Services on Demand
Journal
Article
Indicators
-
Cited by SciELO -
Access statistics
Related links
-
Cited by Google -
Similars in
SciELO -
Similars in Google
Share
Ingeniería y Desarrollo
Print version ISSN 0122-3461
Ing. Desarro. vol.31 no.1 Barranquilla Jan./June 2013
ARTÍCULO DE INVESTIGACIÓN / RESEARCH ARTICLE
Herramienta computacional para el estudio de la ferroresonancia en transformadores
Computational tool for analysis of ferroresonance in transformers
Jorge Enrique Celis Montero* Andrés Fernando Restrepo Álvarez** Ferley Castro Aranda***
Escuela de Ingeniería Eléctrica y Electrónica Universidad del Valle (Colombia)
* jorge.celis@correounivalle.edu.co
** andres.restrepo@correounivalle.edu.co
*** ferley.castro@correounivalle.edu.co
Correspondencia: Calle 13 No. 100-00, edificio 356, Universidad del Valle, Cali (Colombia).
Subvenciones y Apoyos: Investigación financiada por COLCIENCIAS, en el marco del proyecto titulado "Herramienta para el estudio de ferroresonancia en transformadores conectados con cables", Código
Fecha de recepción: 11 de abril de 2012
Fecha de aceptación: 24 de octubre de 2012
Resumen
En este artículo se presenta una herramienta computacional llamada FerroUV que permite evaluar el fenómeno de ferroresonancia en transformadores de distribución conectados con cables de potencia apantallados. Debido a la complejidad de la ferroresonancia, se requiere del uso de herramientas de simulación y datos muy especializados para su análisis, lo cual dificulta una rápida evaluación. Dado que actualmente existen pocas herramientas computacionales enfocadas al análisis de la ferroresonancia, FerroUV se presenta como una herramienta computacional alternativa que facilita el estudio de este fenómeno, con el objetivo de determinar los mecanismos para evitar o reducir los riesgos asociados a la ferroresonancia. FerroUV integra tres grandes componentes: una base de datos local a través de MySQL para la consulta de los parámetros de configuración de los elementos bajo estudio; una poderosa capacidad de cálculo matemático y una intuitiva interfaz de usuario que permite el fácil ingreso de los parámetros de interés y la entrega de resultados útiles para tomar decisiones apropiadas.
Palabras Claves: Base de Datos; Cables apantallados; Ferroresonancia; Herramienta Computacional; Transformadores.
Abstract
This paper presents a computational tool named FerroUV which is capable of evaluating ferroresonance phenomenons in distribution transformers connected by shielded power cable. Due to the complexity of the ferroresonance phenomenon, analysis requires the use of simulation tools, as well as, highly specialized data clusters, which hinders its rapid assessment. Since there are currently few commercial tools aimed to analysis of ferroresonance, FerroUV is presented as an alternative computational tool that facilitates the study of this phenomenon. FerroUV integrates three high level components: a local database (DB) implemented on MySQL which is useful to query the configuration parameters of the elements under study; a powerful mathematical computing capability and an intuitive user interface which allows easy input of specific parameters, thus obtaining useful results in order to make appropriate decisions which avoid or reduce the risk of damage due to the phenomenon of ferroresonance.
Key words: Computational tool; database; ferroresonance; shielded power cable; transformers.
INTRODUCCIÓN
Actualmente en los sistemas de distribución colombianos, los transformadores tipo normal y pedestal conectados con cables de potencia apantallados tienen gran aplicación y se pueden encontrar en áreas de alta congestión en las ciudades, en unidades residenciales, hospitales, centros comerciales, etc. [1].
Estas aplicaciones están caracterizadas normalmente por un transformador trifásico o monofásico conectado a un circuito de distribución primario, por medio de cables de potencia vía subterránea en cada una de sus fases. Bajo ciertas condiciones especiales, la configuración (cable-transformador) puede presentar sobretensiones como producto de la resonancia entre la capacitancia asociada al cable de conexión y la inductancia del transformador, resonancia que por su carácter no lineal se conoce como ferroresonancia [1].
La ferroresonancia se puede presentar en los sistemas de alta tensión debido a: (i) la interacción de las capacitancias de las líneas de transmisión, los interruptores de potencia y otros elementos, con las inductancias saturables de transformadores de potencia y de potencial (TP); (ii) cuando en los sistemas de alta tensión, los transformadores de potencia tienen el neutro aislado o conectado a tierra por medio de reactancias; entre otros [2].
