Services on Demand
Journal
Article
Indicators
-
Cited by SciELO -
Access statistics
Related links
-
Cited by Google -
Similars in
SciELO -
Similars in Google
Share
Innovar
Print version ISSN 0121-5051
Innovar vol.22 no.44 Bogotá Apr. 2012
Camilo Almanza-Ramírez
Economista de la Universidad de Cartagena, con especialización en Economía y maestría en Administración de Empresas de la Universidad del Norte de Barranquilla; doctor en Economía de la Universidad Erlangen-Nuremberg (Alemania). Profesor del Instituto de Estudios Económicos de la Universidad del Norte de Barranquilla, Atlántico. Correo electrónico: almanza@uninorte.edu.co
Recibido: marzo de 2011 Aceptado: marzo de 2012
Resumen:
En este artículo se utiliza un procedimiento en dos fases para estimar la eficiencia en costos de la banca en Colombia y explorar sus determinantes potenciales durante el período 19992007. La eficiencia en costos y sus componentes se calcula en la primera fase mediante la técnica no paramétrica conocida como DEA (Data Envelopment Analysis). En la segunda fase se utiliza una regresión Tobit para examinar la influencia del entorno y de algunas características específicas de cada agente sobre la eficiencia. Los resultados DEA indican niveles de ineficiencia en costos no significativamente diferentes de los parámetros internacionales, la cual, tal como lo señala la literatura empírica, es atribuible a la ineficiencia alocativa. Los resultados econométricos indican que el nivel de eficiencia observado fue influido significativamente por la concentración del mercado, el grado de profundización financiera, la relación de intermediación y el crecimiento económico. En cuanto a las variables específicas, sólo el grado de especialización influyó significativamente en los niveles de eficiencia observados.
Palabras clave:
eficiencia en costos, Data Envelopment Analysis, DEA, regresión Tobit.
Abstract:
A two-phase procedure is used in this article to estimate cost efficiency in the banking system in Colombia and to explore its potential determining factors during the 1999-2007 period. Cost efficiency and its components are calculated in the first phase using the nonparametric technique known as DEA (Data Envelopment Analysis). In the second phase, a Tobit regression is used to examine the influence of the surrounding environment and of certain specific characteristics of each agent on efficiency. The DEA results indicate levels of inefficiency in costs that are not significantly different from international parameters, which, as indicated in the empirical literature, is attributable to inefficiency in allocation. The econometric results show that the observed level of efficiency was significantly influenced by market concentration, the degree of financial depth, the relationship of intermediation and economic growth. Regarding specific variables, only the degree of specialization significantly influenced the observed levels of efficiency.
Keywords:
cost efficiency; data envelopment analysis (DEA); Tobit regression.
Résumé:
Dans cet article un procédé en deux phases est utilisé pour estimer l'efficience en coûts de la banque en Colombie et en explorer les déterminants potentiels durant la période 1999-2007. L'efficience en coûts et ses composantes est calculée dans une première phase par la technique non paramétrique dite DEA (Data EnvelopmentAnalysis). Une régression Tobit est utilisée dans une deuxième phase pour examiner l'influence du milieu et de certaines caractéristiques spécifiques de chaque agent sur l'efficience. Les résultats DEA indiquent des niveaux d'inefficience en coûts qui ne sont pas significativement différents des paramètres internationaux, ce qui, comme le signale la publication empirique, peut s'attribuer à l'inefficience allocative. Les résultats économétriques indiquent que le niveau d'efficience observé a été influencé significativement par la concentration du marché, le niveau d'approfondissement financier, la relation d'intermédiation et la croissance économique. Concernant les variables spécifiques, seul le degré de spécialisation a influencé significativement les niveaux d'efficience observés.
Mots-clefs :
efficience en coûts, data envelopmentanalysis (DEA); régression Tobit.
Resumo:
Neste artigo utiliza-se um procedimento em duas fases para estimar a eficiência em custos da banca na Colômbia e explorar seus determinantes potenciais durante o período 1999-2007. A eficiência em cus-tos e seus componentes calcula-se na primeira fase mediante a técnica não paramétrica conhecida como DEA (Data Envelopment Analysis). Na segunda fase utiliza-se uma regressão Tobit para examinar a influência do entorno e de algumas características específicas de cada agente sobre a eficiência. Os resultados DEA indicam níveis de ineficiência em custos não significativamente diferentes dos parâmetros internacionais, o que, tal como o aponta a literatura empírica, é atribuível à ineficiência alocativa.
Os resultados econométricos indicam que o nível de eficiência observado foi influenciado significativamente pela concentração de mercado, o grau de aprofundamento financeiro, a relação de intermediação e o crescimento econômico. Quanto às variáveis específicas, so o grau de especialização influenciou significativamente os níveis de eficiência observados.
Palavras chave:
eficiência em custos; data envelopment analysis (DEA); regressão Tobit.
Las condiciones generales para la actividad bancaria han cambiado dramáticamente en las últimas décadas en todo el mundo. El sector bancario colombiano no ha sido la excepción. En la primera mitad de la década de los años 1990 se implementaron profundas reformas estructurales orientadas a su fortalecimiento patrimonial, a facilitar su regulación y funcionamiento, a profundizar la bancarización y la actividad financiera, y a mejorar su eficiencia a través del aumento de la competencia abriendo el sector a la inversión extranjera (Clavijo, 2000). Además de los cambios regulatorios, ha habido grandes avances en la tecnologías de información, que no sólo han facilitado el surgimiento de nuevos productos y servicios financieros y un aumento de la competencia (Berger, 2003), sino que también han posibilitado la expansión de las posibilidades de producción bancaria (Frame y White, 2002).
