Services on Demand
Journal
Article
Indicators
-
Cited by SciELO -
Access statistics
Related links
-
Cited by Google -
Similars in
SciELO -
Similars in Google
Share
Cuadernos de Geografía: Revista Colombiana de Geografía
Print version ISSN 0121-215XOn-line version ISSN 2256-5442
Cuad. Geogr. Rev. Colomb. Geogr. vol.24 no.2 Bogotá July/Dec. 2015
https://doi.org/10.15446/rcdg.v24n2.50213
DOI: http://dx.doi.org/10.15446/rcdg.v24n2.50213
Caracterización hidroclimatológica y morfométrica de la cuenca del río San Julián (estado Vargas, Venezuela): aportes para la evaluación de la amenaza hidrogeomorfológica
Caracterização hidroclimatológica e morfométrica da bacia do rio San Julián (estado Vargas, Venezuela): contribuições para a avaliação da ameaça hidrogeomorfológica
Hydroclimatological and Morphometric Characterization of the San Julián River Basin (Vargas, Venezuela): Contributions to the Evaluation of Hydrogeomorphological Threats
Williams Méndez*, Henry Pacheco**, Scarlet Cartaya***, Arismar Marcano****, Carolina León*****
Universidad Pedagógica Experimental Libertador, Caracas - Venezuela
* Profesor en Ciencias Naturales, Mención Ciencias de la Tierra y Magíster en Geografía, Mención Geografía Física, egresado de la Universidad Pedagógica Experimental Libertador, Instituto Pedagógico de Caracas (UPEL-IPC) (Venezuela). Doctor en Ciencias de la Ingeniería de la Universidad Central de Venezuela (UCV). Profesor agregado, en dedicación exclusiva, adscrito a la Cátedra de Geología del Departamento de Ciencias de la Tierra de la UPEL-IPC, en pregrado y posgrado. Investigador, miembro del Centro de Investigación "Estudios del Medio Físico Venezolano" (CIEMEFIVE). Miembro activo en el Programa de Estímulo a la Innovación e Investigación (PEII) del Ministerio del Poder Popular para Ciencia, Tecnología e Innovación (MPPCTI), en calidad de investigador tipo B. Tutor de trabajos de investigación de pregrado y de tesis de posgrado. Ponente en diversos eventos científicos y académicos en los ámbitos nacional venezolano e internacional. Autor y coautor de diversas publicaciones científicas en revistas especializadas de circulación nacional e internacional y de varios capítulos de libros. Coordinador del CIEMEFIVE. Miembro permanente de la Comisión Técnica del área Geografía en la Academia de Ciencias Físicas, Matemáticas y Naturales (ACFIMAN) de Venezuela.
Dirección postal: Av. Páez, Urbanización El Paraíso, 1020, Caracas, Distrito Capital, Venezuela. Correo electrónico: wmendez@ipc.upel.edu.ve
**Profesor de Ciencias Naturales, Mención Ciencias de la Tierra y Magíster en Geografía, Mención Geografía Física, egresado de la Universidad Pedagógica Experimental Libertador, Instituto Pedagógico de Caracas (UPEL-IPC) (Venezuela). Doctor en Ciencias de la Ingeniería de la Universidad Central de Venezuela (UCV). Profesor asociado, en dedicación exclusiva, adscrito a la Cátedra de Geodesia del Departamento de Ciencias de la Tierra de la UPEL-IPC, en pregrado y posgrado. Investigador, miembro del Centro de Investigación "Estudios del Medio Físico Venezolano" (CIEMEFIVE). Miembro activo en el Programa de Estímulo a la Innovación e Investigación (PEII) del Ministerio del Poder Popular para Ciencia, Tecnología e Innovación (MPPCTI), en calidad de investigador tipo C. Tutor de trabajos de investigación de pregrado y de tesis de posgrado. Ponente en diversos eventos científicos y académicos en los ámbitos nacional venezolano e internacional. Autor y coautor de diversas publicaciones científicas en revistas especializadas, de circulación nacional e internacional y de varios capítulos de libros.
Correo electrónico: hpacheco@ipc.upel.edu.ve
***Profesora en Ciencias Sociales, Mención Geografía y Magíster en Geografía, Mención Geografía Física, egresada de la Universidad Pedagógica Experimental Libertador, Instituto Pedagógico de Caracas (UPEL-IPC) (Venezuela). Doctora en Ciencias Sociales de la Universidad Central de Venezuela (UCV). Profesora asociada, en dedicación exclusiva, adscrita a la Cátedra de Geografía Física del Departamento de Geografía e Historia (UPEL-IPC), en pregrado y postgrado. Investigadora, miembro del Centro de Investigación "Estudios del Medio Físico Venezolano" (CIEMEFIVE). Miembro activo en el Programa de Estímulo a la Innovación e Investigación (PEII) del Ministerio del Poder Popular para Ciencia, Tecnología e Innovación (MPPCTI), en calidad de investigadora tipo B. Tutora de trabajos de investigación de posgrado. Ponente en diversos eventos científicos y académicos en los ámbitos nacional venezolano e internacional. Autora y coautora de diversas publicaciones científicas en revistas especializadas, de circulación nacional e internacional. Jefa de la Cátedra de Geografía Física de la UPEL-IPC.
Correo electrónico: scartaya@ipc.upel.edu.ve
****Profesora de Geografía e Historia, Magíster en Geografía, Mención Geografía Física, y candidata a Doctora en Educación Ambiental de la Universidad Pedagógica Experimental Libertador, Instituto Pedagógico de Caracas (UPELIPC) (Venezuela). Profesora agregada, en dedicación exclusiva, adscrita a la Cátedra de Hidrometeorología del Departamento de Ciencias de la Tierra de la UPEL-IPC, en pregrado y posgrado. Investigadora, miembro del Centro de Investigación "Estudios del Medio Físico Venezolano" (CIEMEFIVE). Miembro activo en el Programa de Estímulo a la Innovación e Investigación (PEII) del Ministerio del Poder Popular para Ciencia, Tecnología e Innovación (MPPCTI), en calidad de investigadora tipo A. Tutora de trabajos de investigación de pregrado. Ponente en diversos eventos científicos y académicos en los ámbitos nacional venezolano e internacional. Autora y coautora de diversas publicaciones científicas en revistas especializadas, de circulación nacional e internacional. Coordinadora del Programa Académico de Formación Docente de la Especialidad Ciencias de la Tierra de la UPEL-IPC.
