Services on Demand
Journal
Article
Indicators
-
Cited by SciELO -
Access statistics
Related links
-
Cited by Google -
Similars in
SciELO -
Similars in Google
Share
Cuadernos de Economía
Print version ISSN 0121-4772
Cuad. Econ. vol.32 no.60 Bogotá July/Dec. 2013
SOME MARXIAN AND SMITHIAN IDEAS ON LABOR AND PRICES
Alberto Benítez Sánchez1
1 Economics Department, UAM-Izt. e-mail: abaxayacatl3@gmail.com. View my research on my SSRN Author page: http://ssrn.com/author=1717472.
Este artículo fue recibido el 23 de enero de 2012, ajustado el 23 de agosto de 2012 y su publicación aprobada el 21 de mayo de 2013.
Abstract
The propositions advanced by Marx and Smith on the relation between labor and prices are examined, with particular emphasis on income distribution, within a non-Walrasian setting including joint production and heterogeneous labor. Among its contributions, the paper introduces the concept of indirect joint production and an alternative definition of industrial branches.
Keywords: Joint production, K-equilibrium, labor theory of value, Marx, Smith.
JEL: A14, B12, B14, B51, D45, P16.
Resumen
Se estudian algunas proposiciones comunes a Marx y a Smith sobre la relación entre el trabajo y los precios, con especial interés en las implicaciones de las mismas respecto a la distribución del ingreso. El marco de referencia es un modelo no-walrasiano que incluye producción conjunta y trabajo heterogéneo. Además, el artículo introduce el concepto de producción conjunta indirecta y también una definición alternativa de la rama industrial.
Palabras clave: producción conjunta, K-equilibrio, teoría laboral del valor, Marx, Smith.
JEL: A14, B12, B14, B51, D45, P16.
Résumé
L'article examine quelques propositions communes à Marx et à Smith sur le rapport entre le travail et les prix. Un intérêt particulier est porté sur les implications de cette relation sur la distribution du revenu. Le cadre de référence est un modêle non-walrasien incluant production jointe et qualité hétérogène du travail salarié. En outre, l'article introduit le concept de production jointe indirecte, ainsi qu'une définition alternative de «branche d'activité industrielle».
Mots-clés: production jointe, K-équilibre, théorie de la valeur-travail, Marx, Smith.
JEL: A14, B12, B14, B51, D45, P16.
Relations between labor and prices constitute a central issue of the labor theory of value (LTV) and have been a subject of much reflection and debate in the history of economic thought. According to Dooley (2009), the LTV has predecessors among the classical, scholastic and renascence authors but owes its most influential versions to modern thinkers like Hobbes (1994), Petty (1963), Cantillon (2001), Locke (2003), Hume (1996), Hutcheson (2000), Smith (1981), Ricardo (2004) and Marx (1991).
Both Ricardo and Marx sustain, with certain qualifications, that the labor required to produce a good determines its exchange relations with other goods, a thesis so notoriously polemic that the LTV has been partially identified with it.2 Nevertheless, other ideas associated with the LTV that are compatible with modern economic analysis also have important implications for income distribution. To demonstrate this, the paper analyses a non-Walrasian model vis-à-vis Marxian and Smithian concepts. The interpretations adopted are based on the passages from the original texts quoted on each case but the hermeneutical discrepancies involved are not discussed.3
Section 1, describes an economy in which all the production processes are simultaneous and of equal length. Transactions are made only at the start and end of production so that there is only one production period and two significant dates. Moreover, there is no fixed capital and future periods are not considered in the choices made by the agents. Some aspects of income distribution are simplified by the presence of a bank that possesses all the initial endowments, offers goods on the first date and demands equal quantities of them on the second, whenever the corresponding profit is not negative. In this manner, the quantity deposed of each good is the same at the start and end of production, limiting the consumer's spending to the revenue obtained during the current period.
The following sections, examine certain relations between agents or groups ofagents implicit in the transaction plans realized during the period. Section 2, provides a definition of industrial branches and establishes equations describing the investment cost and the price of the good produced in each branch as well as in the whole industrial system. Section 3, analyses the labor incorporated in merchandises, indicating the cases for which it is possible to calculate this. The indirect exchange of labor for labor is examined in Section 4, surplus income and surplus value rates in section 5, real and labor commanded prices in Section 6, nonwage revenues in Section 7 and the incorporation of capital into labor in Section 8. The last section presents some comments of a general character and the Appendix offers a brief exposition of the distinctive features and the proof of the existence of equilibrium situations when markets are organized under a rationing schema.
1. A TWO DATES MODEL
As far as I am aware, no complete explanation has been forwarded of how quantities exchanged are determined under constant relative prices, a trait characterizing the situations studied by Marx and Smith. In this regard, it is worth remarking that in a Walrasian model relative prices are not necessarily the same at two different dates. However, Benitez (1995) proves the existence of K-equilibriums (defined in the Appendix) with constant relative prices using the rationing model proposed by Benassy (1982) of which a simplified two-step version will be provided here. In this section, merchandises, transaction plans, economic agents (excepting the bank) and their choice procedures are defined following the Arrow-Debreu model. In the Appendix, Benassy's model is completed and a rationing scheme presented where individual agents choose their optimizing plan taking into account the price system and their perception of the choices made by the other agents, an idea previously considered by Keynes (1973). The economy presents the following features:
I. Two classifications of goods. A) In terms of their physical properties, goods are classified in U types, each one possessing a particular index u = 1, 2,...,U. The first n are produced goods and will be also represented by the indexes i,j = 1,2,...,n; the next U - n are non-produced goods of which the first q - n are different types of lands that suffer no depreciation by participating in production; the last U - q are different types of labor (1 ≤ n < q < U). B) There is only one place and two dates to deliver goods, these last being the beginning and the end of the production period. A second classification includes the delivery date in the definition of goods so that for each u there are two indexes: h = u and h = 2u corresponding to the good delivered in the first and the second date, respectively.
II. Two payment dates. A) Vectors p = (p1,p2,..., pU) and p = (p1,p2,...,pH) represent a spot price system and a price system actualized at the first date with an interest rate i* ≥ 0, respectively.4 The rate may differ from one system to another; P and P represent the corresponding vector sets. B) Each p ∈ P has the following properties:
It is worth noting that given any p ∈ P, the corresponding spot prices are the first U coordinates of p. Thus, the last proposition implies that relative prices of physically defined goods are constant.
III. Two types of agents. A) There are two types of agents, F consumers and G enterprises, a particular index (f = 1,2,...,F and g = 1,2,...,G respectively) corresponds to each. The bank's index is g = 1. B) For each
there is an initial endowment
in the bank, belonging to consumer f at date
Vectors xf = (xf1,xf2,...,xfH) and yg = (yg1, yg2,...,ygH) represent a plan of consumer f and enterprise g, respectively, the corresponding sets are
.