La aparición de sobretensiones peligrosas en el sistema por causa de la ferroresonancia es una de las razones por las cuales se han desarrollado numerosas investigaciones sobre este fenómeno [2]-[7], generando nuevas metodologías de estudio y análisis con una participación activa del sector fabricante. No obstante, el fenómeno se sigue presentando, principalmente, por el desconocimiento de los ingenieros de campo encargados de las conexiones de los transformadores, o en su defecto, por falta de una herramienta sencilla que ayude a quienes conocen el fenómeno, a tomar la decisión de conectar o no un transformador en determinada ubicación.
El análisis de un posible caso de ferroresonancia en sistemas de distribución, implica tener un conocimiento avanzado sobre el fenómeno y contar, además, con información de los elementos que en él intervienen: transformador, cable, cargas, interruptores, etc. Por ello, es necesario recurrir a herramientas de simulación de transitorios, las cuales presentan ciertas limitaciones: (i) en muchos casos son complejas de emplear si no se tienen todos los parámetros de los modelos de cada elemento involucrado en la ferroresonancia; (ii) las herramientas desarrolladas exclusivamente para el análisis de la ferroresonancia, no se pueden utilizar para las condiciones que se presentan en los sistemas de distribución reales.
Las herramientas de análisis de transitorios como EMTP-ATP, PSCAD, EMTP-RV, entre otras, tienen modelos muy completos de los elementos [8] con los cuales se puede construir un caso específico para el análisis de la ferroresonancia, pero dado que muchos de los parámetros de estos modelos son de difícil obtención a nivel práctico, se dificulta el uso de este tipo de herramientas.
En cuanto a las herramientas de simulación dedicadas al análisis de la ferroresonancia, actualmente sólo existe a nivel comercial FERROVIEW [9]; sin embargo, esta herramienta no tiene en cuenta en sus modelos los transformadores monofásicos, los cuales son de amplio uso en los sistemas de distribución, además, es poca la información de utilidad que se pueda extraer de cada caso analizado con el fin de evitar este fenómeno.
Es así como se hace necesario contar con una herramienta computacional enfocada a la simulación y análisis de la ferroresonancia, por lo cual se desarrolló FerroUV, herramienta que cumple con las siguientes características: (i) fácil utilización; (ii) entrega de información relevante que permite reducir la probabilidad de que aparezca este fenómeno; (iii) integración de una base de datos de transformadores que facilita la asignación de parámetros al sistema analizado.
METODOLOGÍA
El desarrollo de la herramienta computacional FerroUV se realizó mediante las siguientes cuatro etapas: en la primera, se emprendió el estudio de los métodos de análisis de la ferroresonancia y la selección de los más adecuados; en la segunda etapa, se definieron los modelos de los elementos a emplear para el análisis de los sistemas ferroresonantes; en la tercera etapa, se desarrolló la herramienta computacional; finalmente, en la cuarta etapa se realizó el proceso de validación de FerroUV. En la figura 1 se muestran en detalle las etapas que se siguieron para desarrollar esta herramienta.

En este trabajo se describen de forma general las principales características que se tuvieron en cuenta para el desarrollo de FerroUV, teniendo en cuenta que se inicia con la descripción de la ferroresonancia y los métodos de análisis; posteriormente se hace una descripción de la estructura general de la herramienta; finalmente se realiza una descripción de los modelos empleados para los elementos y el proceso de cálculo numérico.
Descripción de la ferroresonancia
La ferroresonancia es un fenómeno caracterizado por sobretensiones y formas de onda irregulares que están asociados con la excitación de uno o más inductores saturables a través de una capacitancia en serie [10]. En los circuitos de distribución monofásicos o trifásicos susceptibles a ferro-resonancia, la capacitancia usualmente se debe a la presencia de bancos de capacitores serie o paralelo, cables de potencia, líneas aéreas y la capacitancia interna de los transformadores y otros equipos. Mientras que los inductores saturables se presentan en la forma de transformadores que utilizan núcleo ferromagnético.
Actualmente la conexión de transformadores monofásicos y trifásicos a través de cables de potencia subterráneos está creciendo rápidamente, por lo que se presenta una alta probabilidad de que la ferroresonancia surja en los circuitos de distribución bajo ciertas condiciones de operación [5], [11].
Para evidenciar un posible caso de ferroresonancia, vamos a remitirnos al circuito mostrado en la figura 2, en el cual se tiene un transformador en conexión triángulo-estrella sin carga, conectado a un sistema de distribución trifásico por medio de cables de potencia apantallados, los que a su vez, tienen las pantallas conectadas sólidamente a tierra.