Los cambios regulatorios y tecnológicos y la importancia del sector bancario tanto desde la perspectiva microeconómica como macroeconómica han generado un gran volumen de estudios sobre diferentes aspectos de la actividad bancaria. Particularmente abundante es la literatura académica sobre eficiencia bancaria. La literatura académica temprana sobre eficiencia bancaria se concentró fundamentalmente en la medición de la eficiencia en costos mediante la utilización tanto de técnicas paramétricas como no paramétricas. Esta investigación está principalmente dominada por estudios sobre Estados Unidos, y en un menor grado por estudios sobre los sectores bancarios de otras economías industrializadas (ver, por ejemplo, Berger y Humphrey, 1997; Berger y Mester, 1997; Amel et al., 2002, para una revisión de la literatura).
Recientemente se ha dedicado gran atención a evaluar el impacto sobre la eficiencia bancaria del entorno macroeconómico (ver, por ejemplo, Drake et al., 2006; Pasiouras y Kosmidou, 2007; Albertazzi y Gambacorta, 2009, entre otros autores) y la desregulación financiera (ver Hao et al., 2001; Das y Ghosh, 2009; Pasiouras et al., 2009). De forma similar, se ha explorado el efecto de la estrategia bancaria en el desempeño a través de la incorporación en el análisis de características específicas de los agentes, entre otras, propiedad, tamaño y preferencias por el riesgo (ver Pasiouras, 2008; Sun y Chang, 2010).
En Colombia, la reforma estructural que sufrió el sector bancario a comienzos de la década de los noventa, cuyo objetivo implícito era mejorar su eficiencia, motivó en la última década las investigaciones sobre su eficiencia por parte de Castro (2001), Badel (2002), Estrada y Osorio (2004), Estrada (2005) y ANIF (2006). En todas estas investigaciones se utilizaron técnicas de medición paramétricas, las cuales exigen la especificación de una forma funcional particular que presupone la forma de la frontera. La forma funcional escogida por los autores citados anteriormente para una aproximación local fue la translogarítmica a pesar de que esta especificación proporciona una pobre aproximación para datos bancarios alejados de la escala media de operación y de combinación de productos (Berger y Humphrey, 1997). De otra parte, la gran diversidad de servicios financieros que ofrecen los bancos, y las distorsiones en los precios debidas a la regulación y otras imperfecciones del mercado complican en gran medida la aplicación de métodos paramétricos para estimar la eficiencia técnica, en ingresos, costos o beneficios (Bhattacharyya et al., 1997).
El propósito de este trabajo es contribuir a la literatura empírica sobre eficiencia bancaria, examinando la eficiencia en costos y los componentes de la banca en Colombia para el período 1999-2007. Específicamente, se busca mediante el uso de una técnica no paramétrica en dos fases (two-stage-approach), responder los siguientes interrogantes: ¿Cuál es la fuente principal de ineficiencia del sector? ¿Hubo diferencias significativas en los niveles de eficiencia en costos entre los bancos nacionales y extranjeros? ¿Condujo el direccionamiento estratégico diferente a niveles de eficiencia en costos diferentes? ¿Qué factores del entorno afectaron significativamente los niveles de eficiencia en costos de los bancos? Los resultados obtenidos pueden brindar información valiosa tanto para los responsables de la adopción de medidas de política como para la gerencia de los bancos.
El artículo está estructurado de la siguiente manera: en la segunda sección se describe la metodología para estimar la eficiencia en costos y sus componentes. Los datos y la especificación de los insumos y productos se presentan en la tercera sección. En la siguiente se presentan y discuten los resultados empíricos obtenidos. El análisis de los determinantes potenciales de la eficiencia en costos se presenta en la quinta sección, y el resumen y las conclusiones, en la última sección.
Aspectos metodológicos
Para medir la eficiencia de las instituciones financieras se han utilizado fundamentalmente técnicas de frontera paramétricas y no paramétricas. Los métodos paramétricos requieren una especificación funcional que presupone la forma de la frontera de costos, ingresos o beneficios -generalmente se adoptan formas flexibles como Cobb-Douglas, translogarítimica y Fourier-. Entre las técnicas de frontera paramétricas están: Stochastic Frontier Approach (SFA), Distributions Free Approach (DFA) y Thick Frontier Approach (TFA). Estas técnicas de medición se diferencian entre sí fundamentalmente en la forma impuesta a la frontera y en los supuestos que se adoptan respecto a la función de densidad del término del error y la ineficiencia (Berger y Humphrey, 1997, p. 177). Las técnicas no para-métricas, como Data Envelopment Analysis (DEA) y Free Disposal Hull (FDH), por el contrario, no requieren la especificación de ninguna forma funcional para las funciones de costos, ingresos o beneficios.
En este artículo se utiliza el DEA para estimar la eficiencia en costos y sus componentes. El DEA es una técnica de programación lineal mediante la cual la ineficiencia de una firma se calcula como la distancia entre su combinación observada de insumos/productos a la frontera de la tecnología de referencia de la industria construida a partir de los insumos y productos de todas las firmas de dicha industria.
Considérese un proceso productivo que utiliza
insumos para producir
productos. La tecnología de producción se puede representar mediante el conjunto