Correo electrónico: amarcano@ipc.upel.edu.ve
*****Profesora en Ciencias de la Tierra, Magíster en Educación Ambiental y candidata a Doctora en Educación Ambiental de la Universidad Pedagógica Experimental Libertador, Instituto Pedagógico de Caracas (UPEL-IPC) (Venezuela). Profesora asistente, de tiempo completo, adscrita a la Cátedra de Instrumentación Didáctica del Departamento de Prácticas Docentes de la UPEL-IPC, en pregrado y posgrado. Investigadora miembro del Centro de Investigación "Estudios del Medio Físico Venezolano" (CIEMEFIVE). Miembro activo en el Programa de Estímulo a la Innovación e Investigación (PEII) del Ministerio del Poder Popular para Ciencia, Tecnología e Innovación (MPPCTI), en calidad de investigadora tipo A. Tutora de trabajos de investigación de pregrado. Ponente en diversos eventos científicos y académicos en el ámbito nacional venezolano. Autora y coautora de diversas publicaciones científicas en revistas especializadas, de circulación nacional e internacional. Correo electrónico: cleon@ipc.upel.edu.ve
Artículo de investigación sobre la caracterización de las condiciones hidroclimáticas y morfométricas de la cuenca del río San Julián, con el fin de considerar los aportes para la evaluación de la amenaza por crecientes y procesos de remoción en masa, en dicho sistema hidrológico.
Como citar este artículo: Méndez, Williams, Henry Pacheco, Scarlet Cartaya, Arismar Marcano y Carolina .León. 2015. "Caracterización hidroclimatológica y morfométrica de la cuenca del río San Julián (estado Vargas, Venezuela): aportes para la evaluación de la amenaza hidrogeomorfológica". Cuadernos de Geografía: Revista Colombiana de Geografía 24 (2): 133-156. DOI: 10.15446/rcdg.v24n2.50213.
Recibido: 17 de marzo de 2014. Aceptado: 16 de enero de 2015.
Resumen
Con base en eventos registrados de movimientos en masa y crecidas, ocurridos en la cuenca del río San Julián y activados por lluvias extraordinarias, se realizó una caracterización hidroclimatológica y morfométrica del sistema, como aporte a la evaluación de la amenaza hidrogeomorfológica. En la metodología se consideró la fotointerpretación geomorfológica, las mediciones y los cálculos de parámetros morfométricos, así como la estimación del tiempo de concentración, la caracterización del régimen pluviométrico y el análisis de eventos extremos de precipitación. La cuenca analizada es un sistema cuyas respuestas hidrológicas están determinadas por sus características morfométricas, lo cual se evidencia en su corto tiempo de concentración, debido a su ubicación en un ambiente montañoso, y a las magnitudes de los eventos extremos de precipitación.
Palabras clave: amenaza hidrogeomorfológia, cuenca de drenaje, estado Vargas, hidroclimatología, parámetros morfométricos.
Resumo
Com base em eventos registrados de movimentos em massa e cheias ocorridos na bacia do rio San Julián e ativados por chuvas extraordinárias, realizou-se uma caracterização hidroclimatológica e morfométrica do sistema, como contribuição para a avaliação da ameaça hidrogeomorfológica. Na metodologia, considerou-se a fotointerpretação geomorfológica, as medições e os cálculos de parâmetros morfométricos, bem como a estimativa do tempo de concentração, a caracterização do regime pluviométrico e a análise de eventos extremos de precipitação. A bacia analisada é um sistema cujas respostas hidrológicas estão determinadas por suas características morfométricas, o que é evidenciado em seu curto tempo de concentração devido à sua localização num ambiente montanhoso e às magnitudes dos eventos extremos de precipitação.
Palavras-chave: ameaça hidrogeomorfológica, bacia de drenagem, estado Vargas, hidroclimatologia, parâmetros morfométricos.
Abstract
To contribute to the evaluation of hydrogeomorphological threats, a hydroclimatological and morphometric characterization of the basin of the San Julián River was performed using recorded landslide and overflow events that occurred in this system after activation by extraordinary rainfalls. The study methodology included geomorphological photointerpretation, the measurement and calculation of morphometric parameters, the estimation of the time of concentration, the characterization of the pluviometric regime, and the analysis of extreme precipitation events. The analyzed basin is a system in which hydrological responses are determined by morphometric characteristics; this trait is evidenced by the short time of concentration that results from this system's location in a mountainous environment and by the magnitude of extreme precipitation events.
Keywords: hydrogeomorphological threat, drainage basin, Vargas state, hydroclimatology, morphometric parameters.
Introducción
El evento de aludes torrenciales ocurrido en Vargas, Venezuela, en diciembre de 1999, dejó en evidencia la vulnerabilidad, así como el riesgo en el que se encuentra la población y la infraestructura económica y residencial, asentada sobre los abanicos aluviales de las quebradas y ríos que drenan la fachada norte del macizo El Ávila y, en particular, para los sectores adyacentes a los cauces de agua principales, ante la ocurrencia de aludes torrenciales e inundaciones (crecidas) (figura 1). Esta situación se corroboró con las crecidas de diciembre del 2000 y de febrero del 2005, eventos cuyos daños fueron despreciables para la región, en comparación con el episodio de 1999, pero, advierte sobre la corta recurrencia de escenarios adversos de esta naturaleza.
Un escenario muy localizado, y que significa una amenaza latente para algunos sectores (La Chara, principalmente) de la parroquia Caraballeda (municipio Vargas del estado Vargas) ubicados en la cuenca del río San Julián en su parte baja, está representado por el deslizamiento desencadenado en el 2010 en la microcuenca de la quebrada La Chara (afluente del río San Julián) (figura 2). Aun cuando la masa de escombros desplazada aparenta estabilidad relativa, podría ser, eventualmente, reactivada con la ocurrencia de un evento de precipitaciones importantes.
Entre algunas de las contribuciones que se han realizado en esta dirección, podemos mencionar los trabajos realizados por Marcucci (2000), quien analizó los procesos catastróficos de dinámica sedimentaria ocurridos en diciembre de 1999 en la parte baja de la cuenca del río San Julián (zona de Los Corales), y propuso unas posibles acciones de remediación; y el análisis de Marcano y Cartaya (2012) sobre la distribución espacial de la susceptibilidad a los procesos de remoción en masa en la misma cuenca, con apoyo en la herramienta SIG.
Es necesario caracterizar a la cuenca de drenaje del río San Julián en sus aspectos hidroclimatológicos y morfométricos, con el fin de conocer los escenarios críticos de precipitaciones bajo los cuales pudiesen reactivarse y ocurrir nuevos episodios de procesos de remoción en masa, y respuestas hidrológicas agresivas, así como los elementos geométricos del sistema que condicionan dichas respuestas. Esta caracterización representa un insumo valioso, a posteriori, para la evaluación y la zonificación de la amenaza hidrogeomorfológica (crecientes y procesos de remoción en masa).