IV. Assumptions about enterprises. For every g: A)
. B) In yg positive quantities represent offers and negative ones represent demands, there are no offers of labor. C) Yg is closed and convex. D) For each
, enterprise g chooses in Yg a plan that maximizes profits, equal to the product ygp. For every
: E) If
for a certain h there is also in yg at least one demand for labor and another for land. F) The production plans do not consider the price system nor the initial endowments so that offers are not bounded: if
and
there is another plan
such that
are two different efficient points then
is an interior point of Yg for every
. For g = 1: H)
.
V. Assumptions about consumers. For each f: A)
. B) In xf, positive quantities represent demands and negative ones represent offers. There are no demands for labor and each consumer offers only one type of labor. C) The consumption plans consider neither the initial endowments nor the price system so that demands are not bounded: if
and
there is another plan
such that
. D) The quantities of labor that a consumer may offer are finite so that Xf is bounded from below. E) Xf is closed and convex. F) There is a utility function
which is continuous, strictly concave and increasing in all its arguments. G) Enterprises belong entirely to consumers. Each consumer f owns a fraction
of enterprise g for every
. On the other hand, for each u, the benefit corresponding to f for his property of dfu is proportional to the fraction that this quantity represents in du. As the bank's offer of u(y1u) on the first date equals its demand on the second one (- y1,2u), the benefit is (dfu/du)(y1u)(pu - p2u). Consequently, consumer f's budget is
where yg is the plan chosen by the enterprise g.5 H) For each
consumer f chooses in Xf the plan that maximizes his or her utility function according to the restrictions of the available budget.
VI. Market situations. A market situation is a complete collection of transaction plans (one for each agent) represented by vector z = (y1 ...,yG,x1,..., xF) and the set of all the possible situations is Z = Y1 x...xYG x X1x...x XF. I will consider a posteriori a situation represented by a particular vector z* ≠ θ assuming that demands and offers where equal in every market. It is worth noticing that z* is not necessarily a Walrasian equilibrium; it may also be a K-equilibrium as argued in the Appendix.
The model presented in this section does not consider the interaction between society and its natural environment, nor those aspects of social life that determine the initial situation. Therefore, it is possible to describe synthetically the phenomena represented as follows.
Definition 1
Economic activity consists in the production and exchange of merchandises during a period of time in which technology, preferences and the number of economic agents are constant. It transforms an initial situation, characterized by a set of merchandises and the distribution of their property among agents, into a final situation characterized by another set of merchandises and another distribution of property, not necessarily different from the initial ones.
2. PRODUCTION EQUATIONS
This section examines the relation between production cost and the price of goods produced in the industrial branches of z*, representing the price system adopted during the period as
. Each good is measured by the amount of it produced, each type of labor by the sum of the time dedicated to all types of labor and spot prices by the sum of wages paid during the period. The following definitions do not consider g = 1.
A good j is jointly produced with a good i in the following cases: a) directly, if at least one enterprise produces both simultaneously and b) indirectly, if there is at least one set of different indexes D = {i, j1, j2,..., jD, j} such that, starting from j1, each good is jointly produced directly with the good to its left.
The first case is the only one generally considered as joint production, for instance by Marshall (2009, 321-26) and Sraffa (1960, 43). To simplify matters it will be referred to as joint production. I extend the content of the concept by including the second case which contemplates two goods whose supply is linked by a relation that may originate a wave-like effect not, as far as I know, previously discussed in the economic literature.6 Definition 1 permits the industrial branches to be defined in a way that satisfies the following conditions: a) the branches constitute a partition of the set of enterprises that is unique and depends only on the technology employed in the particular vector z* being considered and b) each good is produced exclusively in one branch. The resulting definition is as follows.
Definition 3
An industrial branch is a set integrated by all the enterprises that satisfy any of the following conditions: a) produce one good on its own, not jointly with any other or b) produce one jointly-produced good or any of the goods jointly produced with it.
A particular index
corresponds to each branch. According to II.B), given any
it is possible to infer the interest rate from the equality
. Thus, the bank's benefit for each unit of u sold andbought is
which, actualized at the end of the period is
. In this manner, the cost at the second date of each unit of u consumed in the production process is
, a function that permits the cost of the means of production in each branch to be calculated. To this end, for any couple (u,m) such that
represent the quantity of u consumed and produced in branch m, respectively. The notation g(m) indicates that the sum must include only the enterprises belonging to branch m,
and
for each m at least for one u (not necessarily the same u). On theother hand, let vectors
and
where
for each u such that
indicate respectively the quantities of the different types of labor employed in the branch and the corresponding prices. The profit of branch m (Πm) is the difference between the price of the goods produced and their total cost actualized at the second date. In these conditions, the following equation system is verified.7

For each m, it is possible to distinguish on the left side of the corresponding equation the
charged on land and the interest or "normal profit" according to Keynes (1973, 68) which is the sum
charged on the other goods and on labor. It follows from I.A) that in each production equation the units of land appear on both sides so that they may be canceled out and, consequently, the two summations will include only produced goods. Hence, the previous system may be written as:
![]() | [1] |
Where δjm = 1 if branch m produces good j and δjm = 0 if it does not. It should be remarked that
because it is required that
for the bank to make an offer. On the other hand, it follows from IV.A) and IV.D) that
. As the amount of profit may be zero in one branch and greater than zero in another the profit rates of different branches are not necessarily equal.
3. LABOR AND WAGES INCORPORATED
This section, defines the quantity of each type of labor required to produce a commodity bundle using the technology described in (1). Let ci be a nonnegative quantity of i, vector c = (c1, c2,..., cn) a commodity bundle and xm a coordinate of a nonnegative vector
. Multiplying each equation of (1) by the corresponding xm, we obtain:
![]() | [2] |
Definition 4
The real income of (2) is the vector c determined by:
![]() | [3] |
In this formula, m(i) indicates the branch producing i. This means that at the end of the production period c is obtained after replacing the quantity of each good consumed during production.8 Summing up the m equations in (2) yields:
![]() | [3] |
It follows from (3) that
for each i, hence
. Substituting the right side of (4) for the left side of the last equation results
. Canceling out the first term in each side yields:
![]() | [5] |
This equation shows that the price of c is equal to the sum of revenues obtained producing c, as observed originally by Smith (1981, 68)9. On the other hand, the collection of the different types of labor required directly as well as indirectly toproduce c is the vector defined in the first of the following equations.