Al conectar el sistema a través de los cortacircuitos o seccionadores en sólo una de sus fases, la fuente de alimentación energiza dos de los devanados del transformador por medio de capacitancias en serie, las cuales están asociadas a los cables apantallados de las fases no energizadas. De esta manera se tiene un circuito LC serie en donde el valor de la inductancia depende de la densidad de flujo magnético en el núcleo del transformador, característica que no es lineal debido a las propiedades ferromagnéticas del mismo; es así como surge el fenómeno de ferroresonancia [11].
Cuando la ferroresonancia se presenta en un sistema de distribución genera: sobretensiones fase-fase y fase-tierra con picos de tensión que pueden superar varias veces la tensión nominal y ocasionar fallas en los descargadores de sobretensión; ruido excesivo en el transformador debido principalmente a magnetostricción (alargamiento y contracciones de las chapas según la dirección del campo magnético); fluctuación de la forma de onda de tensión y sobrecalentamiento del núcleo del transformador por saturación magnética [10], [11].
Debido a la característica de magnetización propia del transformador, el análisis de los circuitos ferroresonantes es un problema de naturaleza no lineal [3], [11], [12]. Por lo tanto, resulta ser poco conveniente el empleo de las técnicas de análisis de circuitos eléctricos convencionales, lo que ha motivado a los investigadores al desarrollo de nuevos métodos para el análisis de la ferroresonancia [13], [14].
Los métodos de análisis del fenómeno de la ferroresonancia pueden clasificarse en dos grandes grupos como se muestra en la figura 3: los aplicados en el dominio de la frecuencia, los cuales pueden caracterizar la respuesta en régimen permanente de las variables del sistema y los aplicados en el dominio del tiempo, los cuales permiten obtener resultados en régimen transitorio y permanente [15].

Dependiendo de la naturaleza del análisis, cada método tiene sus ventajas y desventajas, por lo que resulta viable emplear varios de ellos de tal manera que se complementen y se pueda realizar un estudio detallado del fenómeno de ferroresonancia. Más adelante se describirá qué métodos de análisis fueron utilizados en la herramienta FerroUV.
Descripción de la herramienta de simulación FerroUV
La herramienta computacional de análisis de ferroresonancia - FerroUV -tiene como finalidad permitir a los ingenieros analizar éste fenómeno en los sistemas eléctricos que usan transformadores y cables. En términos generales la herramienta computacional tiene las siguientes funcionalidades:
Soporte de cálculos matemáticos (funciones matemáticas).
Manejo de bases de datos (BD).
Interfaz de usuario amigable y fácil de manipular.
Entorno gráfico (diagrama de conexión, formas de onda).
Opción de ayuda en las diferentes ventanas de navegación.
Generación de reporte completo de resultados.
Archivo ejecutable con su respectivo instalador.
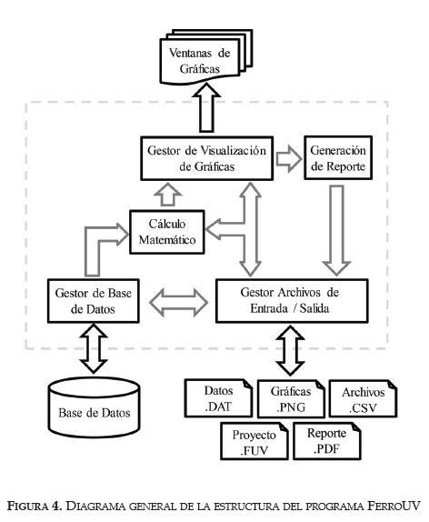
FerroUV permite realizar, a través de su interfaz de interacción con el usuario, la simulación de un sistema de potencia propenso a la ferrore-sonancia, ofreciendo adicionalmente algunas características particulares como: guardar y/o cargar proyectos, adicionar y/o modificar parámetros de configuración del sistema de potencia, guardar y/o cargar gráficas de simulación, importar y/o exportar información de la base de datos, generar reporte de resultados en formato PDF, entre otras. La estructura que tiene el programa FerroUV se muestra en la figura 4, éste se basa en el procesamiento matemático de los parámetros del sistema de potencia que se obtienen a través de los gestores de base de datos y de archivos de entrada/salida. Por su parte, los resultados se presentan al usuario a través del gestor de visualización de gráficas, con la posibilidad de exportarlos en archivos o hacia la base de datos.

Las simulaciones en FerroUV se realizan en un orden específico como se puede observar en la figura 5. El proceso de simulación se realiza básicamente en tres etapas, el usuario interviene en el inicio de cada una de estas según como lo considere: (i) esta etapa consiste en el ingreso de parámetros del sistema de potencia ya sea desde teclado o como resultado de una consulta desde la base de datos; (ii) en esta etapa se realiza una validación de los parámetros de entrada y se desarrolla el proceso matemático de las ecuaciones que representan el sistema de potencia bajo estudio; (iii) esta etapa se encarga de la presentación de los resultados al usuario a través de diversos gráficos o la generación de un reporte completo.

