Services on Demand
Journal
Article
Indicators
-
Cited by SciELO -
Access statistics
Related links
-
Cited by Google -
Similars in
SciELO -
Similars in Google
Share
Ingeniería y Universidad
Print version ISSN 0123-2126
Ing. Univ. vol.15 no.1 Bogotá Jan./June 2011
Análisis de los factores de mayor influencia en la evaluación del desempeño de recubrimientos orgánicos mediante ensayos acelerados y espectroscopia de impedancia electroquímica1
Performance Assessment of Organic Coatings through Accelerated Tests and Electrochemical Impedance Spectroscopy2
Análise dos fatores de maior influência na avaliação do desempenho de revestimentos orgânicos mediante testes acelerados e espectroscopia de impedância eletroquímica3
Franky Bedoya-Lora 4
Jorge Calderón-Gutiérrez5
Ángela Bermúdez-Castañeda6
Juan Castaño-González7
Félix Echeverría-Echeverría 8
Juan Maya-Montoya9
1Este artículo es el resultado del trabajo sobre el tema del artículo del grupo de Grupo de Corrosión y Protección de la Universidad de Antioquia e ISA, Medellín, Colombia.
2Submitted on October 6, 2010. Accepted on January 25, 2011. This article is the result of the research project with the same name developed by the research group Corrosion and Protection, Universidad de Antioquia and ISA, Medellin, Colombia.
3Data de recepção: 6 de outubro de 2010. Data de aceitação: 25 de janeiro de 2011. Este artigo é o resultado do trabalho sobre o tema do artigo do Grupo de Corrosão e Proteção da Universidade da Antioquia e ISA, Medellín, Colômbia.
4Ingeniero químico, Universidad de Antioquia, Medellín, Colombia. Estudiante de Maestría en Ingeniería, Universidad de Antioquia. Correo electrónico: franky.bedoya@udea.edu.co.
5Ingeniero metalúrgico, Universidad de Antioquia, Medellín, Colombia. Magíster en Ciencias Químicas, Universidad de Antioquia. Doctor en Ciencia e Ingeniería de Materiales, Universidad Federal de Rio de Janeiro, Brasil. Docente, Universidad de Antioquia. Correo electrónico: jacalder@udea.edu.co.
6Ingeniera de materiales, Universidad del Valle, Cali, Colombia. Estudiante de Maestría en Ingeniería, Universidad de Antioquia, Medellín, Colombia. Correo electrónico: angela.bermudez@udea.edu.co.
7Ingeniero metalúrgico, Universidad de Antioquia, Medellín, Colombia. Doctor en Ciencias Químicas, Universidad Complutense de Madrid, España. Docente, Universidad de Antioquia. Correo electrónico: jcasta@udea.edu.co.
8Ingeniero metalúrgico, Universidad Industrial de Santander, Bucaramanga, Colombia. Magíster en Ingeniería Metalúrgica, Universidad Industrial de Santander. Doctor en Corrosión, The University of Manchester, Oxford, Reino Unido. Docente, Universidad de Antioquia. Correo electrónico: fecheve@udea.edu.co.
9Ingeniero electromecánico, Universidad de Antioquia, Medellín, Colombia. Analista de gestión del mantenimiento, Interconexión Eléctrica S. A. ESP, Medellín, Colombia. Correo electrónico: jmmaya@isa.com.co.
Fecha de recepción: 6 de octubre de 2010. Fecha de aceptación: 25 de enero de 2011.
Resumen
Los ensayos acelerados en conjunto con análisis de espectroscopia de impedancia electroquímica (EIS) son una herramienta poderosa para monitorear el deterioro de recubrimientos orgánicos bajo condiciones controladas y en tiempos relativamente cortos. En el presente artículo se lleva a cabo una revisión bibliográfica de los métodos acelerados más usados, acoplados a mediciones de EIS y aplicados a recubrimientos orgánicos sobre acero galvanizado bajo condiciones simuladas de exposición atmosférica.
Palabras clave: Espectroscopia de impedancia, acero galvanizado, cubiertas protectoras.
Abstract
Accelerated tests together with electrochemical impedance spectroscopy (EIS) analysis, are powerful tools to follow up the degradation process of organic coatings under controlled conditions in relatively short periods of time. This work presents a review of the most common accelerated methods, coupled with EIS measurements and applied to organic coatings on galvanized steel under simulated atmospheric environments.
Key words: Impedance spectroscopy, galvanized steel, protective converings.