![]() | [6] |
I shall refer to this as the labor incorporated in c and also, following Marx (1990, 129)10 as the value of c. Also, I will refer to the vector l(c) corresponding to (1) as the labor unit and to w(c) as the wages incorporated in c.
Defining
and, due to the fact that
, it is possible to write (5) under the first of the following expressions:
![]() | [7] |
In the second equation
and w(c) represent interest, profits, rents and wages in (5) measured with the corresponding real income, respectively.11 The preceding procedure determines the labor incorporated in any c on the condition that it is possible to obtain c as the real income of a system of type (2), in which case l(c) is defined.
If, contrary to what is assumed in IV.F), the returns to scale are constant, l(c) is defined for every c on the conditions that (1) is viable and only one good is produced by each branch, as shown in Benítez (2011). But if there is joint production in at least one branch this is not always the case. For instance, consider a one branch economy producing two goods of which only the first one participates in production. There is no
allowing the calculation of a system of type (2) in which the real income does not include the second good. Therefore, the labor incorporated in the first good cannot be defined.
The phenomena modelled in system (1) may be described synthetically as follows.
Definition 5
A production process transforms an initial set of merchandises employed as the means of production, with the participation of labor, into another set integrated by the real income and a collection of means of production equal to the initial one.
4. INDIRECT EXCHANGE OF LABOR FOR LABOR
Given two defined vectors l(c) and l(c') it is possible to compare the quantities of labor of each type contained in them, but it is not always possible to compare the vectors themselves. Despite this difficulty, I intend to show that some propositions from the LTV considered in this paper are valid as well for economies with one or with several types of labor. To study the indirect exchange of labor for labor, the following result will be useful.
Lemma 1. Let c be the real income of (1),
and l(c') a defined vector. Then
![]() | [8] |
Proof. As c is the real income of (1)
in (3). The equations of type (3) that correspond to c and c' may be written in the forms
, respectively. Consider an i such that
. To simplify, I will suppose that
. The assumption
implies that
because otherwise the two preceding equations could not be valid simultaneously. Thus,
, a result that implies (8.a). Given the same result, it follows from (8.b) as well as from (8.c) that
for at least one j, because otherwise l(c') = l(c) and c' = c, respectively. Hence, (8.b) → (8.c) and (8.c) → (8.b).
This lemma shows that we may compare the labor incorporated in two bundles c and c' on the condition that: a) l(c) and l(c') are defined and b) c and c' may be compared. Therefore, assuming a) we may compare the labor incorporated in the real income of (1) with that incorporated in the part of this bundle that corresponds to wages, in this case the following proposition is valid.
Corollary to Lemma 1. Let c be the real income of (1) and c' the bundle acquired with the wage. Then: a) c' and c verify (8.a) and b) the non-wage income obtained producing c is greater than zero if and only if (8.b) is verified.
Proof. The bank possesses the same quantity of each good at the start and finish of the period. Therefore,
and a) is verified, according to Lemma 1. On the other hand, as
and
, equations (7.a) and (7.b) imply that
Hence, it follows from Lemma 1 that
.
Definition 6
The indirect exchange of labor for labor is not equivalent if every c' that may be acquired with the wage such that l(c') is defined verifies (8.a) and (8.b).
It is important to observe that l(c) and l(wc) are defined if c is the real income of (1) and
. The meaning of the corollary may be stated in the following manner:
- Proposition 1. Non-wage incomes are greater than zero if and only if the indirect exchange of labor for labor is not equivalent.
It is worth underlining that Definition 6 refers to wages and not to workers' revenue, which may include non-wage incomes. Considering this, in an economy with only one type of labor and no joint production, the Fundamental Marxian Theorem, as defined by Morishima (1973, 53), may be inferred from Proposition 1 and vice-versa. But if the total income of workers is taken into account there may be situations in which profits are greater than zero but no exploitation occurs. Moreover, in the present context the exploitation rate can be calculated only in particular cases, as shown in the next section.
5. SURPLUS INCOME AND SURPLUS VALUE RATES
The following rates measure the excess of the price of a given vector c over the wages incorporated in c and the excess of the labor incorporated in c over the labor incorporated in a vector c' acquired with w(c), respectively.
Definition 7
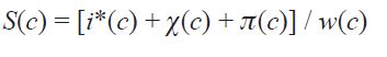
Given a vector c, the surplus income rate is the proportion between the non-wage and the wage income generated producing c:
![]() | [9] |
Definition 8
Given a system of type (1), let c be the real income and c' the bundle acquired with wages, the necessary labor is l(c'), the surplus labor l(c) â l(c') and the surplus value or exploitation rate is12
![]() | [10] |
The first rate is the non-wage income per unit of wage and can be calculated for any c for which l(c) is defined; the second rate is the quantity of surplus labor per unit of necessary labor and can be calculated only if the proportion between the quantities of each type of labor incorporated in vectors (c - c') and c' is the same for all types. When labor is heterogeneous, this is the case if the fraction of revenue spent on each good is the same for wages and for total income, although it may differ for different goods. Indeed, in this case, the distribution of cost among the different goods in vector (c â c') is equal to the corresponding distribution in c', so that each vector is a multiple of the other, verifying the following proposition.
Lemma 2. If the proportion of the revenue obtained producing c spent on each good is the same for wages and for total income then S(c) = ρ(c).
Proof. Let
. Then, we may write
. For this reason,
so that
. Substituting the numerator of (10) for the right side of the last equation yields
.
This result establishes a relation between the two rates but the proportions involved are not necessarily equal for any given c. Therefore, to determine the exploitation rate normally requires the conversion of complex into simple labor in order to express the quotient indicated as a division of real numbers.13 In this regard, Marx(1990, 135)14 and (1991, 241-242)15 provides a criterion to calculate simple labor quantities given wages when he implicitly affirms that the wage corresponding to each type of labor is roughly proportional to the quantity of simple labor being paid. However, other than the assumption that prices (in this case, wages) are approximately proportional to the corresponding quantities of labor incorporated, there appears to be no basis for his conclusion. Moreover, as already indicated, this proportionality is not valid as a general rule. Despite this difficulty, assuming the hypothesis indicated in the next proposition, it is possible to calculate the exploitation rate of that part of the economy producing wage goods.
Corollary 1 to Lemma 2. If the wage obtained producing c' is spent buying goods in the same proportions as the whole wage S(c') = ρ(c').