Entre otras consideraciones, esto permitiría tomar mejores decisiones respecto a las acciones preventivas y mitigantes que se deben diseñar y aplicar en lo social y lo estructural, para reducir y/o minimizar los impactos y los efectos de la ocurrencia de eventos adversos por procesos hidrogeomorfológicos en la cuenca del río San Julián.
Área de estudio
La cuenca del río San Julián está situada geográficamente en la región centro norte del territorio venezolano, específicamente en el sector central del estado Vargas, y se extiende sobre la vertiente norte del macizo El Ávila en su extremo occidental. Geoastronómicamente, se localiza en la zona intertropical y está definida por las siguientes coordenadas angulares: 10º32'25" -10º37'21" de latitud norte y 66º49'09" - 66º51'37" de longitud oeste (figura 3).
En cuanto a lo político-territorial, esta cuenca se circunscribe a la jurisdicción de la parroquia Caraballeda del municipio Vargas. Fisiográficamente, el área forma parte de la provincia orográfica cordillera de la Costa (Sistema Montañoso del Caribe) en su tramo central, emplazándose específicamente en el sector occidental de la vertiente norte de la serranía o macizo El Ávila (serranía del Litoral), por lo que, gran parte de su superficie, pertenece al Sistema de áreas Bajo Régimen de Administración Especial (ABRAE), bajo la figura de Parque Nacional "Waraira Repano" (Gaceta Oficial de la República Bolivariana de Venezuela 2010). Esta cuenca ocupa una superficie aproximada de 20,68 km2.
La litología está constituida por rocas metamórficas de las fajas tectónicas Asociación Metamórfica Ávila y Asociación Metamórfica La Costa, y por los depósitos fluviotorrenciales de los abanicos aluviales piedemontinos (Urbani y Rodríguez 2004; Urbani et ál. 2006). El relieve se caracteriza por presentar altitudes entre 0 msnm y 2.640 msnm, con pendientes entre 3% y > 45% que definen topografías contrastantes desde suave y moderada hasta abrupta. Los perfiles de meteorización son poco profundos, lo cual facilita la rápida saturación de estos en presencia de eventos de precipitaciones extraordinarias (Amundaray 2000; Grases et ál. 2000).
El clima, se manifiesta con temperaturas medias anuales de entre 24,3 °C y 26,1 °C en la parte baja del área, y de 17 °C en la parte alta (Instituto Nacional de Meteorología e Hidrología 2013a). El área está enmarcada en un sector de tipo climático Bshi (clima tropical estepario) para la parte baja (franja costera), y en uno de tipo Aw (clima tropical de sabana) para la parte alta (sector montañoso) de acuerdo con la clasificación de Köeppen (Foghin 2002); o de tipo climático semi-árido para la parte baja del área de estudio, y semi-húmedo para la parte alta (Andressen 2007).
La vegetación está conformada por: vegetación litoral, cardonales y espinares, bosque deciduo, bosque semideciduo, bosque transicional, bosque de galería y bosque húmedo (Amend 1991; Petróleos de Venezuela 1993; Steyermark y Huber 1978).
Las actividades económicas se sustentan en: construcción, comercio, minería e hidrocarburos, manufactura y administración pública (Marcano y Barrios 2001).
Metodología
La metodología comprendió, en primer lugar, la ejecución de un trabajo de campo en la parte baja de la cuenca del río San Julián, para observar y registrar información referente a evidencias de la dinámica del medio físico (depósitos, procesos de remoción en masa, condiciones de los cauces, entre otros). Se llevó a cabo una revisión e interpretación geomorfológica preliminar del área de estudio, apoyada en fotografías aéreas del sector (Misión 030602 a escala 1:5.000 de fecha 1999-2000, editadas por el Instituto Geográfico de Venezuela Simón Bolívar 1999-2000), e imágenes de Google Earth.
Se seleccionó y compiló, como fuente primaria de información, la cartografía base existente para el área (planos topográficos a escala 1:5.000 (1958) y cartas topográficas a escala 1:25.000 (1979) editados por la Dirección de Cartografía Nacional; y ortofotomapas a escala 1:25.000 (1995) editados por el Servicio Autónomo de Geografía y Cartografía Nacional, la cual fue digitalizada con apoyo en la herramienta tecnológica SIG (ArcGIS versión 9.0). Todo lo anterior permitió realizar la delimitación del área, el trazado del perímetro y el realce de la red de drenaje de la cuenca estudiada, con base en criterios topográficos e hipsométricos.
El ordenamiento y la jerarquización de la red de drenaje se ejecutaron con base en los criterios de Horton (1945) modificados por Strahler (1964). Se elaboraron perfiles topográficos longitudinales del cauce principal del río estudiado, con el empleo de hojas de cálculos del software Microsoft Excel. Las mediciones, cálculos y lecturas morfométricas básicas (lineales, areales, clinométricas y altitudinales) se hicieron empleando la misma plataforma SIG y la cartografía digitalizada, y el resto de los parámetros se estimaron a partir de las ecuaciones o expresiones matemáticas que los definen.
El tiempo de concentración de la cuenca en la salida del río San Julián en el frente de montaña (ápice del abanico aluvial) se estimó según la ecuación de Kirpich (1940):
Donde tc es el tiempo de concentración (min), L es la longitud el cauce principal (m) y S es la pendiente media del cauce principal (m/m). La velocidad media del flujo en el cauce principal se calculó en la misma sección hidráulica de interés (ápice del abanico), por medio de la ecuación:
Donde Vmf es la velocidad media del flujo (m/s o km/h), L es la longitud del cauce principal (m o km) y tc es el tiempo de concentración de la cuenca (s u h).
Se caracterizó el régimen pluviométrico anual para el área de estudio, utilizando información de montos totales mensuales y anuales de precipitación correspondientes a la estación Macuto, suministrados por el Instituto Nacional de Meteorología e Hidrología (2013a). Los datos faltantes en la serie, se estimaron mediante los métodos Sustitución por el Promedio y Racional (Guevara 1987), cuya en este último, es la siguiente:
Donde X es el dato faltante en la serie de precipitación. Posteriormente, se calcularon los estadísticos descriptivos de la serie: valor máximo, valor mínimo, promedio, desviación estándar y coeficiente de variación. Por último, se construyeron, como representaciones gráficas, el pluviograma de la estación Macuto, las series temporales, la tendencia de la precipitación, y las anomalías pluviométricas.