El conjunto T contiene todas las combinaciones de insumos y productos que son tecnológicamente posibles. Se asume que T es no vacío, compacto y convexo, y que para todo x ≤ x', y y' ≤ y tanto (x, y) como (x', y') pertenecen a T1. Es decir, se asume que T exhibe libre disposición de insumos y productos (free disposability)2.
Alternativamente, siguiendo a McFadden (1978), se define el componente físico de la tecnología de producción mediante el conjunto

El conjunto V(y) contiene todas las combinaciones de insumos
con los cuales se puede producir como mínimo el vector
. Al igual que T, se asume que V(y) es no vacío, compacto y convexo, y exhibe libre disposición de insumos; es decir, se asume que para todo x ≤ x' tanto x como x' pertenecen a V(y).
Se define la frontera del conjunto de insumos V(y) de la siguiente manera:

La isocuanta ∂V(y) presenta el conjunto de todos los insumos cuya contracción proporcional no puede producir el nivel dado de productos. Como V(y) se supone compacto, se cumple que
.
La capacidad de una firma para producir una cantidad determinada de productos
mediante la utilización de una cantidad determinada de insumos
, es decir su eficiencia técnica, se mide como la máxima contracción posible del vector de insumos
hasta la frontera del conjunto de insumos. La eficiencia tecnica bajo el supuesto de rendimientos constantes a escala y libre disposición de insumos para una firma se calcula resolviendo

Dado el vector de precios de los insumos
, la eficiencia en costos de una firma se define como:

donde el denominador w'x, representa el costo observado3, y el numerador C(y, w), denota el mínimo costo y se calcula resolviendo el problema de optimización

La eficiencia alocativa, es decir, la capacidad del intermediario para escoger la combinación de insumos
que minimiza su costo de producción dado el vector de precios de los insumos
, se calcula como la relación entre la eficiencia en costos (5) y la eficiencia técnica (4). Formalmente

De la ecuación (7) se desprende que la eficiencia en costos se puede descomponer multiplicativamente entre eficiencia alocativa y eficiencia técnica.

Las medidas de eficiencia (4), (5) y (7) son orientadas al insumo y toman valores comprendidos en el intervalo (0,1]. Una firma es considerada eficiente si, y sólo si, la medida de eficiencia para dicha firma toma un valor igual a uno.
Los conceptos descritos anteriormente se ilustran en la figura 1. El conjunto ∂V(y), la frontera de V(y), contiene todas las combinaciones de insumos que son técnicamente eficientes. El vector x es ineficiente, pertenece a V(y) pero no pertenece a ∂V(y). Para eliminar la ineficiencia técnica, distancia
, se debe multiplicar el vector x por el escalar λ = 0Q / 0R. El escalar λ mide la eficiencia técnica, es decir, la máxima contracción posible del vector x hasta ∂V(y).

En la figura 1, II' representa la línea de isocostos y
denota el vector de insumos que minimiza el costo de producción dado el vector de precios
. La eficiencia en costos de la firma que utiliza el vector x, distancia
, se calcula como el cociente entre el costo mínimo w' y el costo observado w'x. En términos de distancia se mide como el cociente 0P/0R. Finalmente, la eficiencia alocativa, distancia
, se mide como la relación 0P/0Q.
Una firma puede ser eficiente desde el punto de vista técnico y alocativo, y sin embargo estar funcionando a un nivel de operación subóptimo, es decir, mostrar ineficiencia de escala. El grado de eficiencia de escala se mide como el ratio entre la eficiencia técnica calculada respecto a una tecnología de referencia con rendimientos constantes a escala
y la eficiencia técnica calculada respecto a una tecnología de referencia con rendimientos variables a escala V. Se considera que la firma funciona en la escala óptima, si, y sólo si, EFE (y,x) = 1.

La figura 2 ilustra la medición de la eficiencia de escala orientada al insumo. El nivel de operación técnicamente óptimo está representado por el punto A. La eficiencia técnica de la firma E respecto la tecnología con rendimientos variables, distancia
, es igual al ratio DB/BE. La eficiencia técnica de la firma E respecto la tecnología con rendimientos constantes, distancia
, es igual al ratio BC/BE. La ineficiencia de escala de la firma E es el ratio BC/BD (Coelli et al., 2005, p. 60).

De las ecuaciones (8) y (9) se deduce que la eficiencia en costos, dada una combinación de insumos y productos
y un vector de precios
se puede descomponer de la siguiente manera:

Para calcular las medidas de eficiencia descritas anteriomente, siguiendo a Fukuyama y Weber (2002), se construyó la tecnología de referencia para cada período a partir de los
insumos utilizados por los k = 1,..,K bancos para producir
productos de la siguiente manera:

donde las zk, son variables de intensidad que permiten generar combinaciones lineales de insumos y productos del conjunto insumos y productos de todos los bancos. Las desigualdades
modelan libre disposición de productos e insumos (L) y
impone rendimientos constantes a escala (
)4.
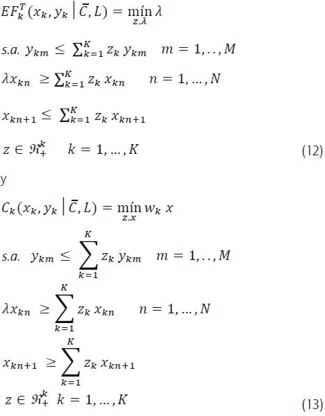
Para obtener las medidas de eficiencia (4) a (9) del banco k para cada período de tiempo t se utilizó la información contenida en (11) para plantear y resolver los siguientes programas lineales:

donde se ha agregado una restricción adicional en los insumos, para el insumo n + 1, con el fin de incluir el capital financiero como insumo fijo (Färe et al., 2004).
La medida de eficiencia de escala, ecuación (9), aunque revela si una firma opera en una escala ineficiente, no señala el origen de esta ineficiencia. Para determinar la fuente de ineficiencia es necesario calcular la eficiencia técnica de dicha firma bajo supuestos diferentes en relación con los rendimientos a escala de la tecnología de referencia. Particularmente se debe calcular la eficiencia técnica respecto a tecnologías con rendimientos no crecientes (N) y variables a escala (V). La eficiencia tecnica bajo rendimientos no crecientes a escala (N) se calculó agregando la restricción
al problema (12). De forma similar, si se agrega si la restricción
se calcula la eficiencia técnica bajo rendimientos variables a escala = 1 (ver Färe et al., 1994, p. 60).
Con base en las diferentes medidas de eficiencia obtenidas, adoptando el criterio propuesto por Fukuyama (2000) y Färe et al. (1985), se determinó la fuente de la ineficiencia de escala de la siguiente manera:
i) La ineficiencia de escala se debe a los rendimientos crecientes cuando EFS(y,x) < 1 y 
ii) La ineficiencia de escala se debe a los rendimientos decrecientes cuando EFS(y,x) < 1 y 
Los datos trimestrales de junio de 1999 a diciembre de 2007 fueron tomados de la Superintendencia Financiera. Entre junio de 1999 y diciembre de 2007 había en Colombia 16 bancos. El análisis se hace sólo para 15 bancos. El Banco Agrario, único banco estatal, fue excluido debido a las inconsistencias y drásticos y repentinos cambios observados en la información5.
Los bancos son considerados intermediarios financieros que producen créditos y leasing (y1) e inversiones (y2). El precio de los créditos (p1), se calcula como la relación entre los ingresos de intereses y el total de créditos y operaciones leasing6. El precio de las inversiones (p2), se estima como el cociente entre los ingresos por ventas de inversiones más los dividendos recibidos y las inversiones totales. Los bancos utilizan como insumos depósitos y exigibilidades (x1), trabajo (x2) y capital físico (x3) para la producción de los dos productos. El precio de los depósitos (w1), es igual a los gastos de intereses -depósitos y exigibilidades- dividido por el total depósitos y exigibilidades. El precio trabajo (w2), es igual a los gastos de personal dividido por el número de trabajadores. El precio del capital físico (w3), es igual a los gastos administrativos divididos por el total activos fijos y otros activos7. En el modelo se incluye el capital financiero x4 como input fijo debido al efecto que tiene sobre la estructura de costos de los bancos. El capital financiero afecta directamente el riesgo de insolvencia y, a través de este, los costos bancarios vía prima de riesgo por créditos no asegurados e intensificación de la gestión del riesgo. De otra parte, el nivel de capital afecta directamente los costos, proporcionando una alternativa a los depósitos como fuente de financiación del crédito. Finalmente, el nivel de capitalización de un banco refleja el grado de aversión al riesgo: niveles de capitalización elevados reflejarían una mayor aversión al riesgo (Berger y Mester, 1997). En consecuencia, si se excluye esta variable del análisis, se puede subestimar la medición de la eficiencia (Berger y Humphrey 1997).
La tabla 1 proporciona estadísticas descriptivas de las variables para todos los bancos y para los bancos clasificados en nacionales y extranjeros. La elevada dispersión de las variables respecto a sus valores medios revela la existencia de importantes diferencias entre bancos y entre grupos de bancos. En efecto, las pruebas efectuadas Wilcoxon-Mann-Whitney y Kruskal-Walis indican la existencia de diferencias significativas entre ambos grupos. Específicamente, que el nivel de insumos y productos de los bancos nacionales es significativamente mayor que el de los bancos extranjeros8.
Los programas lineales relacionados con la eficiencia técnica y el costo mínimo se resolvieron para estimar la eficiencia en costos y sus componentes. Los resultados promedio del período para el total de bancos y por grupos de bancos se presentan en la tabla 2. Los resultados muestran una ineficiencia en costos significativa, así como una elevada variabilidad en los resultados. La eficiencia en costos promedio para el período 1999-2007 de los 15 bancos analizados, el 94% del total, fue del 75,4% con un mínimo promedio de 48,1% y una desviación estándar del 15,1%, que evidencia la existencia de notables diferencias en comportamiento entre bancos. La eficiencia promedio del 75,4% indica que el nivel de productos producidos se hubiera podido obtener con menos insumos y, dados sus precios, con un costo de producción menor en un 24,6%. Este nivel de ineficiencia es atribuible a la ineficiencia alocativa y no a la ineficiencia técnica pura o a la ineficiencia de escala. La metodología DEA arrojó una eficiencia alocativa promedio del 81,7%, es decir, una ineficiencia alocativa del 18,3%, mientras que la pura ineficiencia técnica y la ineficiencia de escala fueron del 3,1% y 4,7%, respectivamente (tabla 2). Los presentes cálculos indican, en concordancia con lo anotado por Berger y Humphrey (1997), que la incapacidad de las firmas para minimizar sus costos es más importante para explicar la ineficiencia que la incapacidad para escoger el nivel de operación óptimo.

Para los bancos agrupados de acuerdo con el origen del capital, los resultados obtenidos indican que los bancos extranjeros lograron niveles de eficiencia en costos superiores a los de sus competidores nacionales. Los bancos extranjeros alcanzaron una eficiencia en costos promedio del 80,4%, es decir, una ineficiencia del 19,6%, mientras que los bancos nacionales registraron una eficiencia promedio del 72,3%, o sea una ineficiencia del 27,7%. Desde el punto de vista estadístico, sin embargo, toda una artillería de pruebas paramétricas y no paramétricas muestra que no existen diferencias significativas entre ambos grupos ni en los niveles de eficiencia en costos, ni en sus componentes. Los resultados indican, además, que el origen de la ineficiencia en ambos casos es el mismo: la ineficiencia alocativa,mientras que la elevada dispersión denota la existencia de diferencias importantes en los niveles de eficiencia intragrupo.
De otra parte, la metodología DEA se utilizó para determinar la ineficiencia de escala y sus fuentes de conformidad a lo expuesto en la tercera sección. Los resultados (tabla 3). Indican que el 93% de los bancos (14 de 15 bancos) registraron ineficiencia de escala, la cual es atribuible a los rendimientos decrecientes a escala [EFT(C )<EFT(N)]. Es decir, la ineficiencia de escala se debe a que los bancos se encontraban operando en la zona de rendimientos decrecientes de la tecnología de producción. Esto indicaría que el sector bancario colombiano está sobredimensionado a pesar de la reforma estructural de principios de los noventa y de la reducción dramática de su tamaño motivada por la crisis del sector de finales de esa misma década.