Benítez (2011) proves that in economies with homogeneous labor, the surplus income rate of that part of the industrial system producing wage goods is equal to the exploitation rate of the whole system. On the other hand, for any c for which l(c) is defined, the numerator of (9) can be written as w(c)S(c) and the left side of (7.a) as w(c)S(c) + w(c). Consequently, (7.a) may be written as the first of the following equations:
![]() | [11] |
If prices are measured in wage units and wages are proportional to quantities of labor w(c) is the value of c. Therefore, in this case (11.a) indicates that prices are equal to values multiplied by 1 plus the surplus income rate, a relation studied in Benítez (2011). In the present context, this equation shows that the price of c is equal to the wage incorporated in c multiplied by the factor indicated. On the other hand, the rate at which the price of c outgrows w(c) is [cp â w(c)] / w(c) = S(c). For this reason, the surplus income rate may be considered as a measure of the distance between the price and the wages incorporated in a given vector c (or its value, in especial cases). Equation (11.b) shows that the exchange relation between two different vectors c and c' is equal to the proportion between the wages incorporated in the corresponding goods (or, in especial cases, their values) multiplied by a factor determined by the income distribution rates.
Let us consider the following propositions.
- Proposition 2. The exchange relation between two goods is equal to the proportion between the quantities of labor incorporated in the goods.
- Proposition 3. The exchange relation between two goods is equal to the proportion between the quantities of wages incorporated in the goods.
- Proposition 4. The wage is equal to total income.
In any system of type (1) Proposition 4 implies Proposition 3 (P.4 ⇒ P.3) and for most systems P.3 ⇒ P.4 although there are some special systems studied in Benítez (2008) in which P.3 may be verified while non-wage incomes are greater than zero. Therefore, excluding these particular cases we may say that, as a general rule P.4 ⇔ P.3, a conclusion permitting to consider P.3 as a normative principle because it characterizes a situation in which all the income pertain to workers. If non-wage incomes are greater than zero, an increase in wages is at the same time a reduction in the distance between prices and wages incorporated (or values, in especial cases) and vice-versa. If labor and wages incorporated in the different c obey to the same proportion, then P.2 ⇔ P.3 so that in the preceding conclusions P.3 may be substituted for P.2.
6. REAL AND LABOR COMMANDED PRICES
Montaigne (2003, 51)16 observes that the value of a good for a particular person is linked to the cost in which he incurs to possess it; while Hume (2008, 160)17 suggests that the price of a merchandise indicates a certain amount of labor for which it may be exchanged. Both ideas were adopted by Smith (1981, 47)18 who distinguishes two cases: a) someone who owns a merchandise and desires to exchange it for something else and b) someone who acquires a good in exchange for his own labor. The following definitions correspond to the first and the second perspective, respectively.
Definition 9
The labor commanded by a vector c is its price measured with labor of a particular type or with a collection of different types of labor arbitrarily chosen.
Definition 10
The real price of a vector c for a consumer is the quantity of labor of the type he/she usually offers necessary to acquire c.
In both definitions, labor measures the prices of goods that are present in the market place. For this reason, labor commanded and real prices are determined by the price system and refer to the same quantity of labor from two different perspectives. The labor commanded by a good is equal to the labor that individuals have to carry out if they are to pay indirectly for the good in this manner. But the two quantities differ when society as a whole is considered. Indeed, in this case the labor commanded by a good is still determined by the price system, but the quantity of labor that a society must realize in order to acquire a vector c is l(c). Therefore, we can formulate the following conclusion.
- Proposition 5. For society as a whole the real price of a good is the quantity of labor necessary to produce it.
Accordingly, the terms "labor incorporated", "actual cost"19, "value", "socially necessary labor" and "real price for society" refer to the same thing, which will be considered further in the following section.
Although prices can be measured with any good, real and labor commanded prices make it possible to visualize some economic relations that are not similarly clear using other units of measuring. To illustrate this, I shall consider the choice of a consumer i, given a p ∈ P. Let xi be the consumption vector chosen by agent i, and xi the same vector after the labor quantities present in xi have been substituted by zeros. In Figure 1, the horizontal axis indicates quantities of the type of labor realized by i, the left side of the vertical axis multiples of vector xi and its right side the price of this vector measured with i's labor. Each one of the straight lines A, B and C represents a budget destined to acquire xi with an income coming exclusively from labor, from labor and property and only from property, respectively. In the three cases the real price of xi to consumer i is equal to la; in the first one he realizes entirely la, in the second one he realizes only lb and his non âwage income commands the rest while in the last case la is entirely commanded. The segment [0, la â lb] indicates the work commanded by agent i's non-wage incomes, which is equal to segment [â la, â la + lb] and represents the labor that the consumer spares to him or herself, as indicated by Smith.
Although the real price of xi is the same in the three cases it means different things depending on the consumer's wealth. If the agent's budget line is A, the real price represents an exchange of labor for goods in which two aspects of labor, as producer and evaluator of goods, are tightly linked. If it is C, the real price measures a particular form of power exerted over the labor or the product of the labor of other agents, as Smith (1981, 48) pointed out20. Someone with budget line B participates from both revenue sources according to B's distance from the extreme positions A and C.
On the other hand, the choice made by each consumer i establishes the equivalence between the bundle xi chosen and the quantities of labor given in exchange, actual and commanded. In a similar manner, the transactions in the different markets of z* establish the equivalence between real income and the corresponding labor commanded income measured by the labor unit, determining simultaneously the price of this unit in terms of the real income. The resulting situation is illustrated in Figure 2 where the vertical axis measures multiples of vector c, the real income of (1); the left side of the horizontal axis measures multiples of l(c) and its right side the wage measured with the real income. The curve represents the function relating each quantity of the second vector to the maximal quantity produced of the first one. When vector (w,1) indicating the wage measured with the real income is to the right, on or to the left of point (1,1) the budget line corresponding to wages passes above, on or below point (-1,1) and profits are lower, equal to or greater than zero, respectively. In this regard, it is worth noting that in the first case the enterprises will not produce goods whereas workers are normally willing to exchange one unit of labor for less than the corresponding real income. Hence, the typical case is the third one in which wages permit worker only to buy a vector wc such that
or an equivalent bundle.
>
7. DEDUCTIONS FROM THE PRODUCT OF LABOR
Smith (1981, 83)21 and Marx (2000, 85)22 coincide in explaining the origin and magnitude of non-wage incomes as follows.
- Proposition 6. Interest, rents and profit: a) are deductions from the product of labor and b) their relative magnitudes depend on the social strength of the group receiving each type of income.
I present two comments on Proposition 6.a that are based on arguments developed from the previous sections.
1) The means of production consumed in (1) are completely replaced by the end of the production period. Therefore, the following conclusion, suggested by Marx (see note 18), may be formulated:
- Proposition 7. The net cost paid by a society to acquire a vector c is l(c).23
Accordingly, the net cost paid by a society to acquire real income is the labor realized during the period.