Con base a los resultados obtenidos, el usuario puede tomar decisiones de acuerdo a su criterio y/o experiencia con el fin de reducir el riesgo de daños debido al fenómeno de ferroresonancia, o si lo requiere, puede realizar al menos una o más modificaciones en los parámetros de entrada hasta lograr el comportamiento deseado. Si se realiza alguna modificación en los parámetros de entrada, es necesario iniciar una nueva simulación para obtener los nuevos resultados.

La interacción con FerroUV se realiza a través de una amigable interfaz gráfica de usuario que incluye, además de una barra de menús propia, ventanas de diálogo por medio de las cuales se establecen los parámetros de entrada y se presentan los resultados. En la figura 6 se muestra una gráfica de la ventana principal de FerroUV.
Modelos de los elementos empleados en FerroUV
FerroUV integra todos los elementos que componen la conexión de un transformador a un sistema de distribución de energía eléctrica, ellos son: (i) fuente de alimentación con equivalente de red; (ii) cortacircuitos o seccionadores; (iii) cables de potencia monopolares apantallados; (iv) transformador de distribución; (v) carga.
Con el objeto de realizar un buen estudio de la ferroresonancia, los modelos de los elementos empleados en FerroUV deben ser los adecuados para emprender el análisis transitorio durante el proceso de simulación y puesto que éste es un fenómeno transitorio de baja frecuencia, con un rango de operación entre 0.1 Hz y 1 kHz, es posible utilizar modelos no dependientes de la frecuencia [16].
El equivalente de red se utiliza generalmente en análisis de cortocircuito, análisis de armónicos, análisis transitorio, entre otros [17]. En este trabajo, el equivalente de red se modela mediante una impedancia por fase compuesta de una resistencia (R) y una reactancia inductiva (XL) a la frecuencia del sistema. Los parámetros de este modelo se determinan a partir de los datos de corriente de cortocircuito trifásica y la relación entre la reactancia y la resistencia (XL/R) de secuencia positiva, que se deben obtener en el punto de conexión del conjunto cable-transformador a la red de distribución [17].
Por otra parte, los cortacircuitos se modelan como elementos de interrupción ideales, teniendo en cuenta que la operación de apertura sólo es posible en el punto donde la corriente instantánea que circula por el interruptor toma un valor de cero.
En el caso de los cables de potencia apantallados, se utilizó un modelo PI de parámetros concentrados, para el cual se tienen valores de capacitancia, inductancia y resistencia por unidad de longitud [18]. Para facilitar el uso de la herramienta de simulación, FerroUV integra una base de datos local con las características de los cables apantallados de mayor uso en los sistemas de distribución. En la figura 7 se muestra la ventana de consulta a la base de datos de cables, cuyos parámetros se han obtenido de fabricantes del sector.

Luego, el elemento más crítico a la hora de analizar la ferroresonancia es el transformador, puesto que el material ferromagnético con el cual está construido define la no linealidad implícita en este tipo de resonancia. Por ello, se debe tener un modelo adecuado que incluya la característica de saturación del núcleo y cuyos parámetros puedan ser determinados mediante pruebas de laboratorio convencionales.
En consecuencia, fue necesario desarrollar un modelo del transformador basado en el principio de dualidad para el cual bastasen las pruebas convencionales de resistencia de devanados, pérdidas bajo carga, pérdidas de vacío y curva de magnetización para encontrar sus parámetros [19]. En la figura 8 se muestra la ventana de parámetros del transformador que emplea FerroUV.
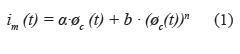
En cuanto a la característica de magnetización, en FerroUV se ha empleado el modelo de polinomios [15], [20], en el cual se tiene que la variación de la corriente de magnetización en el tiempo (im(t)) depende de la variación del flujo concatenado (<c(t)) y de los parámetros constantes a, b y n, de acuerdo con lo expresado en la ecuación (1).

Pero el usuario de FerroUV no se debe preocupar en el uso de este tipo de constantes para el modelo de saturación del núcleo del transformador, puesto que dispone de una base de datos local de transformadores, cuyos parámetros se han obtenido con base en pruebas realizadas en laboratorio, tal como se muestra en la figura 9. En el caso de requerir los parámetros de un nuevo transformador, FerroUV permite ingresar los datos de ensayo del mismo a partir de los cuales se extrae la información pertinente.