Finalmente, mediante la metodología DEA se identificaron los bancos con mejor desempeño durante el período 19992007 (tabla 4). El hecho por resaltar de los resultados obtenidos es que los niveles de eficiencia en costos promedio más elevados fueron logrados por bancos extranjeros (96,7% Citibank y 92,3% ABN-AMRO Bank), lo cual evidencia el papel que han desempeñado los bancos extranjeros en el establecimiento de patrones de comportamiento luego de su liberalización a la inversión extranjera.

Una vez calculada la eficiencia en costos de la banca en Colombia, el paso a seguir es explorar los factores que influyeron en los niveles de eficiencia observada. Específicamente, aquí interesa evaluar el impacto sobre la eficiencia de algunas variables del entorno en el cual los bancos ejercen su actividad, así como de algunas variables específicas de cada intermediario. Para este propósito se especifica, como en muchos estudios de este tipo (ver, por ejemplo, Casu y Mollyneux, 2003; Chang y Chiu, 2006; Ariff y Can, 2008; Rezitis, 2008; Pasiouras, 2008, entre otros), una regresión Tobit censurada de efectos aleatorios. La regresión Tobit permite tener en cuenta la naturaleza censurada de la eficiencia en costos -toma valores entre cero y uno- y, por consiguiente, arroja estimadores consistentes cuando el término del error se distribuye normalmente y es homocedástico (Wooldridge, 2002, p. 533). La regresión Tobit con un límite izquierdo censurado de cero y un límite derecho censurado de uno se formula de la siguiente forma:

donde el término del error, vk consta de dos componentes μk y εk. Se asume que
. Los μk son factores aleatorios que capturan los cambios en eficiencia relacionados con las variables incluidas en el modelo. Los εk representan perturbaciones estocásticas y se asumen no correlacionadas. Adicionalmente, se asume que μk y εk son independientes entre sí y de las variables explicativas (Verbeek, 2004, p. 315). Finalmente, el vector Xk contiene variables que capturan los elementos esenciales del entorno y variables específicas de cada agente. La escogencia de las variables por incluir en el modelo se efectuó con base en la literatura empírica debido a la escasa conceptualización teórica sobre el particular. Para capturar los elementos esenciales del entorno se consideraron diferentes variables relacionadas con la estructura del mercado y la regulación, el acceso a los servicios financieros y las condiciones fundamentales bajo las cuales se efectúa la actividad bancaria. Estas variables, su descripción, símbolo y efectos esperados se resumen en la tabla 5.

Como indicador de estructura de mercado se utilizará el índice de concentración Herfindahl-Hirschman (HHI). El HHI se calcula como la suma de la participación de los bancos en los activos totales elevadas al cuadrado. De acuerdo con Dietsch y Lozano (2000), el efecto de un elevado HHI sobre la eficiencia en costos es ambiguo. Si la elevada concentración otorga poder de mercado a un banco o un pequeño grupo de bancos, la estructura de costos y la concentración están positivamente correlacionadas, lo que se traduce en una menor eficiencia. Si la elevada concentración es el resultado de un mejor desempeño, se puede asociar con costos de producción más bajos y se obtendrá un coeficiente positivo para esta variable. La participación de los bancos extranjeros en el total de activos (PBE) se utiliza como proxy del grado de liberalización de la industria. Dependiendo de su efecto en los costos de producción, se puede esperar un efecto positivo o negativo en la eficiencia. El coeficiente será negativo si la liberalización conduce a un aumento de los costos debido al incremento de la competencia. Por el contrario, se espera un coeficiente positivo si el incremento de la competencia conduce a una disminución de los costos.
La profundización financiera es un proceso que se asocia con una mayor intermediación. Tres variables miden la profundización financiera y el acceso a los servicios financieros. La primera variable es un índice de profundidad financiera (IPF) calculado como el ratio entre la oferta monetaria ampliada (M3) y el PIB. Se espera que exista una relación directa entre IPF y la eficiencia en costos. La relación de intermediación (RI), definida como el portafolio de créditos dividido por el total de depósitos y exigibilidades, captura la capacidad de un intermediario para convertir los depósitos en créditos. Entre mayor sea RI, menores serán los costos de producción bancarios y mayor será la eficiencia. La variable DTF mide el tipo de interés del mercado: el incremento del tipo de interés se traduce en costos bancarios crecientes no solo por el aumento de los gastos de interés, sino también a través de su impacto negativo en la calidad del crédito vía mayor riesgo e incertidumbre.
El último grupo de variables de entorno describe las condiciones principales bajo las cuales los bancos desarrollan su actividad, e incluye la densidad poblacional (DP), la densidad de demanda (DD) y el crecimiento económico (CE). Siguiendo a Dietsch y Lozano (2000) y Carvallo y Kasman (2005), se asume que hay una relación inversa entre la densidad poblacional y los costos bancarios: en regiones con baja densidad poblacional la oferta de servicios bancarios se hace con elevados costos; en consecuencia, en estas regiones no existen incentivos para incrementar la eficiencia. La densidad de demanda (DD) medida como los depósitos por kilómetro cuadrado es fundamental para la determinación de la eficiencia. Bancos operando en mercados de baja densidad de demanda incurren en gastos más elevados debido a que este factor impone un límite al nivel de eficiencia realizable (Dietsch y Lozano, 2005). Finalmente, la tasa de crecimiento del producto (CE) captura el efecto de las condiciones macroeconómicas en la eficiencia en costos. Los resultados en la literatura empírica sobre el particular son ambiguos. Maudos et al. (2002) encuentran que los bancos que operan en mercados en expansión registran elevados niveles de eficiencia en beneficios. Sin embargo, bajo condiciones de expansión de demanda, los bancos pueden sentir menos presión por controlar sus costos y, en consecuencia, ser menos eficientes en costos. De otra parte, Kasman y Yildirim (2006) detectan que entre mayor es la tasa de crecimiento del producto, menores son los costos y más eficientes son los bancos.
Respecto a las variables específicas se definen indicadores que reflejan la estrategia y las preferencias por el riesgo de cada agente (tabla 6). La participación de cada banco en los créditos y depósitos del sector (PM) se utiliza como proxy del tamaño. Un efecto positivo (negativo) de esta variable indicaría que la eficiencia aumenta (disminuye) con el tamaño. Sin embargo, dada la existencia de economías de escala y alcance, se esperaría que el efecto fuera positivo. Las diferencias en eficiencia debidas a la especialización son capturadas por la variable CCTC, medida como la participación del crédito comercial en el portafolio de créditos de cada intermediario. Contrario a los bancos especializados en el crédito comercial, los bancos especializados en crédito hipotecario y de consumo tienen un gran número de clientes, lo que se traduciría en costos administrativos y de información más elevados. Una baja relación CCTC indicaría especialización en crédito comercial e hipotecario, elevados costos y una menor eficiencia. Por el contrario, una elevada relación CCTC apuntaría hacia la especialización en créditos comerciales y, en consecuencia, a unos menores costos y una mayor eficiencia.