Para el estudio de los eventos extremos de precipitación, se realizó un análisis de frecuencia de profundidades de láminas máximas anuales de precipitación para distintas duraciones de la lluvia y distintos periodos de retorno, empleando información de la misma estación Macuto, suministrada por el Instituto Nacional de Meteorología e Hidrología (2013b), mediante el ajuste de la distribución de probabilidades de valores extremos tipo I (Gumbel 1941) según el método de Kite (1977) que comprende:
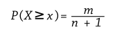
Probabilidad de excedencia (P(X ≥ x)):
Donde X es la magnitud probable esperada por excedencia respecto al valor histórico de la serie, x es la magnitud del valor histórico de la serie, m es el número de orden ascendente de arriba hacia abajo de cada valor de la serie histórica de profundidades de láminas máximas anuales de precipitación, y n es el número total de valores que constituyen la serie histórica.
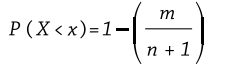
Probabilidad de no excedencia (P(X < x)):
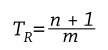
Donde P(X < x) es la probabilidad de no excendencia, X es la magnitud probable esperada por no excedencia respecto al valor histórico de la serie. Periodo de retorno (TR) (años)
Variable reducida YTR:
Donde Ln es el logaritmo neperiano. Factor de frecuencia (KTR ):
Donde YTR y STR representan a la media y a la desviación estándar, respectivamente, correspondientes a los valores de la variable reducida.
Ajuste Gumbel (XTR) (mm):
Donde Xm y Sx representan, respectivamente, a la media (mm) y a la desviación estándar (mm), correspondientes a los valores de profundidades de láminas máximas anuales de precipitación de la serie histórica. Por último, se realizó también el ajuste para periodos de retorno preestablecidos de 2, 5, 10, 25, 50, 100, 500 y 1.000 años, lo cual permitió estimar eventos extremos desde menores frecuencias hasta frecuencias más amplias. Luego se calculó el coeficiente de correlación entre los valores de profundidades de láminas máximas anuales de precipitación de la serie histórica y los valores simulados por el modelo Gumbel, para verificar la confiabilidad y/o bondad del ajuste correspondiente a cada duración de la lluvia.
Posteriormente, se calcularon las intensidades máximas anuales de precipitación para distintas duraciones de la lluvia, y para los periodos de retorno preestablecidos anteriormente, mediante la expresión matemática:
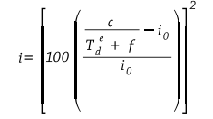
Donde i es la intensidad máxima anual de precipitación (mm/h) para una duración de la lluvia y un periodo de retorno dado; P es el valor de la profundidad de lámina máxima anual de precipitación (mm) correspondiente a la misma duración de la lluvia para la que se desea estimar la intensidad, y Td es dicha duración de la lluvia (h). A su vez, estos valores de intensidad se ajustaron y/o suavizaron, por medio de la aplicación de la ecuación de intensidad de la lluvia de Wenzel (1982):
Donde i es la intensidad máxima anual de precipitación (mm/h) para una duración de la lluvia y un periodo de retorno dado, Td es la duración de la lluvia (h), c, e y f son coeficientes que varían con el lugar y el periodo de retorno, e i0 es la intensidad máxima anual de precipitación (mm/h) para la misma duración de la lluvia y el mismo periodo de retorno dado, obtenida sin la aplicación de la ecuación de Wenzel. Cabe destacar que esta ecuación se aplicó para calibrar los valores de los coeficientes c, e y f. Con estos coeficientes calibrados se recalcularon las intensidades máximas anuales de precipitación aplicando nuevamente la ecuación de Wenzel, de la manera como se expresa:
A continuación, estos valores de intensidades máximas anuales de precipitación se transformaron nuevamente en profundidades de láminas máximas anuales de precipitación, mediante la expresión:
Con estos valores de profundidades de láminas máximas e intensidades máximas anuales de precipitación, según la ecuación de Wenzel, se construyeron las curvas de profundidad-duración-frecuencia (PDF) y de intensidad-duración-frecuencia (IDF). Por último se estimó la precipitación máxima probable con base en la ecuación de Hershfield (1971), según la ecuación:
Donde PMP es la precipitación máxima probable (mm), Xma y Sa son, respectivamente, la media y la desviación estándar de las profundidades de láminas máximas anuales de precipitación históricas para cada duración de la lluvia, y K un factor de frecuencia de diseño, el cual se fijó en 8.
Resultados
Morfometría de la cuenca y de la red de drenaje
Las magnitudes calculadas para los parámetros correspondientes a la variable escala de la cuenca, cuyas apreciaciones dependen precisamente de la escala de la base cartográfica utilizada para tales mediciones, en conjunto denotan un sistema hidrogeomorfológico de pequeñas dimensiones (tabla 1), que lo califican bajo la categoría de microcuenca.
La pequeña área de esta cuenca, por sí sola supone menores tiempos de concentración de la escorrentía superficial y mayor susceptibilidad a experimentar crecidas con hidrogramas de picos pronunciados y corta duración. Este valor areal también denota que la superficie fuente de contribución a la escorrentía superficial es pequeña, y que en presencia de una tormenta de extensión considerable, toda el área se activa y aporta agua, lo que favorece la generación de hidrogramas con las características mencionadas anteriormente.
Además del área, los valores de ancho y longitud de la cuenca (tabla 1) también sugieren un sistema de drenaje con mayor tendencia al crecimiento longitudinal que al lateral, lo cual puede interpretarse como una respuesta a la predominancia de la erosión regresiva del curso principal del río San Julián, sobre el trabajo erosivo de los cursos de agua que drenan perpendicular y oblicuamente hacia esta a lo largo de su canal, condicionado por una litología que ofrece poca resistencia a los procesos erosivos en la parte baja del sistema, el control de los patrones de fracturas y la pendiente topográfica regional de la vertiente norte del macizo El Ávila. Los valores del diámetro y del perímetro (tabla 1) de la cuenca también corroboran las pequeñas dimensiones de este sistema.