El último de los elementos corresponde a la carga, la cual puede ser monofásica o trifásica de acuerdo al tipo de transformador usado y cuyos parámetros son: (i) potencia aparente; (ii) potencia activa; (iii) potencia reactiva; (iv) factor de potencia. Se requieren al menos dos de estos parámetros para identificar el elemento, el cual tiene como modelo una impedancia constante, cuyo valor depende de la potencia asignada y del nivel de tensión nominal al cual se va a conectar.
Proceso de simulación y cálculo numérico
Durante el proceso de simulación, FerroUV involucra varios de los métodos de análisis de ferroresonancia descritos mediante la Figura 3. El método de Balance Armónico [13], [21], [22], se usa para calcular la respuesta en régimen permanente mediante una simulación paramétrica, con el objeto de establecer la probabilidad de que aparezca la ferroresonancia con la variación de ciertos parámetros; a su vez, se utilizan los métodos de plano de fase y oscilogramas [2], para analizar los resultados de las simulaciones de transitorios.
Antes de iniciar el cálculo numérico en el proceso de simulación, FerroUV evalúa si se han ingresado todos los parámetros de los elementos involucrados en el estudio. En caso contrario, la herramienta indica cuál o cuáles elementos aún no se han ingresado.
Posteriormente, se realiza un procedimiento de validación de los datos de entrada el cual consiste en comprobar que la información suministrada no genere resultados inadmisibles, principalmente para el modelo del transformador. Cuando se verifica que los datos suministrados son adecuados para el análisis, FerroUV procede a desarrollar el cálculo numérico.
Una de las fortalezas de la herramienta está en su cálculo numérico, puesto que se integran el análisis transitorio y el análisis en régimen permanente mediante la utilización de varios de los métodos de análisis de ferroresonan-cia, tal como se describió anteriormente. Para empezar, FerroUV alimenta los parámetros del sistema de ecuaciones diferenciales que componen todos los modelos de los elementos dentro del estudio y luego lo resuelve mediante el método numérico de integración trapezoidal, el cual, debido a su estabilidad numérica, ha sido empleado por las herramientas de análisis de transitorios electromagnéticos del tipo EMTP [8].
Para utilizar el método numérico de integración trapezoidal se considera el paso de tiempo y el tiempo máximo asignado en el proceso de simulación, luego durante su desarrollo, se almacenan las variables de mayor interés dentro del análisis y con las cuales se construyen los oscilogramas. Dichas variables son: (i) tensiones en bornes del transformador (lado primario y lado secundario); (ii) corrientes en las líneas de entrada; (iii) tensión en los cables; (iv) flujo concatenado en cada columna del transformador.
Con la información obtenida de las tensiones y los flujos en el proceso de simulación transitoria, se construyen las gráficas de plano de fase y las curvas de aislamiento. Este tipo de gráficos y su interpretación se detallará en el siguiente apartado.
Luego, en el proceso de simulación FerroUV debe realizar el cálculo numérico en régimen permanente para el cual es necesario efectuar una reducción de todos los modelos con el objeto de aplicar el método de Balance Armónico.
En el análisis permanente se evalúa la respuesta de una variable del sistema con base en el cambio de un parámetro. En un primer caso, se evalúa la tensión en bornes del transformador a medida que varía la tensión de entrada. En un segundo y tercer caso, se evalúa la variación de la tensión en bornes a medida que cambia la longitud del cable (reflejada en un cambio de la capacitancia asociada) y la carga activa instalada en el secundario del transformador, respectivamente. La información obtenida durante este proceso será objeto de análisis en la siguiente sección.
FerroUV termina su proceso de simulación con el cálculo en régimen permanente; no obstante, es necesario aclarar que los resultados obtenidos son altamente dependientes de las condiciones iniciales asignadas, por lo tanto puede ser necesario evaluar varios escenarios (esto conlleva a realizar varias simulaciones) para determinar si las características de los elementos utilizados en el caso bajo estudio pueden llevar a una situación probable de ferroresonancia. Estos casos corresponden principalmente, al punto de energización del transformador respecto a la tensión de la fuente y al flujo remanente en el núcleo del transformador [23].
Es por ello que FerroUV tiene la opción de fijar las condiciones iniciales dándole libertad al usuario de personalizar su estudio a las situaciones de operación más factibles. Esto se hace mediante la asignación del tiempo de cierre de los cortacircuitos, que permite controlar el punto de energización, mientras que en la ventana de propiedades del transformador se tiene un campo para asignar la condición de flujo remanente.
RESULTADOS Y DISCUSIÓN
Al desarrollar cualquier proceso de simulación, FerroUV entrega como resultado cinco tipos de gráficos con los cuales es posible analizar la incidencia del fenómeno de ferroresonancia. Es necesario aclarar que los gráficos presentados a continuación, no corresponden a un caso particular analizado y sólo se exponen a manera de ejemplo.