2) In the model studied here, labor is just one among several production factors. However, it is the only human activity directly involved in the production process.24 To underline this condition of labor vis á vis other human activities it may be said that real income is the product of labor and, consequently, each form of income is a deduction from product of labor. It follows that it is possible to indicate two differences between wages and other types of incomes: a) wages pay labor with (a part) of its own product and b) the other types of income remunerate ownership either of enterprises or of goods, a legal relation that, as such, does not count among production factors.
The preceding comments highlight the importance of labor in contrast to ownership of goods and enterprises. In this regard, because they cover entirely the net cost of the real product, some socialist thinkers like Menger (2010) have vindicated the worker's right to the whole product of labor. However, this position overlooks the fact that the production process in z* (which includes labor) depends on a social framework that is not labor's product alone but constitutes the outcome of the entirety of social life. This fact justifies at least those deductions from the product of labor required to maintain and improve the corresponding set of economic, political, juridical and cultural institutions. On the other hand, because private enterprises and the search for profits are mutually dependent, their influence on the production process and on social welfare must be evaluated together. Such a task requires a model allowing the study of enterprise formation instead of taking these variables as a given, contrary to the model studied here. It may be added that, without losing sight of their negative effects, Marx (1990, 929)25 and Smith (1981, 27-28)26 recognize the role of these institutions in the development of the division of labor and the introduction of technical innovations.
It is probably impossible, as Cassel (see note 17) and Pullen (2010) affirmed, to divide the net product in proportion to the contribution provided by each material input participating in production. In a similar manner, it may also be impossible to determine the proportional share corresponding to the contribution of those immaterial elements of the social framework that act to stimulate the production process. These difficulties give relevance to the discussion of income distribution from ethical and political perspectives.27
Profits, interest and rents depend on the situation z* being considered which, together with the distribution of property, determines the non-wage revenues received by each consumer. In this regard, propositions 6.a and 7 provide a strong argument in favor of public policies that reduce inequalities between the living conditions of social classes resulting from the given distribution of property. On the other hand, although Proposition 6.b will not be discussed in this paper, it can be argued that it would be possible to represent (at least partially) the relative strength of different agents either by introducing rigidities in the price system or by means of the relative positions of the different agents in the rationing scheme presented in the Appendix.
Some concepts discussed in this paper are illustrated in Figure 3, where 6 columns are shown, each one representing two particular sets of physical quantities (except for column 3 which represents prices). The broken lines dividing some columns indicate the separation of vectors. The sets in column 1 correspond to the start and those in column 2 to the end of the production process in which a certain amount of labor l(c) and of initial endowments (IE) are transformed into real income c and another set of initial endowments. The next three columns are related only to c: column 3 shows the real income divided into wage and non-wage revenues that are exchanged respectively for vectors c â c' and c' appearing in column 4. These collections of goods correspond to necessary and surplus labor of column 5 which, in turn, add up to the initial labor force.
8. INCORPORATION OF CAPITAL INTO LABOR
The following propositions, suggested respectively by Smith (1981, 118-119)28 and (1981, 282)29 and Marx (1990, 274)30 and (1990, 276)31 explain the difference in wages as a consequence of the different cost incurred preparing the labor force to each task.
- Proposition 8. Differences in wages are mainly due to the different investments required to prepare the labor force for each task.
- Proposition 9. Wages pay the quantity of labor required to produce the labor force; the differences in wages are due to the different quantities of labor necessary to this end.
In both propositions, the capacity to realize a particular task is conceived as the product of a previous production process that has given the individual the required skills. Therefore, each type of work has a price that covers the corresponding cost and profit. In this sense, it is possible to say that each type of labor incorporates an amount of capital equal to the investment done qualifying it.32 As even the simplest employment requires some education, each type of labor incorporates a certain capital that may be estimated according to Becker (1964). It must be noted that: a) all workers own a non-transferable capital incorporated in his labor-power and b) differences in wages may be quite significant. On this basis, we may conclude that this constitutes one of the main varieties of capital alongside goods and enterprises. Moreover, the two remarks may be of interest in the study of the social stratification of workers. In particular, they provide an economic argument of the stratification explored by Touraine (1966) and may also imply some consequences in the definition of labor and in the general relation between labor and capital.
9. CONCLUSION
Contrary to other ideas of Marx and Smith, propositions 1, 5, and 6 commented on in this paper are compatible, at least partially, with different theories that seek to explain how resources are assigned and prices determined. Indeed, the price of each productive factor and its marginal productivity; the profit rate in each branch and its average level in the economy; as well as the value proportion of goods and their relative price may or may not be equal. Nevertheless, the contents of these propositions do not depend on the proximity between the couples of variables just mentioned, some of which may not even be defined.
In a similar manner, consumers may chose a plan without considering the labor commanded by their budgets, which indicates, as shown in Section 5, the amount of labor that they would have to perform in order to acquire the goods that they desire if they own no properties. However, consumers' perception of the relation between their own income and other people's labor (and vice-versa) may influence their judgment on important matters, for instance, about wage negotiations and the state budget. Labor commanded prices are also interesting to ethics because they highlight the fact that the freedom from labor allowed by the different forms of property is possible only because someone else does the work required. Although envisaged here as an imposition of material wants, labor is not conceived as something necessarily unattractive.
For Marx and Smith, labor is related to prices mainly under two different aspects, as producer of goods and as a mean to pay indirectly for merchandises. Production requires time while purchasing occurs instantly, but they determine each other simultaneously in the consumer's choice. The Smithian concept of real price (for society) and its Marxian equivalent of value highlight the net cost paid by society in order to acquire economic goods. In this manner, they provide important arguments favoring politics which tends to diminish social inequalities due to: a) the distribution of income between wages and non-wage revenues and b) wage differentials originated in the capital incorporated into different types of labor.
APPENDIX
This Appendix presents the basic features of fix price equilibrium when markets are organized according to a queue rationing system. It follows Benassy (1982) but presents a simplified version of his work because each agent has the same position in the queues of all the markets and no money is considered. Moreover, I assume that
and
.
As the initial endowments are finite and there are no increasing returns to scale, the greatest quantity that can be offered of any good is also finite. Let Q be an upper bound for these offers,
. Under these conditions, the transaction that an agent can expect to realize in any market is smaller or equal to
for each h,
for each g and
for each f. Hence, all the market situations compatible with the initial endowments, available technology and given prices are comprised within the set
.
Given a vector
, for each h the aggregated demand and offer of good h are
, respectively. The superscript indicates that the summation must include only those coordinates having the corresponding sign. Each agent chooses his desired transaction considering the restrictions imposed by Dh and Sh together with the transactions desired by the agents preceding him in the queue. Therefore, in market h, each enterprise g and each consumer f must choose his desired transaction within the interval determined respectively by the first and the second couple of constraints indicated.