En el área, las alturas están comprendidas entre los 0 msnm (altitud mínima) que corresponde a la cota en la que desemboca el río San Julián directamente al mar, al este del saliente de Punta El Caribe y los 2.640 msnm (altitud máxima) en la vertiente norte de la silla de Caracas, entre los picos Oriental y Occidental. La diferencia entre estas dos alturas extremas definen un relieve máximo de 2.535 msnm y un radio del relieve de 340,27 msnm/km, que sugieren altitudes y pendientes significativas favorables a la génesis y a la activación de procesos erosivos y de transporte de materiales. El valor obtenido de altitud media (tabla 1) es indicador de que la altimetría predominante en el área es montañosa, con valores superiores a los 1.000 msnm. Estos contrastes altimétricos implican la predominancia de procesos erosivos y de generación de precipitaciones asociadas al ascenso orográfico forzado de masas de aire, y de procesos de transporte y depositación en la parte baja de la cuenca o zona de abanico aluvial.
bEl valor obtenido de pendiente media de la cuenca (tabla 1) también es alto, lo cual es de esperarse, por tratarse de un sistema emplazado en un sector montañoso, en contraste con la pendiente del área depositacional (abanico aluvial) en la parte baja de la cuenca, indicando la predominancia de procesos erosivos en la parte alta montañosa del sistema, y de transporte y depositación en su parte baja. La presencia de mayores alturas y elevados valores de pendientes en la parte alta de la cuenca condicionan menores tiempos de concentración, así como un mayor potencial erosivo y de arrastre de sedimentos.
En líneas generales, las pendientes topográficas en toda la cuenca del río San Julián oscilan entre 0% y≥ 45%. En el tramo final del curso del río, hacia su desembocadura, las pendientes están entre 0% y ≤ 10% correspondiéndose con una topografía de plana a suave. En el valle del río, las pendientes presentan valores entre 3% y 18%, correspondiéndose con topografías de medianas a accidentadas, y en el resto del sector montañoso de la cuenca las pendientes oscilan entre 18% y ≥ 45%, definiendo topografías accidentadas a muy fuertes.
El río San Julián recorre 8,30 km desde su naciente hasta su desembocadura, a lo largo del cual describe un perfil longitudinal que exhibe bruscos cambios de gradiente topográfico (figura 4), arrojando una pendiente media de 20%, condición que refleja el control litológico, estructural y del relieve en la morfología del mismo. La pendiente media del perfil y el fuerte contraste de pendiente entre sus segmentos, son indicadores de la alta probabilidad de este río a experimentar crecidas con hidrogramas de caudales de picos elevados y de corta duración, altas velocidades medias del flujo, mayor capacidad de transporte de materiales y menores tiempos de concentración.
Con relación al valor de concavidad (tabla 1) del perfil longitudinal del río, este indica un avanzado estadio de incisión o erosión vertical del flujo (figura 4), probablemente condicionado por el levantamiento tectónico del área y el consecuente rejuvenecimiento del relieve, y la poca resistencia de la litología aflorante a los procesos erosivos. Esto se corrobora con el valor obtenido de relieve máximo de la corriente principal, así como con los valores de factor topográfico, integral hipsométrica, coeficiente de masividad, coeficiente orográfico y número de rugosidad (véase tabla 1), los cuales son típicos de ambientes montañosos con relieves muy accidentados.
La expresión morfológica del trazado del perímetro de la cuenca sobre la base cartográfica de análisis, evidencia la forma alargada del sistema con una orientación hacia el noroeste. El valor de elongación indica la forma alargada con tendencia a una configuración rectangular; además este valor es representativo de cuencas emplazadas en relieves montañosos. Los valores del perímetro relativo de crenulación y del radio de crenulación, también indican una tendencia de la forma hacia el alargamiento. El valor del factor de forma es bastante bajo, lo que implica, de igual manera, una fuerte tendencia al alargamiento y bajas probabilidades de experimentar frecuentes crecidas, debido a que su forma no permite exponer toda su superficie al radio de acción de una determinada tormenta. Sin embargo, estas afirmaciones son relativas, ya que ello depende del tamaño o extensión de la tormenta, de la duración y de la intensidad, así como de las magnitudes extremas del fenómeno, considerando que se trata de un sistema hidrogeomorfológico bastante pequeño (véase tabla 1).
El coeficiente de compacidad muestra un valor (véase tabla 1) que define la forma como oval-oblonga a rectangular-oblonga, indicando que esta dista, en gran medida, de la circularidad, por lo que su probabilidad a experimentar crecidas frecuentes es baja, y los tiempos de concentración son mayores, en comparación con otra cuenca de igual área, pero de forma más circular. De cualquier modo, la probabilidad de que se presenten crecidas con hidrogramas de picos pronunciados y de corta duración es alta, aunado a las características del relieve ya discutidas. Por otro lado, la forma de la cuenca, según su índice de compacidad, tiende a producir hidrogramas de crecidas asimétricas, es decir, con tiempo, al pico desde el inicio de la crecida, mayor que el tiempo desde el pico a la recesión del hidrograma.
La red de drenaje está constituida por cauces o corrientes de agua de corto recorrido y régimen intermitente, con una longitud total de 140,49 km que, en conjunto, muestran un patrón de drenaje de tipo subdendrítico a subparalelo (figura 5). La existencia de sistemas de fracturas (diaclasas y fallas) y los desniveles topográficos entre bloques tectónicos, también ejercen control en la disposición y distribución de las corrientes que conforman la red de drenaje. El parámetro más importante en la definición de la extensión de un sistema de drenaje natural es su densidad que, para el caso que nos ocupa, este valor es de medio a alto (véase tabla 1) con una textura media. Entre los factores que la controlan en el área, el de mayor peso está representado por la alta susceptibilidad de la litología a los procesos erosivos, y otro factor es el fracturamiento del material.
La densidad de drenaje media en esta área indica que la mayor parte de la superficie de la cuenca experimenta escorrentía concentrada, por lo que es de suponer una alta tasa de erodabilidad en toda su extensión, inestabilidad morfogenética, gastos sólidos significativos, hidrogramas de picos elevados y reducidos tiempos de concentración, condicionados por las características del relieve (pendiente), el tamaño de la cuenca y las características (extensión, intensidad y duración de las lluvias) de las tormentas que las puedan generar. El coeficiente de mantenimiento del canal muestra un valor de medio a alto (véase tabla 1), lo que significa que por cada kilómetro de cauce existe un área de drenaje promedio de 0,15 km2, indicando la prevalencia de la escorrentía concentrada sobre la escorrentía laminar.
La cuenca del río San Julián corresponde a un sistema hidrogeomorfológico de orden 5 (tabla 2), siendo esta magnitud, de cierta manera, un indicador importante de la extensión y de la ramificación de la red de drenaje, considerando la pequeña superficie del sistema, así como de alta probabilidad a experimentar crecidas con hidrogramas de picos significativos. El 76,92% de las corrientes son de orden 1 (tabla 2), lo cual influye significativamente en la reducción de los tiempos de concentración de la cuenca en presencia de tormentas. La corriente principal de la red alcanza su orden 5 aproximadamente a los 500 msnm y a una distancia de 3,75 km de su salida en el frente montañoso, lo que significa que, en presencia de una crecida, este alcanza caudales pico importantes desde su curso bajo encajado en un cañón montañoso, el cual capta las aguas de la mayor parte del área de recepción de lluvias en el sector montañoso. El coeficiente de torrencialidad (tabla 2) muestra un valor bastante alto, lo que indica una elevada susceptibilidad a la erosión lineal, así como tiempos de concentración o de respuesta de la cuenca muy cortos.