El primer tipo de gráficos corresponde a los oscilogramas, los cuales son representaciones del cambio instantáneo de la magnitud de una variable en una ventana de tiempo, que para un caso simulado equivale al tiempo asignado a la simulación. De esta forma se grafican los oscilogramas de tensiones, flujos concatenados y corrientes en las líneas de llegada. Con esta información se pueden conocer las amplitudes pico de las tensiones y corrientes al igual que evaluar la distorsión de la forma de onda, lo cual es un indicio de la existencia de una condición de ferroresonancia. En la figura 10 se muestra un ejemplo del gráfico de oscilogramas entregado por FerroUV.

Los diagramas de bifurcación son el segundo tipo de gráficos entregados por FerroUV. Este diagrama refleja el comportamiento de la tensión eficaz en bornes del transformador a medida que cambia la tensión eficaz de la fuente para uno de los estados susceptibles a la ferroresonancia; es decir, una fase abierta en el caso monofásico o hasta dos fases abiertas en el caso trifásico. Este tipo de información es muy útil puesto que el transformador bajo estudio puede estar expuesto a sobretensiones temporales de la red, ser utilizado en un nivel de tensión diferente al especificado, o tener un cambio en la posición del TAP distinto al nominal, lo cual significa prácticamente un cambio en la tensión de la fuente.
FerroUV construye el diagrama de bifurcación a partir del método de Balance Armónico asumiendo para ello una solución fundamental [21]; es así como la tensión en bornes es calculada para cada variación de la magnitud de la fuente, sin depender de las condiciones previas obtenidas.
El diagrama de bifurcación también refleja el fenómeno de salto típico en la ferroresonancia en donde a un mismo nivel de tensión de la fuente, pueden existir dos puntos de operación de estado estable en el transformador: uno en estado normal y otro en estado de ferroresonancia [2]. A manera de ejemplo, la figura 11 muestra un diagrama de bifurcación de FerroUV.

El tercer tipo de gráfico es el plano de fase, el cual se construye tomando la información de dos variables durante un ciclo de operación de frecuencia industrial en estado estable y graficándolas en un mismo plano. En este caso se representa la tensión en bornes versus el flujo concatenado. Esta gráfica es de gran utilidad para determinar el tipo o modo de ferroresonancia al que se encuentra expuesto el equipo, los cuales pueden ser: fundamental, sub-armónico, casi-periódico o caótico [6], [11], [14], [20]. En la figura 12 se muestra un ejemplo del diagrama de plano de fase en donde se evidencia un caso de ferroresonancia fundamental.

Si la relación entre la tensión en bornes y el flujo concatenado es constante en el dominio del tiempo, el diagrama de plano de fase debe mostrar una circunferencia continua y remarcada sobre sí misma, caso que corresponde a la no existencia de ferroresonancia. Si por el contrario, las variables de estado cambian continuamente en el tiempo y el diagrama mostrado tiene una forma no consistente a la descrita anteriormente, es posible que el transformador esté en ferroresonancia. Cuando existen varias formas que se cierran entre sí, el caso muestra la ferroresonancia sub-armónica, en donde la cantidad de formas registradas corresponde al número de períodos respecto a la fundamental de la red.
La evaluación de los parámetros críticos o análisis de sensibilidad se realiza en un cuarto tipo de gráficos. Dichos parámetros corresponden a la longitud del cable apantallado, que incide directamente en el valor de la capacitancia, y al porcentaje de carga activa instalada en el secundario del transformador, la cual se comporta como medio amortiguador de la ferroresonancia.
En el primer caso de análisis de sensibilidad, se evalúa la sobretensión alcanzada en bornes del transformador para diferentes condiciones susceptibles a ferroresonancia (una fase o más desconectadas) a medida que se modifica la longitud del cable, con lo que se consigue determinar la longitud crítica del cable que es el punto desde donde existe probabilidad de que aparezca éste fenómeno. En la figura 13 (gráfica de la izquierda) se muestra un ejemplo de este tipo de análisis, en donde la longitud crítica corresponde al punto de inflexión de la curva.
En el segundo caso de análisis de sensibilidad, se modifica el porcentaje de carga activa respecto a la potencia nominal del transformador y se verifica el comportamiento de la tensión en los terminales de alta tensión, considerando para ello una condición susceptible a ferroresonancia. La curva así obtenida muestra la amortización de las sobretensiones alcanzadas a medida que se incrementa la carga activa, de tal manera que se pueda establecer la cantidad de carga necesaria para disminuir las sobretensiones a un nivel seguro, la cual se utilizaría únicamente durante los instantes de energización del transformador. La figura 13 (gráfica de la derecha) muestra un ejemplo de este tipo de análisis.