They permit the intervals Tgh = [dgh, sgh] and Tfh= [sfh,dfh] for each couple (g,h) and (f,h), respectively to be defined. As well as the hypercube Tg = Tg1 X Tg2 X...X TgH for each g and Tf = Tf1 X Tf2 X...X TfH for each f. Then, the producer g must choose within the set
and the consumer f within the set
. It is important to remark that in each case the vector chosen is unique. Indeed, due to the fact that
, every transaction possible for the first agent reports an earning greater than zero. Therefore, two different plans can not maximize profits because in that case an additional earning could be reached adding a transaction to any of the plans included only in the other one. For the rest of the agents the singularity of the choice follows from the assumptions in paragraphs IV and V of Section 3. Thus, applying the rationing schema in a vector
led to a second vector
. If supply and demand are not equal in all the markets in the second vector the rationing schema is applied to z' and so on until a vector z* is reached verifying this equality. The preceding indications permit the functions F: Z(p) → Z(p) and
to be defined associating with each z vectors F(z) = z* and G(z) = (G1, ..., GG, G1,...,GF) respectively. In the last, Gg = (dg1, sg1,..., dgH,sgH) for each g and Gf = (sf1, df1,..., sfH ,dfH) for each f.
Given a constraint vector G(z) the effective demand
from agent g (or f) in market h is defined as the choice of the agent in market h when the interval Tgh (o Tfh) has been substituted for Th in Tg (or Tf ). In this manner, the agent considers the restrictions in every market except in market h. It is important to indicate that the choise is unique. Let
be the function associating to each z the vector
where
for each g and
for each f, this function expresses the transaction desired by the agent in each market when the restriction has been suppressed in that particular market.
Definition A.1.
A K- equilibrium for a price system p* is a couple of vectors z and z* such that: a) z* = F(z) and b) z = ζ(z*).
A K- equilibrium is a situation where the consistent transactions depend on the effective demands and vice-versa. It is possible to prove the following proposition.
Theorem A.1. For every p ∈ P such that
there is a K- equilibrium.
Benassy (1982) demonstrates this result in a pure exchange economy. Nevertheless, the proof that he presents is also sufficient for the model considered here on the condition that F(z) are ζ(z) are continuous, something argued in the text just cited for the case of the consumer. The proof of this property for the case of the enterprises does not offer particular difficulties although it is tedious, a reason not to include it here. The interested reader may find this proof in Benítez (1995) and a supplementary discussion of this type of equilibriums in Benassy (2002).
FOOTNOTES
2 Important critics of this thesis are represented by Malthus (1823), Pareto (1978), Bohm-Bawerk (2007) and Samuelson (1966). The counterexample shown by Sraffa (1960, 37-38) is enough to prove the independence of the two sets of variables, although the degree of proximity between them may be a relevant issue. For Smith (1981, 65-67) the thesis holds when all the income goes to wages, but not as a general rule.
3 There is a large literature pointing out different possible meanings of important concepts from the LTV. For instance, Schumpeter (1994, 188) identifies three different labor-value theories in Smith (1981). Marx (2000) criticizes several inconsistencies in the texts of his predecessors and different views about Marx´s concepts are compared in Steedman et al. (1981), Mohum et al. (1994) and in Freeman, Kliman, and Wells (2004).
4 The asterisk distinguishes the interest rate from index i.
5 Alternatively, echoing a suggestion by Debreu (1959, 51), in order for a consumer f to obtain the benefits from the initial endowments a particular "bank" may be introduced for these goods.
6 Let us assume that: a) there is one enterprise jointly producing i and j1, another jointly producing j1 and j2 and so on, b) prices and demands for goods j1 to j are constant and c) given a) and b), an enterprise producing any good from j1 to j increases its offer when the output of this good from other enterprises decreases and vice-versa. On these conditions, when the production of j1 from the first enterprise increases or diminishes the second one will reduce or augment its supply of the couple (j1, j2), respectively. For its part, the third enterprise will increase or diminish its offer of the couple (j2, j3), respectively, and similar changes will take place successively. Therefore,as a consequence of an increase in the production of i the production of j will grow if D is even and will diminish if it is odd. This describes the effect and a set of sufficient conditions; further research is required to determine the necessary conditions.
7 Marx (1990, 279) and Smith (1981, 83) assume that wages are paid on the first date.
8 Pasinetti (1977, 133) points out that for the classical economists advanced wages are not a part of the net product, c is then equal to real income only if it is paid at the end of production.
9 "In every society the price of every commodity finally resolves itself into some one or other, or all of those three parts; and in every improved society, all the three enter more or less, as component parts, into the price of the far greater part of commodities." The three parts mentioned here are wages, rent and profit.
10 "What exclusively determines the magnitude of the value of any article is therefore the amount of labour socially necessary, or the labour-time socially necessary for its production."
11 It follows from the definitions that in system (1) we have w(c) = 1.
12 The following three quotations come from Chapter 9, of Marx (1990). "We have seen that the worker, during one part of the labour process, produces only the value of his labour-power, i. e. the value of his means of subsistence...If the value of his daily means of subsistence represents an average of 6 hours' objectified labour, the worker must work 6 hours to produce that value.... I call the portion of the working day during which this reproduction takes place necessary labour time and the labour expended during that time necessary labour..." (pp. 324-325). "During the second period of the labour process, that in which his labour is no longer necessary labour ... he creates surplus-value which, for the capitalist, has all the charms of something created out of nothing. This part of the working day I call surplus labour time, and to the labour expended duringthat time I give the name of surplus labour..." (p. 325). "In other words, the rate of surplus value, s/v = (surplus labour)/(necessary labour) (p. 326). Morishima (1973, 46-51) presents three different (but equivalent) definitions of ρ, among them the one adopted here.
13 The relevance as well as the difficulty of this conversion is highlighted by Cassel (1967, 178): "The idea that the proceeds of production can be shared according to the principle of causality, in proportion to the work done by each of the several factors, is very popular. It is confirmed when we consider cases where the activities necessary to make the product are homogeneous, and can therefore be reduced to a common measure. It is then possible to distribute arithmetically according to work done. But if the activities required to make the product are of very different kinds, it is impossible to reduce them to a common measure, and there can be no 'correct' distribution in the objective sense. This applies primarily to activities of the most heterogeneous nature which we are accustomed to lump together as "work". There is no common measure for the work of the thinker, the artist, the manager of a business, and the manual worker. Their common product can never be shared according to the work done by each". Some alternative views on this matter are discussed by Klimovsky (1995).