La relación de bifurcación entre los distintos órdenes de corrientes de la red de drenaje es bastante uniforme en todo el sistema, con un valor de relación de bifurcación media de 4,36 (tabla 2), que señala alta probabilidad de experimentar crecidas con caudales pico importantes. Los valores de relación de longitud media y de pendiente media también corroboran lo afirmado anteriormente.
Tiempo de concentración y velocidad media del flujo
Según los resultados, en el ápice del abanico, el tiempo de concentración es de 30,68 min, con una velocidad promedio del flujo de 16,23 km/h. Este tiempo de concentración estimado corrobora las afirmaciones que, sobre este parámetro, se realizaron a partir del análisis de las características morfométricas de la cuenca, a la vez que tales magnitudes tienen correspondencia con la morfología y la geometría del sistema hidrológico de interés en este estudio.
El tiempo de concentración estimado es bastante corto, correspondiéndose con un valor crítico que supone el tiempo de arribo de una crecida a la sección de referencia (ápice del abanico, 105 msnm), a partir del cual, hacia la línea de costa y bordeando el cauce principal del río San Julián sobre los depósitos torrenciales del abanico aluvial, se asienta gran parte de la población de la parroquia Caraballeda del estado Vargas.
Régimen de distribución temporal de las precipitaciones
Las precipitaciones en general en el área son escasas, con totales anuales que apenas superan los 200 mm en todos los casos, oscilando entre valores de 1.008,2 mm y 248,7 mm. Tales montos anuales determinan categorías pluviométricas semiáridas a semihúmedas para la parte baja del área (con base en información pluviométrica de la estación Macuto, la cual es la más cercana al área de interés, ya que la estación Caraballeda no cuenta con información de totales mensuales y anuales de lluvia), y se clasifican como tipos pluviométricos costero-central (Foghin 2002). Las precipitaciones se distribuyen más o menos uniformemente a lo largo del año, con promedios mensuales inferiores a 80 mm en todos los meses; sin embargo, se observan algunos montos mensuales que destacan como ligeros picos que le imprimen cierto carácter de bimodalidad al régimen pluviométrico anual (figura 6).
Para la estación Macuto, observamos montos máximos de 64,7 mm y 73,9 mm en agosto y noviembre respectivamente, y montos mínimos de 19,1 mm y 51,5 mm en marzo y septiembre. El grueso de las precipitaciones en la parte baja de la cuenca se concentra en la segunda mitad del año, entre junio y diciembre (figura 6). El área de estudio que forma parte de la franja costera del litoral central venezolano y de la vertiente norte del macizo de El Ávila, está enmarcada en un sector de tipo climático Bshi (clima tropical estepario) de acuerdo con la clasificación de Köeppen.
La representación gráfica de la serie temporal analizada de la estación Macuto (figura 7) muestra que la mayoría de los totales mensuales están por debajo de la media y, en el peor de los casos, por debajo de la línea correspondiente a 2 desviaciones estándar, lo que implica que son montos totales mensuales típicos o característicos del régimen pluviométrico del sector. Sin embargo, se observa que existe un número de totales mensuales con valores muy significativos que superan la línea de las 2 desviaciones estándar (> 150 mm y < 500 mm), lo cual pudiera interpretarse con la ocurrencia de eventos extremos en esos meses, mas no se percibe un patrón de ocurrencia correspondiente a estos, para los mismos meses, sino que, su distribución temporal es bastante aleatoria.
La representación gráfica de la tendencia temporal de los valores totales anuales de precipitación para la serie trabajada (figura 8), exhibe la ligera disminución; y en la gráfica correspondiente a las anomalías de precipitación (figura 9), se perciben claramente los años en los que sus totales mensuales de lluvia superan el valor medio de la serie, como posibles indicadores de la ocurrencia de eventos de precipitación importante en algún mes.
Eventos extremos
Al iniciar esta parte de los análisis de los resultados, es importante destacar que la escogencia de la información de precipitación de la estación pluviográfica Macuto, obedeció a que esta puede tomarse como representativa de las lluvias máximas del sector oriental del litoral varguense, ya que es una de las que tiene registros más amplios y completos de esta parte de la región. Como ya se indicó en la metodología, para el análisis de los eventos extremos se trabajó con información de láminas máximas anuales de precipitación de la estación Macuto, y aunque existe información de la estación Caraballeda para este mismo parámetro, finalmente se descartó, ya que la longitud del registro no es suficiente, desde el punto de vista estadístico, para los fines que se persiguen en un análisis de eventos extremos.
Según González y Córdova (2006), una de las tareas más importantes en el estudio de las lluvias máximas del litoral central venezolano, la constituye el poder establecer, con cierto grado de confiabilidad, las intensidades máximas de la lluvia, tanto para duraciones menores de 60 minutos -que son las que controlan los picos de los hidrogramas de las crecidas de las cuencas del litoral- como para las lluvias de varios días que están, posiblemente, asociadas a los grandes deslaves.
En la tabla 3 se muestran las profundidades de láminas máximas anuales de precipitación para diferentes duraciones y distintos periodos de retorno, en la estación pluviográfica Macuto, con las cuales se construyeron las curvas de pdf de la lluvia (figura 10). En atención a los valores de las láminas de lluvias máximas anuales, se puede apreciar que para 1 hora (60 min) de duración de la lluvia, los montos son de magnitudes significativas, que oscilan desde 22,95 mm para un periodo de retorno de 2 años, hasta 102,94 mm para un periodo de retorno de 1.000 años (tabla 3), con lo cual es de esperarse que, eventos de precipitaciones concentradas y con montos entre los valores referidos, para 1 hora de duración de la lluvia, generen crecidas importantes.
Esto cobra mayor significado, sobre todo para eventos de periodos de retorno de 50, 100 y 500 años, en los que se observan láminas de lluvias máximas de 66,30 mm, 74,81 mm y 94,48 mm respectivamente (tabla 3), en un área de la estación pluviográfica Macuto, en la que el total anual de precipitación es de 597,9 mm para el periodo 1952-1999, y los promedios mensuales no superan los 80 mm. En el peor de los casos, un evento con un periodo de retorno de 1.000 años, generaría una lámina de lluvia por el orden de los 102,94 mm.