El último tipo de gráficos concierne al perfil del aislamiento, los cuales son útiles para apreciar las sobretensiones a las que se ven expuestos los materiales aislantes tanto de los devanados del transformador como de los cables. La evaluación del aislamiento se realiza por medio de la comparación entre el valor porcentual nominal para el que está diseñado el aislamiento y las tensiones pico a las que pueden estar sometidos los materiales durante los transitorios.
En el caso de los devanados, se ha tomado como umbral para las sobretensiones el valor de la tensión nominal de línea del transformador, mientras que se ha considerado el nivel de aislamiento del cable (parámetro de entrada de este elemento) como su umbral. A manera de ejemplo, la Figura 14 muestra el perfil del aislamiento de los devanados respecto a las tensiones calculadas con FerroUV.
Finalmente, FerroUV tiene la capacidad de entregar un reporte en formato PDF con toda la información obtenida del proceso de simulación, incluyendo los cinco tipos de gráficos y una breve explicación para interpretar dichos resultados, con lo que se consigue un amplio análisis del fenómeno de ferroresonancia en los sistemas de distribución y las posibles medidas a tomar para reducir el riesgo de daños en los equipos a causa de este problema.

CONCLUSIONES
FerroUV es una herramienta computacional que proporciona un ambiente de trabajo fácil de utilizar por el usuario, brinda fortalecimiento en el conocimiento del cálculo y análisis del fenómeno de ferroresonancia, su amigable interfaz de usuario permite el fácil ingreso de los parámetros de interés, al igual que la entrega de resultados útiles para evitar o reducir el riesgo de daños debido a este fenómeno. Además, permite generar un reporte completo de las simulaciones realizadas con el fin de que el análisis pueda ser más rápido y detallado. FerroUV es la herramienta computacional más completa que existe actualmente para el análisis de la ferroresonancia, lo cual refleja su relevancia científica.
Una de las mayores ventajas de FerroUV, es contar con una base de datos de parámetros de cables y de transformadores, lo cual facilita el uso de la herramienta, puesto que no se deben disponer de dispendiosas pruebas de laboratorio para determinar los parámetros de los modelos de estos elementos. Sin embargo, no todos los tipos de transformadores de distribución están caracterizados en dicha base de datos, lo cual implica que se presenten dificultades cuando se requiera un transformador especial. Debido a que FerroUV es una herramienta computacional, se obtienen buenos resultados si se ingresan buenos datos, por lo cual es importante caracterizar adecuadamente los elementos que harían parte del problema a resolver.
Los inconvenientes que se pueden presentar durante las simulaciones por no tener suficientes datos, se pueden superar ampliando la base de datos de transformadores de FerroUV, un hecho que es posible en esta herramienta computacional. Luego, en trabajos futuros se espera contar con suficiente información como para caracterizar una buena cantidad de transformadores de distribución.
Por otra parte, en versiones futuras de la herramienta FerroUV, se espera mejorar los modelos de los elementos, en especial, ampliar los modelos del transformador, el cual es el elemento más crítico dentro del análisis de la ferroresonancia. Del mismo modo, se procurará emplear otros modelos para la característica de magnetización que permitan mejorar la velocidad de respuesta de la herramienta.
Finalmente, FerroUV está disponible de manera gratuita para todos los usuarios interesados en analizar la ferroresonancia en sistemas de distribución y se espera como un avance en versiones futuras, desarrollar una versión completa en inglés, lo cual permitirá su uso por una mayor cantidad de usuarios.
Agradecimientos
Los autores agradecen al Departamento Administrativo de Ciencia, Tecnología e Innovación - COLCIENCIAS - por el apoyo dado para el desarrollo del proyecto.