14 "Simple average labour, it is true, varies in character in different countries and at different cultural epochs, but in a particular society it is given. More complex labour counts only as intensified, or rather multiplied simple labour, so that a smaller quantity of complex labour is considered equal to a larger quantity of simple labour. Experience shows that this reduction is constantly being made".
15 "Other distinctions, for instance in the level of wages, depend to a large measure on the distinction between simple and complex labour that was mentioned already in the first chapter of Volume 1, p. 135, and although they make the lot of the workers in different spheres of production veryunequal, they in no way affect the degree of exploitation in these various spheres. If the work of a goldsmith is paid at a higher rate than that of a day-labourer, for example, the former's surplus labour also produces a correspondingly greater surplus-value than does that of the latter. And even though the equalization of wages and working hours between one sphere of production and another, or between different capitals invested in the same sphere of production, comes up against all kinds of local obstacles, the advance of capitalist production and the progressive subordination of all economic relations to this mode of production tends nevertheless to bring this progress to fruition".
16 "That our opinion gives value to things is seen by the many things that we do not think about event to appraise them, preferring to think about ourselves instead. We consider neither their qualities nor their uses, but only the cost to us of getting them, as if that where some part of their substance; and we can value in them not what they bring, but what we bring to them. At which point I note that we are great economizers of our expenditure. According as it weighs, it serves for the very fact that it weighs. Our opinion never let it run at a false valuation. Purchase gives value to the diamond, and difficulty to virtue, and pain to piety, and harshness to medicine".
17 "Every thing in the world is purchased by labour; and our passions are the only causes of labour".
18 "The value of any commodity, therefore, to the person who possesses it, and who means not to use it or consume it himself, but to exchange it for other commodities, is equal to the quantity of labour which it enables him to purchase or command. Labour therefore, is the real measure of the exchangeable value of all commodities. The real price of every thing, what every thing really cost to the man who wants to acquire it, is the toil and trouble of acquiring it. What every thing is really worth to the man who has acquired it, and who wants to dispose of it or exchange it for something else, is the toil and trouble which it can save to himself, and which it can impose upon other people. What is bought with money or with goods is purchased by labour as much as what we acquire by the toil of our own body".
19According to Marx (1991, 118): "The capitalist cost of the commodity is measured by the expenditure of capital, whereas the actual cost of the commodity is measured by the expenditure of labour".
20 "The power which that possession [of a fortune] immediately and directly conveys to him [who possesses the fortune], is the power of purchasing; a certain command over all the labour, or over all the produce of labour which is then in the market".
21 "As soon as land becomes private property, the landlord demands a share of almost all the produce which the labour can either raise, or collect from it. His rent makes the first deduction from the produce of the labour which is employed upon land.
It seldom happens that the person who tills the ground has the wherewithal to maintain himself till he reaps the harvest. His maintenance is generally advanced to him from the stock of a master, the farmer who employs him, and who would have no interest to employ him, unless he was to share in the produce of his labour, or unless his stock was replaced to him with a profit. This profit makes a second deduction from the produce of the labour which is employed upon land".
22 Marx comments the passage quoted in note 8 in the following terms: "Here therefore Adam Smith in plain terms describes rent and profit on capital as mere deductions from the workman's product or the value of his product, which is equal to the quantity of labor added by him to the material.
This deduction, however, as Adam Smith has himself previously explained, can only consist of that part of the labour which the workman add to the materials, over and above the quantity of labour which only pays his wages, or which only provides an equivalent for his wages; that is, the surplus labour, the unpaid part of his labour".
23 It is important to remark that this cost is independent of the amount and of the payment date of the different incomes, because the corresponding data does not affect the production process. See Benítez (2009).
24 A vector l(c) may include the personal services of the entrepreneur and his assistants, as pointed out by Keynes (1973, 213). "I sympathize, therefore, with the pre-classical doctrine that everything is produced by labour, aided by what used to be called art and is now called technique. It is preferable to regard labour, including, of course, the personal services of the entrepreneur and his assistants, as the sole factor of production, operating in a given environment of technique, natural resources, capital equipment and effective demand".
25 "One capitalist always strikes down many others. Hand in hand with this centralization, or this expropriation of many capitalist by a few, other developments take place in an ever-increasing scale, such as the growth of the co-operative form of the labor process, the conscious technical application of science, the planned exploitation of the soil, the transformation of the means of labour into forms in which they can only be used in common, the economizing of all means of production by their use as the means of production of combined, socialized labour, the entanglement of all peoples in the net of the world market, and, with this, the growth of the international character of the capitalist regime".
26 "It is not from the benevolence of the butcher, the brewer, or the baker, that we expect our dinner, but from their regard to their own interest. We address ourselves, not to their humanity but to their self-love, and never talk to them of our own necessities but of their advantages".
27 Kölm (2004) and Zucker (2001) study ethical and political aspects of income distribution. They also provide extensive bibliographies on these matters.
28 "When any expensive machine is erected, the extraordinary work to be performed by it before it is worn out, it must be expected, will replace the capital laid out upon it, with at least the ordinary profits. A man educated at the expense of much labour and time to any of those employments which require extraordinary dexterity and skill, may be compared to one of those expensive machines. The work which he learns to perform, it must be expected, over and above the usual wages of common labour, will replace to him the whole expense of his education, with at least the ordinary profit of an equally valuable capital. It must do this too in a reasonable time, regard being had to the very uncertain duration of human life, in the same manner as to the more certain duration of the machine.
The difference between the wages of skilled labour and those of common labour, is founded upon this principle".
29 "The improved dexterity of a workman may be considered in the same light as a machine or instrument of trade which facilitates and abridges labour, and which, though it cost a certain expense, repays that expense with a profit".
30 "The value of labour-power is determined, as in the case of every other commodity, by the labour-time necessary for the production, and consequently also the reproduction, of this peculiar article".
31 "In order to modify the general nature of an organism in such a way that it acquires skills and dexterity in a given branch of industry, and becomes labour-power of a developed and specific kind, a special education and training is needed, and this in turn cost an equivalent in commodities of a greater or lesser amount. The cost of education varies according to the degree of complexity of the labour-power required. These expenses (exceedingly small in the case of ordinary labourpower) form a part of the total value spent of producing it".
32 According to note 2, the proportion between the cost incurred qualifying a particular type of labor and the quantity of labor required to this end is not necessarily the same for all types of labor.