Es importante destacar que, aunado a eventos de lluvia con tales magnitudes, las características morfométricas de la cuenca y de la red de drenaje del río San Julián, condicionan y determinan escenarios de crecidas e inundaciones, cuyas respuestas hidrológicas son rápidas y violentas, ubicadas generalmente en la primera hora de duración de la lluvia, como lo demuestra el tiempo de concentración del sistema, presentado con anterioridad.
Para lluvias con duraciones de 24 horas (1.440 min), las magnitudes oscilan entre 49,95 mm para un periodo de retorno de 2 años, y 241,37 mm para un periodo de retorno de 1.000 años (véase tabla 3). A partir de estos valores, (lluvias con duraciones de más de 1 día o acumuladas), posiblemente se generarán condiciones de humedad precedente o acumulada, en los mantos de alteración o regolita, o condiciones de sobresaturación hídrica de estos, con lo cual se activarían fenómenos de remoción en masa, en vertientes cuya susceptibilidad del material a los procesos erosivos lo permitan, así como pendientes y cobertura vegetal favorables para ello.
Para escenarios de condiciones de humedad crítica, se observan láminas de lluvias máximas anuales con montos de 138,90 mm, 156,44 mm y 196,95 mm y, para el peor de los casos, de 214,37 mm, correspondientes a periodos de retorno de 50, 100, 500 y 1.000 años respectivamente (véase tabla 3).
González y Córdova (2006) señalan, que debido a que las cuencas del litoral central fueron muy perturbadas durante los eventos extremos de diciembre de 1999, es muy probable que en la actualidad, láminas de lluvia de menores montos a las que ocurrieron en esa época, pudiesen producir catástrofes de magnitudes apreciables, por el efecto que ellas puedan tener en la activación de deslaves latentes.
Con relación a las intensidades de lluvias máximas anuales, sus valores se presentan en la tabla 4, con los cuales se construyeron las curvas de IDF, que se aprecian en la figura 11. Para duraciones de la lluvia de 1 hora, las intensidades de lluvias máximas anuales comprenden desde 22,95 mm/h para un periodo de retorno de 2 años, hasta 102,94 mm/h para un periodo de retorno de 1.000 años (tabla 4). Para escenarios críticos de crecidas e inundaciones de 50, 100, 500 y 1.000 años de periodo de retorno con esa duración (1 hora), las intensidades corresponden a valores de 66,30 mm/h, 74,81 mm/h, 94,48 mm/h y 102,94 mm/h respectivamente (tabla 4).
Sin embargo, los montos de las intensidades más críticas se registran en los primeros 5 minutos de duración de la lluvia, cuyos valores oscilan entre 64,33 mm/h para un periodo de retorno de 2 años y 420,83 mm/h para un periodo de retorno de 1.000 años, y con valores de 253,72 mm/h, 292,36 mm/h y 382,10 mm/h para escenarios críticos de 50, 100 y 500 años de periodo de retorno, respectivamente (tabla 4).
Mientras que para lluvias de 24 horas de duración, la intensidad abarca desde 2,08 mm/h (2 años de periodo de retorno) hasta 8,93 mm/h (1.000 años de periodo de retorno), con montos para escenarios críticos de 50, 100 y 500 años de periodo de retorno, de 5,79 mm/h, 6,52 mm/h y 8,21 mm/h, respectivamente (tabla 4).
Finalmente, la precipitación máxima probable estimada arrojó valores de 127,94 mm para un evento con una duración de 1 hora, y de 269,73 para un evento con una duración de 24 horas (tabla 5).
Conclusiones
La cuenca del río San Julián es un sistema cuyas respuestas hidrológicas están determinadas por los siguientes factores: su pequeña área, fuertes pendientes, densidad de drenaje media a alta, orden 5 de la cuenca, relación de bifurcación media de 4,36, alta torrencialidad, las dimensiones de las tormentas y la intensidad y duración de las lluvias. El corto tiempo de concentración corrobora el control de la morfometría del sistema en las respuestas hidrológicas.
Para escenarios críticos de crecidas de 50, 100, 500 y 1.000 años de periodo de retorno con duración de 1 hora, las intensidades corresponden a valores de 66,30 mm/h, 74,81 mm/h, 94,48 mm/h y 102,94 mm/h, respectivamente, mientras que para lluvias de 24 horas de duración, los valores son de 5,79 mm/h, 6,52 mm/h y 8,21 mm/h, respectivamente. La precipitación máxima probable estimada arrojó valores de 127,94 mm para un evento con duración de 1 hora, y de 269,73 para un evento con duración de 24 horas.
Con base en los resultados de la caracterización hidroclimatológica y morfométrica de la cuenca del río San Julián, es necesario desarrollar planes y/o programas de autogestión comunitaria de los riesgos vinculados con dicha dinámica, en las comunidades (consejos comunales, mesas técnicas de riesgo, entre otros) expuestas o en condiciones de vulnerabilidad extrema, frente a los peligros latentes de su entorno físico, con el fin de proporcionarles las herramientas y los conocimientos fundamentales, que les permitan desempeñarse de manera eficiente antes, durante y después de la ocurrencia de un evento adverso. Un ejemplo de ello, lo constituyen la formación y/o adiestramiento en el diseño y la implementación de sistemas de alertas tempranas comunitarios (SATC), y la construcción y operatividad de pluviómetros artesanales comunitarios.