Siguiendo a Ariff y Can (2008), se definieron tres variables, que capturan las diferencias en eficiencia originadas por la estructura de riesgo. La primera variable (CTAT) es una proxy del riesgo de crédito y se calcula como la relación entre el total de créditos y los activos totales. Se espera una relación negativa entre esta variable y la eficiencia debido a que los bancos que otorgan un mayor volumen de créditos asumen un mayor riesgo y deben enfrentar, por tanto, costos más elevados. La segunda variable (CVCT) describe la calidad del portafolio de créditos y se calcula como la relación cartera vencida-cartera total. Asumiendo que los bancos buscan maximizar sus beneficios con el menor riesgo, se espera un signo negativo del coeficiente de esta variable, dado que un menor riesgo implica costos de información y verificación más elevados. La relación entre los créditos totales y los depósitos totales (CTDT) se utiliza como indicador del riesgo de liquidez. Esta variable puede tener efectos positivos o negativos en la eficiencia. Se espera un efecto positivo cuando el mayor riesgo se diversifica mediante la asignación de un mayor número de créditos. Por el contrario, se espera un coeficiente negativo cuando el riesgo de crédito y de liquidez se aumenta debido al incremento de la cartera vencida.
La variable ROA se utiliza como indicador de la rentabilidad del activo. La maximización del beneficio implica la minimización de los costos. En consecuencia, se espera un impacto positivo de esta variable sobre la eficiencia. La rentabilidad del activo sirve, además, como variable de control que permite verificar los niveles de eficiencia obtenidos. Una característica importante del sistema financiero colombiano es la existencia de conglomerados financieros propietarios de varias instituciones. La variable dicotómica GRUP busca medir las diferencias en eficiencia originadas por pertenecer a un conglomerado. En esta misma dirección, la variable PROP se introduce para determinar si el origen del capital permite explicar diferencias en eficiencia.
Las variables específicas para cada intermediario se calcularon a partir de la información consignada en los balances generales y estados de pérdidas y ganancias entregada a la Superintendencia Financiera. La información necesaria para el cálculo de la variables de entorno se obtuvo del Banco de la República. Algunas estadísticas descriptivas se registran en la tabla 7.
La regresión Tobit arroja estimadores consistentes cuando el término del error satisface los supuestos de normalidad y homocedasticidad. Los valores de eficiencia generados mediante la metodología DEA no se distribuyen normalmente: se acumulan en el límite superior y de esta forma generan un sesgo en la distribución (Wutz, 2002). De otra parte, las investigaciones empíricas sobre los determinantes de la eficiencia muestran que firmas con características diferentes pueden registrar niveles de eficiencia diferentes. Sobre esta base se recurre al método de Bootstrap para calcular errores estándares robustos9. Los resultados de la estimación se presentan en la tabla 8.