REFERENCES
[1] Becker, G. (1964). Human capital. New York: Columbia University Press. [ Links ]
[2] Benassy, J. P. (1982). The economics of market disequilibrium. New York: Academic Press. [ Links ]
[3] Benassy, J. P. (2002). The macroeconomics of imperfect competition and nonclearing markets. Cambridge: The MIT Press. [ Links ]
[4] Benítez, A. (1995). Desequilibrio y precios de producción. México: Siglo XXI. [ Links ]
[5] Benítez, A. (2008). Un teorema sobre los precios constantes. In S. Cámara, E. Ortiz, and M. Robles (Eds.), Reproducción y capital: equilibrio y desequilibrio desde una perspectiva crítica de la economía (pp. 63-73). México, UAM-A/EON. [ Links ]
[6] Benítez, A. (2009). El pago del salario. Investigación Económica, 270, 69-96. [(2010). The payment of wages. Denarius, 20, 193-219] [ Links ].
[7] Benítez, A. (2011). Distribution, exploitation and profit rates. Cuadernos de Economía, Vol 30 No 54, 1-19. [ Links ]
[8]. Bohm-Bawerk, E. (2007). Karl Marx and the close of his system. Auburn: Ludwig von Misses Institute. [ Links ]
[9] Cantillon, R. (2001). Essay on the nature of commerce in general. London: Transaction Publishers. [ Links ]
[10] Cassel, G. (1967). The theory of social economy. New York: August M. Kelley Publishers. [ Links ]
[11] Dooley, P. C. (2009). The labour theory of value. New York: Routledge. [ Links ]
[12] Debreu, G. (1959). A theory of value. New York: Cowles Foundation. [ Links ]
[13] Freeman A., Kliman A., and Wells J. (2004). The new value controversy and the foundations of economics. U. K: Edward Elgar Publishing Limited. [ Links ]
[14] Hobbes, T. (1994). Leviathan. Indianapolis: Hackett Publishing Company. [ Links ]
[15] Hume, D. (2008). Selected essays. Oxford: Oxford University Press. [ Links ]
[16] Hutcheson, F. (2000). A system of moral philosophy. Bristol: Thoemmes. [ Links ]
[17] Keynes, J. M. (1973). The general theory of employment, interest and money. Cambridge: MacMillan St. Martin Press. [ Links ]
[18] Klimovsky, E. A. (1995). El concepto del trabajo homogéneo en el sistema de Sraffa y en la tradición clásica. Economía: Teoría y Práctica, Nueva Época, 4, 7-24. [ Links ]
[19] Kölm, S. (2004). Macrojustice. Cambridge: Cambridge University Press. [ Links ]
[20] Locke, J. (2003). Two treatises of government and a letter concerning toleration. New Haven: Yale University Press. [ Links ]
[21] Malthus, R. (1823). The measure of value. London: John Murray. [ Links ]
[22] Marshall, A. (2009). Principles of economics. New York: Cosimo, Inc. [ Links ]
[23] Marx, K. (1990). Capital, Volume 1. New York: Penguin Books. [ Links ]
[24] Marx, K. (1991). Capital, Volume III. New York: Penguin Books. [ Links ]
[25] Marx, K. (2000). Theories of surplus value. New York: Prometheus Books. [ Links ]
[26] Menger, A. (2010). The right to the whole produce of labour. Charleston: Bibliolife. [ Links ]
[27] Mohum, S. (1994). Debates in value theory. New York: St. Martin Press Inc. [ Links ]
[28] Montaigne, M. (2003). Essays in The complete works. New York: Everyman's Library. [ Links ]
[29] Morishima, M. (1973). Marx's economics. Cambridge: Cambridge University Press. [ Links ]
[30] Pareto, V. (1978). Les systèmes socialistas, Geneve: Droz. [ Links ]
[31] Pasinetti, L. L. (1977). Lectures in the theory of production. New York:´Columbia University Press. [ Links ]
[32] Petty, W. (1963). Political arithmetic. New York: Kelley. [ Links ]
[33] Pullen, J. (2010). The marginal productivity theory of distribution. New York: Routledge. [ Links ]
[34] Ricardo, D. (2004). On the principles of political economy and taxation. Indianapolis: Liberty Found. [ Links ]
[35] Samuelson, P. A. (1966). A summing up. Quarterly Journal of Economics, LXXX, 568-83. [ Links ]
[36] Schumpeter, J. (1994). History of economic analysis. New York: Oxford University Press. [ Links ]
[37] Smith, A. (1981). An inquiry into the nature and causes of the wealth of nations. Liberty Found: Indianapolis. [ Links ]
[38] Sraffa, P. (1960). Production of commodities by means of commodities. Cambridge: Cambridge University Press. [ Links ]
[39] Steedman, I. et al. (1981). The value controversy. London: New Left Books. [ Links ]
[40] Touraine, A. (1966). La conscience ouvrière. Paris: Editions du Seuil. [ Links ]
[41] Zucker, R. (2001). Democratic distributive justice. Cambridge: Cambridge University Press. [ Links ]












It is worth noting that given any p ∈ P, the corresponding spot prices are the first U coordinates of p. Thus, the last proposition implies that relative prices of physically defined goods are constant.
there is an initial endowment
in the bank, belonging to consumer f at date
Vectors xf = (xf1,xf2,...,xfH) and yg = (yg1, yg2,...,ygH) represent a plan of consumer f and enterprise g, respectively, the corresponding sets are
.
. B) In yg positive quantities represent offers and negative ones represent demands, there are no offers of labor. C) Yg is closed and convex. D) For each
, enterprise g chooses in Yg a plan that maximizes profits, equal to the product ygp. For every
: E) If
for a certain h there is also in yg at least one demand for labor and another for land. F) The production plans do not consider the price system nor the initial endowments so that offers are not bounded: if
and
there is another plan
such that
are two different efficient points then
is an interior point of Yg for every
. For g = 1: H)
.
. B) In xf, positive quantities represent demands and negative ones represent offers. There are no demands for labor and each consumer offers only one type of labor. C) The consumption plans consider neither the initial endowments nor the price system so that demands are not bounded: if
and
there is another plan
such that
. D) The quantities of labor that a consumer may offer are finite so that Xf is bounded from below. E) Xf is closed and convex. F) There is a utility function
which is continuous, strictly concave and increasing in all its arguments. G) Enterprises belong entirely to consumers. Each consumer f owns a fraction
of enterprise g for every
. On the other hand, for each u, the benefit corresponding to f for his property of dfu is proportional to the fraction that this quantity represents in du. As the bank's offer of u(y1u) on the first date equals its demand on the second one (- y1,2u), the benefit is (dfu/du)(y1u)(pu - p2u). Consequently, consumer f's budget is
where yg is the plan chosen by the enterprise g.
consumer f chooses in Xf the plan that maximizes his or her utility function according to the restrictions of the available budget.