Referencias
Amend, Stephan. 1991. Parque Nacional El Ávila. Serie Parques Nacionales y Conservación Ambiental n.° 12. Caracas: Stephan y Thora Amend. [ Links ]
Amundaray, José. 2000. "Aspectos geotécnicos del desastre de Vargas". Memorias del XVI Seminario Venezolano de Geotecnia: calamidades geotécnicas urbanas con visión al siglo XXI; la experiencia para proyectos del futuro, 261-277. Caracas: Sociedad Venezolana de Geotecnia. [ Links ]
Andressen, Rigoberto. 2007. "Circulación atmosférica y tipos de climas". En Geo Venezuela 2: medio físico y recursos ambientales, 238-329. Caracas: Fundación Empresas Polar. [ Links ]
Centro de Procesamiento Digital de Imágenes. 1999. IKONOS imagen satelital pancromática. Resolución espacial 1 metro. Baruta, Venezuela. [ Links ]
Dirección de Cartografía Nacional. 1958. Planos topográficos a escala 1:5.000. (Hojas I-9, II-9, III-9, IV-9, I-10, II-10, III- 10, IV-10). Proyecto BITUCOTEX. Caracas: Dirección de Cartografía Nacional. [ Links ]
Dirección de Cartografía Nacional. 1979. Cartas topográficas a escala 1:25.000. (Hoja 6847-IV-NE El Caribe; y Hoja 6847-IVSE Los Chorros). Caracas: Dirección de Cartografía Nacional. [ Links ]
Foghin, Sergio. 2002. Tiempo y clima en Venezuela: aproximación a una geografía climática del territorio venezolano. Colección Clase Magistral 1. Caracas: Instituto Pedagógico de Miranda José Manuel Siso Martínez, Universidad Pedagógica Experimental Libertador. [ Links ]
Gaceta Oficial de la República Bolivariana de Venezuela. 2010. "Decreto n.° 7.388 (22 de abril del 2010): mediante el cual se dispone que la extensión que comprende el Parque Nacional "El Ávila" se denominará en adelante Parque Nacional "Waraira Repano"". En Gaceta Oficial de la República bolivariana de Venezuela, n.° 39.419. [ Links ]
González, Marcelo y José Córdova. 2006. "Consideraciones sobre la probabilidad de ocurrencia de lluvias máximas en la zona litoral del norte de Venezuela". En Los aludes torrenciales de diciembre 1999 en Venezuela, editado por José López y Reinaldo García, 98-117. Caracas: Instituto de Mecánica de Fluidos, Facultad de Ingeniería, Universidad Central de Venezuela. [ Links ]
Grases, José, José Amundaray, Alfonso Malaver, Piero Feliziani, Luis Franceschi y José Rodríguez. 2000. Emergencia 99: efectos de las lluvias caídas en Venezuela en diciembre de 1999. Caracas: Programa de las Naciones Unidas para el Desarrollo (PNUD), Corporación Andina de Fomento. http://www.cridlac.org/digitalizacion/pdf/spa/doc12566/doc12566.htm. [ Links ]
Guevara Díaz, José Manuel. 1987. Métodos de estimación y ajuste de datos climáticos. Colección Monografías 12. Caracas: Universidad Central de Venezuela, Consejo de Desarrollo Científico y Humanístico. [ Links ]
Gumbel, Emil. 1941. "The Return Period of Flood Flows". The Annals of Mathematical Statistics 12 (2): 163-190. DOI:10.1214/aoms/1177731747. [ Links ]
Hershfield, David. 1971. "Parameter Estimation for Wet- Day Sequences". Journal of the American Water Resources Association 7 (3): 441-446. DOI: 10.1111/j.1752-1688.1971.tb05777.x. [ Links ]
Horton, Robert. 1945. "Erosional Development of Streams and their Drainage Basins: Hydrophysical Approach to Quantitative Morphology". Geological Society of America Bulletin 56 (3): 275-370. DOI: 10.1130/0016-7606(1945)56[275:EDOSAT]2.0.CO;2. [ Links ]
Instituto Geográfico de Venezuela Simón Bolívar. 1999-2000. Fotografías aéreas a escala 1:5.000: Misión aerofotográfica 030602. (Fotografías n.º 1171 a 1173). Caracas: Instituto Geográfico de Venezuela Simón Bolívar. [ Links ]
Instituto Nacional de Meteorología e Hidrología. 2013a. Datos pluviométricos: estación Macuto. Baruta: Instituto Nacional de Meteorología e Hidrología. [ Links ]
Instituto Nacional de Meteorología e Hidrología. 2013b. Datos de profundidades de láminas máximas anuales de precipitación: estación Macuto. Baruta: Instituto Nacional de Meteorología e Hidrología. [ Links ]
Kirpich, Phillip Zalman. 1940. "Time of Concentration of Small Agricultural Watersheds". Civil Engineering 10 (6): 362. [ Links ]
Kite, G. W. 1977. Frequency and Risk Analysis in Hydrology. Colorado: Water Resources Publications, Fort Collins. [ Links ] [ Links ]
Marcano, Frank y Sonia Barrios, coords. 2001. Estado Vargas: aspectos socioeconómicos, función urbana y opciones de desarrollo; litoral Vargas, corredor urbano y red vial estructurante. Caracas: Instituto de Urbanismo, Universidad Central de Venezuela, Centro de Estudios del Desarrollo. [ Links ]
Marcucci, Ettore. 2000. Los procesos catastróficos de dinámica sedimentaria ocurridos en diciembre de 1999 en la parte baja de la cuenca del río San Julián (zona de Los Corales) y posibles acciones de remediación. Informe Técnico. Caracas: Marcucci Ingenieros. [ Links ]
Petróleos de Venezuela. 1993. Imagen de Venezuela: una visión desde el espacio. Caracas: Petróleos de Venezuela. [ Links ]
Servicio Autónomo de Geografía y Cartografía Nacional. 1995. Ortofotomapas a escala 1:25.000. (Hoja 6847-IV-NE Caraballeda; y Hoja 6847-IV-SE Los Chorros) Caracas: Servicio Autónomo de Geografía y Cartografía Nacional. [ Links ]
Steyermark, Julián y Otto Huber. 1978. Flora del Ávila: flora y vegetación de las montañas del Ávila, de la Silla y del Naiguatá. Caracas: Sociedad Venezolana de Ciencias Naturales, Völlmer Foundation, Ministerio del Ambiente y de los Recursos Naturales Renovables. [ Links ]
Strahler, Arthur. 1964. "Quantitative Geomorfology of Drainage Basins and Channel Networks". En Handbook of Applied Hydrology, editado por Ven Ten Chow, 39-76. New York: McGraw-Hill. [ Links ]
Urbani, Franco y José Rodríguez. 2004. Atlas geológico de la Cordillera de la Costa, Venezuela. Caracas: Universidad Central de Venezuela, Fundación Venezolana de Investigaciones Sismológicas, Fundación GEOS. [ Links ]
Urbani, Franco, José Rodríguez, Lucía Barboza, Siul Rodríguez, Víctor Cano, Luis Melo, Adrián Castillo, Juan Suárez, Víctor Vivas y Herbert Fournier. 2006. "Geología del estado Vargas, Venezuela". En Los aludes torrenciales de diciembre 1999 en Venezuela, editado por José López y Reinaldo García, 133-156. Caracas: Facultad de Ingeniería, Universidad Central de Venezuela. [ Links ]
Wenzel, Harry. 1982. "Rainfall for Urban Stormwater Design". En Urban Stormwater Hydrology 35-67. Serie Water Resources Monograph 7. Washington: American Geophysical Union. [ Links ]








































