogotá. [ Links ]
SIHI Group. 1980. Basic principles fot the desing of centrifugal pump installations. SIHI-Halberg, Ludwigshafen, Alemania. [ Links ]
Tarjuelo, J.M. 1993. La aplicación del agua con el riego y su evaluación. pp. 611-690. En: Santa Olalla Mañas, F.M. de y J.A. Juan Valero. Agronomía del riego. Ediciones Mundi-Prensa, Madrid. [ Links ]
Villalobos, R. 2002. Unidrench Inyectora económica para "drenchar" áreas problema. Riego y fertirrigación. pp. 327-329. En: Arenas, J. (ed.). Vademécum florícola y de cultivos afines. Ediciones Farmacéuticas de Colombia, Bogotá. [ Links ]
Villalobos, R. 2003. Logre un "drench" eficiente y económico con la Unidrench®. pp. 324-328. En: Arenas, J. (ed.). Vademécum florícola y de cultivos afines. Ediciones Farmacéuticas de Colombia, Bogotá. [ Links ]
Villalobos, R. 2004. Unidrench. Nuevo modelo de la inyectora portátil para "drench". Segunda parte: Información técnica para el sector floricultor. pp. 447-449. En: Arenas, J. (ed.). Vademécum florícola y de cultivos afines. Ediciones Farmacéuticas de Colombia, Bogotá. [ Links ]
Villalobos, R. 2006. Programación de riego y fertirriego y recirculación: experiencias con la inyectora Unidrench® en la floricultura colombiana. pp. 421-426. En: Flórez R., V.J., A.C. Fernández, D. Miranda L., B. Chaves C. y J.M. Guzmán P. Avances sobre fertirriego en la floricultura colombiana. Facultad de Agronomía, Universidad Nacional de Colombia, Bogotá. [ Links ]


