Respecto a las variables de entorno, los resultaron muestran que la concentración (HHI), la profundidad financiera (IPF), la relación de intermediación (RI) y el crecimiento económico (CE) tuvieron un impacto significativo en los niveles de eficiencia observados. El signo positivo del coeficiente de la variable HHI indica que el actual nivel de concentración del mercado es el resultado de una mayor productividad, lo que se traduce en menores costos de producción y en una mayor eficiencia. El grado de monetización de la economía medido por la relación M3/PIB registra una asociación positiva significativa con la eficiencia. Esto confirma que la eficiencia bancaria aumenta en la medida en que los costos de transacción promedio disminuyen con el incremento del número de transacciones. Como se esperaba, existe una relación directa significativa entre la eficiencia en costos y el ratio de intermediación (RI). El impacto negativo de esta variable indica un comportamiento subóptimo de los bancos en la transformación de depósitos en créditos, que eleva los costos y disminuye la eficiencia. Finalmente, se encontró evidencia de que el crecimiento del PIB está relacionado positivamente con la eficiencia en costos. Este resultado, dado el crecimiento de la economía colombiana durante el período 1999-2007 de solo el 2,8% en promedio (tabla 7), parece confirmar la tesis según la cual los bancos en períodos de recesión o de poco crecimiento económico controlan mejor sus costos para asegurar la rentabilidad del negocio.
Respecto a las variables específicas hay que resaltar el impacto significativo que tuvo el grado de especialización en la eficiencia en costos. El signo negativo del coeficiente asociado a esta variable indicaría que los bancos en Colombia, gracias a la elevada participación de los créditos hipotecarios y de consumo en el portafolio total de créditos, enfrentan costos más elevados y, por ende, registran niveles de eficiencia más bajos.
El propósito de este trabajo era analizar el sector bancario colombiano. Concretamente, determinar la eficiencia en costos y sus componentes para el período 1999-2007 y explorar el impacto de algunas variables de entorno y específicas de cada intermediario en los niveles de eficiencia.
La técnica de medición empleada (DEA), arrojó una eficiencia en costos promedio del 75,9%, lo cual indica ahorros realizables respecto a los costos observados del 24,1%.
El nivel de eficiencia en costos promedio del sector bancario colombiano no difiere mucho de los promedios internacionales. Berger y Humphrey (1997) en su revisión de 130 estudios empíricos de eficiencia efectuados para 21 países reportan una eficiencia promedio de aproximadamente 77%. Más recientemente, Kasman y Yildirim (2006) obtienen una eficiencia en costos promedio del 79,5% para ocho de los nuevos miembros de la Unión Europea10. De otra parte, se podría concluir que ha habido una mejora en los niveles de eficiencia del sector bancario colombiano si se comparan estos resultados con los resultados de investigaciones anteriores, por ejemplo, con el 55% para el período 1994-1999 reportado por Castro (2001), con el 73% reportado por Badel (2002) para el período 19982002, con el 73% para el período 1994-2004 reportado por Estrada (2005) y con 63% para el período 1994-2005 reportado por ANIF (2006).
El análisis de los componentes de la eficiencia en costos, de conformidad con la creencia general, reveló que la mayor parte de la ineficiencia observada es atribuible a la ineficiencia alocativa. En efecto, mientras la ineficiencia técnica y la de escala en promedio fueron del 3,1% y 4,7%, respectivamente, la ineficiencia alocativa fue del 19,3% (tablas 2 y 4). En síntesis, la mayor parte de la ineficiencia en costos de los bancos en Colombia se debe a fallas en la escogencia de la cantidad óptima de insumos dados sus precios y el nivel de producción11. Esta suboptimalidad es, por regla general, atribuible a la calidad de la gerencia y, en consecuencia, la solución para lograr la disminución realizable en costos se encontraría en el aprovechamiento del potencial vía mejoramiento y profundización de los procesos de racionalización internos.
Finalmente, el ejercicio econométrico indica que la autoridad monetaria y la supervisión poseen un elevado potencial para influir, a través de algunas variables de entorno, en los niveles de eficiencia bancarios. Particularmente, podrían adoptar medidas de política orientadas al logro de metas específicas en lo relacionado a la concentración del mercado, la profundización financiera, la relación de intermediación y el crecimiento económico.
2 Para una explicación detallada sobre libre disposición (free disposability) de insumos y productos, ver Färe et al. (1994, p. 38).
3 w' en (5) es el traspuesto del vector de precios.
4 Para una explicación detallada sobre la forma de modelar tecnologías de referencia bajo supuestos diferentes respecto a la disposición de insumos y productos, ver Färe, Grosskopf y Lovell (1994).
5 Estas inconsistencias podrían estar relacionadas con la adquisición, por parte del Banco Agrario, de los activos y pasivos de la Caja de Crédito Agrario en junio de 1999.
6 Los ingresos de intereses no incluyen los ingresos de repos interbancarios y los ingresos de intereses por depósitos en otras entidades financieras.
7 Los gastos administrativos no incluyen los gastos de personal, pero sí la depreciación y amortización.
8 Las pruebas de normalidad Shapiro-Francia y SK-test rechazan al 95% y 99% la hipótesis de normalidad, lo cual hacía inadecuado el análisis ANOVA para comparación de medias. Para mayor información sobre las pruebas no paramétricas Wilcoxon-Mann-Whitney y Kruskal-Walis, ver Pratt y Gibbons (1981, pp. 249-265).
9 De acuerdo con Drukker (2002), la prueba condicional de momentos para normalidad después de la regresión Tobit no tiene distorsiones importantes y posee una potencia razonable cuando los valores críticos se calculan mediante el método Bootstrap paramétrico.
10 En su investigación, Kasman y Yildirim calculan la eficiencia en costos y en beneficios de nueve nuevos miembros de la Unión Europea. Los cálculos se hicieron para República Checa, Estonia, Hungría, Letonia, Lituania, Polonia, Eslovaquia y Eslovenia.
11 Cabe señalar que el capital financiero se incluyó en los modelos como input fijo, y no se determinó un precio para este insumo.
Albertazzi, U. & Gambacorta, L. (2009). Bank profitability and the business cycle. Journal of Financial Stability, 5(5), 393-409. [ Links ]