REFERENCIAS
[1] F. Castro-Aranda et al., "Herramienta para el estudio de ferroresonancia en transformadores conectados con cables," Univ. del Valle, Cali, Colombia, Reporte final contrato No. 366-2009, Ene. 2012. [ Links ]
[2] P. Ferracci, "Ferroresonance," Groupe Scheneider, Rueil-Malmaison, France, Cahier technique No. 190, Mar. 1998. [ Links ]
[3] M. R. Iravani et al., "Modeling and analysis guidelines for slow transients. III. The study of ferroresonance," IEEE Trans. Power Del., vol. 15, no. 1, pp. 255-265, Jan. 2000. [ Links ]
[4] D. A. N. Jacobson, "Examples of ferroresonance in a high voltage power system," in 2003 IEEE Power Eng. Soc. General Meeting, Toronto, pp. 1206-1212. [ Links ]
[5] R. C. Dugan, "Examples of ferroresonance in distribution," in 2003 IEEE Power Eng. Soc. General Meeting, Toronto, pp. 1213-1215. [ Links ]
[6] P. S. Moses and M. A. S. Masoum, "Modeling Ferroresonance in Asymmetric Three-Phase Power Transformers," in Australasian Universities Power Eng. Conf. (AUPEC), Adelaide, 2009, pp. 1-6. [ Links ]
[7] S. Hassan et al., "Review of ferroresonance in power distribution grids," in 2011 IEEE Int. Conf. Inform. Reuse & Integration, Las Vegas, NV, pp. 444-448. [ Links ]
[8] H. W. Dommel, ElectroMagnetic Transients Program (EMTP) Theory Book. Portland: Bonneville Power Administration, 1995. [ Links ]
[9] Electrotek Concepts. (2012, January 10). FerroViewTM Ferroresonance Analysis Software [Online]. Available: http://www.pqsoft.com/ferroview/ferroview.pdf [ Links ]
[10] IEEE Guide for Application of Transformer Connections in Three-Phase Distribution Systems, IEEE C57.105, 1978 (R2008). [ Links ]
[11] V. Valverde et al., "Ferroresonance in Voltage Transformers: Analysis and Simulations," presented at the Int. Conf. Renewable Energies and Power Quality (ICREPQ'07), Sevilla, 2007. [ Links ]
[12] P. S. Moses and M. A. S. Masoum, "Modeling and analysis of the suppression of ferroresonance in nonlinear three-phase three-leg transformers," in 2011 IEEE Power and Energy Soc. General Meeting, San Diego, CA, pp. 1-6. [ Links ]
[13] A. Bardhi et al., "Study of a ferroresonant circuit using analytic harmonic balance, numerical integration of nonlinear ODE and experimental methods," in Proc. 14th Int. Power Electron. Motion Control Conf. (EPE-PEMC 2010), Ohrid, 2010, pp. T8-12 - T8-19. [ Links ]
[14] P. S. Moses and M.A.S. Masoum, "Experimental and simulation analysis of ferroresonance in single-phase transformers considering magnetic hysteresis effects," in IEEE PES General Meeting, Minneapolis, MN, 2010, pp. 1-6. [ Links ]
[15] D. A. N. Jacobson, "Field Testing, Modelling and Analysis of Ferroresonance in a High Voltage Power System," Ph.D. dissertation, Dept. Elect. and Comput. Eng., Univ. of Manitoba, Winnipeg, Canada. 2000. [ Links ]
[16] J. A. Martínez-Velasco, "Parameter Determination for Electromagnetic Transient Analysis in Power Systems," in Power System Transients - Parameter Determination, J. A. Martínez-Velasco, Ed. Boca Raton: CRC Press, 2010, ch. 1, pp. 1-16. [ Links ]
[17] IEEE Recommended Practice for Industrial and Commercial Power Systems Analysis, IEEE Standard 399 "Brown Book", 1998. [ Links ]
[18] B. Gstavsen, "Insulated Cables," in Power System Transients - Parameter Determination, J. A. Martinez-Velasco, Ed. Boca Raton: CRC Press, 2010, ch. 3, pp. 137-175. [ Links ]
[19] J. E. Celis-Montero et al., "Modelo Práctico del Transformador de Distribución Trifásico para Análisis de Transitorios de Baja Frecuencia: Identificación de Parámetros", Ingeniare. Rev. Chil. Ing., vol. 20, no. 3, Dec. 2012. [ Links ]
[20] M. Roy and C. K. Roy, "A study on ferroresonance with a varying initial conditions using a nonlinear model of transformer," in 2009 Int. Conf. Power Syst., Kharagpur, pp. 1-6. [ Links ]
[21] J. R. Marti and A. C. Soudack, "Ferroresonance in power systems: Fundamental solutions," IEE Proc. Part C, Gener., Transm. & Distrib., vol. 138, no. 4, pp. 321-329, Jul. 1991. [ Links ]
[22] N. A. Janssens, "Magnetic cores modeling for ferroresonance computations using the harmonic balance method," in 2003 IEEE Power Eng. Soc. General Meeting, Toronto, pp. 1644-1649. [ Links ]
[23] K. Milicevic and Z. Emin, "Impact of initial conditions on the initiation of ferroresonance," Int. J. of Elect. Power & Energy Syst., vol. 31, no. 4, pp. 146-152, May. 2009. [ Links ]