Amel, D., Barnes, C., Panetta, F. & Salleo, C. (2002). Consolidation and efficiency in the financial sector: A review of the international evidence. Finance and Economics Discussion Series - Federal Reserve Board, 47. [ Links ]
Ariff, M. & Can, L. (2008). Cost and Profit Efficiency of Chinese Banks: A non-parametric Analysis. China Economic Review, 19(2), 260-273. [ Links ]
Asociación Nacional de Instituciones Financieras, ANIF. (2006). Fusiones y adquisiciones en el sector financiero colombiano: su impacto sobre la eficiencia (1990-2005). Santafé de Bogotá [ Links ].
Badel Flores, A. (2002). Sistema bancario colombiano: ¿Somos eficientes a nivel internacional? Archivos de Economía, 190. [ Links ]
Berger, A. N. (2003). The economical effects of technological progress: evidence from the banking industry. Journal of Money, Credit and Banking, 35(2), 141-176. [ Links ]
Berger, A. N. & Humphrey, D. B. (1997). Efficiency of financial institutions: International survey and directions for future research. European Journal of Operational Research, 98(2), 175-212. [ Links ]
Berger, A. N. & Mester, L. (1997). Inside the black box: What explains differences in the efficiencies of financial institutions? Journal of Banking & Finance, 21(7), 895-947. [ Links ]
Bhattacharyya, A., Lovell, C. A. & Sahay, P. (1997). The impact of liberalization on the productive efficiency of Indian commercial banks. European Journal of Operational Research, 98(2), 332-345. [ Links ]
Carvallo, O. & Kasman, A. (2005). Cost efficiency in the Latin American and Caribbean banking systems. Journal of International Financial Markets, Institutions and Money, 15(2), 55-72. [ Links ]
Castro, C. A. (2001). Eficiencia-X en el sector bancario colombiano. Archivos de Economía, 158. [ Links ]
Casu, B. & Molyneux, P. (2003). A comparative study of efficiency in European banking. Applied Economics, 35(17), 1865-1876. [ Links ]
Chang, T.-C. & Chiu, Y.-H. (2006). Affecting factors on risk-adjusted efficiency in Taiwan's banking industry. Contemporary Economic Policy, 24(4), 634-648. [ Links ]
Clavijo, S. (2000). Hacia la multibanca en Colombia: retos y retazos financieros. Borradores de Economía, 150. [ Links ]
Coelli, T. J., Prasada, D. S., O'Donnell, C. J., Battese, G. E. (2005). An introduction to efficiency and productivity analysis (2nd. ed.). New York: Springer-Verlag. [ Links ]
Das, A. & Ghosh, S. (2009). Financial deregulation and profit efficiency: A nonparametric analysis of Indian banks. Journal of Economics and Business, 61(6), 509-528. [ Links ]
Dietsch, M. & Lozano-Vivas, A. (2000). How the environment determines banking efficiency: A comparison between French and Spanish industries. Journal of Banking & Finance, 24(6), 985-1004. [ Links ]
Drake, L., Hall, M. J. & Simper, R. (2006). The impact of macroeconomic and regulatory factors on bank efficiency: A non parametric analysis of Hong Kongs banking system. Journal of Banking & Finance, 30(5), 1443-1466. [ Links ]
Drukker, D. M. (2002). Bootstraping a conditional moments test for normality after tobit estimation. The Stata Journal, 2(2), 125-139. [ Links ]
Estrada, D. (2005). Efectos de las fusiones sobre el mercado. Borradores de Economía, 329. [ Links ]
Estrada, D. & Osorio, P. (2004). Effects of Financial Capital on Colombian Banking Efficiency. Ensayos sobre Política Económica, 47, 161-201. [ Links ]
Färe, R., Grosskopf, S. & Lovell, K. C. (1985). The Measurement of Efficiency of Production. Boston: Kluwer. [ Links ]
Färe, R., Grosskopf, S. & Lovell, K. C. (1994). Production Frontiers. Cambridge, MA: Cambridge University Press. [ Links ]
Färe, R., Grosskopf, S. & Weber, W. L. (2004). The effect of risk-based capital requirements on profit efficiency in banking. Applied Economics, 36(15), 1731-1743. [ Links ]
Frame, S. W. & White, L. J. (2002). Empirical studies of financial innovations: lots of tolks, little action? Working Paper, Federal Reserve Bank of Atlanta, 12. [ Links ]
Fukuyama, H. (2000). Returns to scale and scale elasticity in data envelopment analysis. European Journal of Operational Research, 125(1), 125, 93-112. [ Links ]
Fukuyama, H. & Weber, W. L. (2002). Estimating output allocative efficiency and productivity change: Application to Japanese banks. European Journal of Operational Research, 137(1), 177-190. [ Links ]
Hao, J., Hunter, W. C. & Yang, W. K. (2001). Deregulation and efficiency: the case of private Korean banks. Journal of Economics and Business, 53(2-3), 237-254. [ Links ]
Kasman, A. & Yildirim, C. (2006). Cost and profit efficiencies in transition banking: the case of new EU members. Applied Economics, 38(9), 1079-1090. [ Links ]
Maudos, J., Pastor, J. M., Pérez, F. & Quesada, J. (2002). Cost and profit efficiency in European banks. Journal of International Financial Markets, Institutions and Money, 12(1), 33-58. [ Links ]
McFadden, D. (1978). En Fuss, M. & McFadden, D. (Eds.), Production economics: A dual approach to theory and aplications (Vol. 1). Amsterdam: New Holland. [ Links ]
Pasiouras, F. (2008). International evidence on the impact of regulations and supervision on bank's technical efficiency: an application of two-stage-data envelopment analysis. Review of Quantitative Finance & Accounting, 30(2), 187-223. [ Links ]
Pasiouras, F. & Kosmidou, K. (2007). Factors influencing the profitability of domestic and foreing banks in the European Unión. Research in International Business and Finance, 21(2), 222-237. [ Links ]
Pasiouras, F., Tanna, S. & Zopounidis, C. (2009). The impact of banking regulations on banks' cost and profit efficiency: Cross-country evidence. International Review of Financial Analysis, 18(5), 294-302. [ Links ]
Pratt, J. W. & Gibbons, J. D. (1981). Concepts of Nonparametric Theory. New York: Springer-Verlag. [ Links ]
Rezitis, A. N. (2008). Efficiency and productivity effects of bank mergers: Evidence from the Greek banking industry. Economic Modelling, 25(2), 236-254. [ Links ]
Shephard, R. W. (1970). Theory of Cost and Production Functions. Princeton, NJ: Princeton University Press. [ Links ]
Sun, L. & Chang, T.-p. (2010). A comprehensive analysis of the effects of risk measures on bank efficiency: Evidence from emerging Asian countries. Journal of Banking and Finance, 35(7), 1727-1735. [ Links ]
Verbeek, M. (2004). A Guide to Modern Econometrics (2nd. ed.). New York: John Wiley & Sons. [ Links ]
Wooldridge, J. (2002). Econometric Analysis of Cross Section and Panel Data. Cambridge, MA: The MIT Press. [ Links ]
Wutz, A. (2002). Wie beeinflusst das Umfeld einer Bank die Effizienz? Volkswirtschaftliche Diskussionsreihe, Universität Ausburg, 215. [ Links ]