Resumo
Os testes acelerados em conjunto com análise de espectroscopia de impedância eletroquímica (EIS) são uma ferramenta poderosa para monitorar a deterioração de revestimentos orgânicos sob condições controladas e em tempos relativamente curtos. No presente artigo realiza-se uma revisão bibliográfica dos métodos acelerados mais utilizados, em conjunto com medições de EIS e aplicados a revestimentos orgânicos sobre aço galvanizado sob condições simuladas de exposição atmosférica.
Palavras chave: Espectroscopia de impedância, aço galvanizado, revestimentos protetores.
Introducción
Es sorprendente cómo uno de los problemas más antiguos y estudiados de la humanidad-el fenómeno de la corrosión- se continúe investigando tan exhaustivamente hasta nuestros días y sin llegar aún a ser comprendido completamente; sin embargo, esto tiene su razón de ser. La corrosión atmosférica es un fenómeno electroquímico de vasta complejidad que involucra factores fundamentales fácilmente cuantificables, como lo son la temperatura y la humedad relativa, y otros un tanto difíciles de medir como la concentración de electrólitos o la dirección y velocidad del viento. Si agregamos, además, el factor tiempo tendremos un sistema que puede resultar caótico a primera vista, pero que en realidad obedece a leyes naturales, las cuales permiten su investigación por medio del método científico. Por esta razón los esfuerzos para lograr su total entendimiento han persistido a lo largo del tiempo.
La protección anticorrosiva en metales expuestos a la acción atmosférica es importante, ya que esta puede deteriorar las propiedades físicas y químicas del metal, lo cual, en última instancia, se transforma en pérdidas económicas, debido a las altas frecuencias de mantenimiento y reemplazo de equipos, es decir, altos costos; en ciertos casos, afectar la salud humana directa o indirectamente, o perjudicar de manera significativa el medio ambiente y sus fuentes de energía.
En el presente artículo se analiza el fenómeno de la corrosión y las formas de protección y se describen brevemente los ensayos acelerados más usados para la evaluación del desempeño anticorrosivo de recubrimientos orgánicos. Se describirán los aspectos más importantes de la espectroscopia de impedancia electroquímica (EIS) y su relación con ensayos acelerados y las correlaciones entre estos ensayos y aquellos llevados a cabo de manera natural.
1. Corrosión y protección
La corrosión atmosférica es un fenómeno de naturaleza electroquímica que obedece las leyes de la termodinámica; por esto, inhibir enteramente el proceso de corrosión en condiciones normales es termodinámicamente poco probable, a menos que el sistema se someta a escenarios especiales-por ejemplo, forzando el sentido de las reacciones por medios químicos o eléctricos-. Teniendo esto en cuenta, la corrosión atmosférica se define como el deterioro que sufren los metales por la acción electroquímica del ambiente al que están expuestos, y depende de las propiedades químicas y físicas del electrólito, factores meteorológicos y composición de la atmósfera (Castaño, 2001).
Entre las formas más comunes de protección de estructuras metálicas se encuentran los recubrimientos metálicos, inorgánicos y pinturas anticorrosivas. Mientras los recubrimientos inorgánicos se hallan muy extendidos para aplicaciones decorativas, ambientes de altas temperaturas y suelos (Uhlig, 1971), los recubrimientos metálicos y pinturas son los métodos de protección más usados para estructuras bajo efectos atmosféricos, y lo son más aún las pinturas o recubrimientos orgánicos (Amirudin y Thierry, 1995).
Dentro de los recubrimientos metálicos, aquellos basados en zinc o sus aleaciones se han convertido en los más predominantes (Del Amo et al., 2004), y dentro de estos el proceso de galvanizado por inmersión en caliente es el más usado para recubrir grandes estructuras expuestas a la atmósfera (Botero, 2008). En la experiencia y el uso continuo de estas estructuras se ha encontrado que para atmósferas muy agresivas (e. g. tipo marino-industrial) es necesaria la protección del galvanizado en conjunto con recubrimientos orgánicos. Esta combinación, muy difundida actualmente, es conocida como sistema dúplex (Del Amo et al., 2004).
De acuerdo con lo anterior, la evaluación de la capacidad anticorrosiva de las pinturas es indispensable y generalmente se realiza mediante las siguientes técnicas (Shreir et al., 1994):
- Ensayos de acelerados o de laboratorio: las condiciones se definen con exactitud y de forma controlada.
- Ensayos de campo: exposición atmosférica bajo condiciones ambientales no controladas.
- Ensayos en servicio: las muestras se exponen a ambientes específicos bajo condiciones en las cuales se espera usar.
La Figura 1 ilustra las principales variables que deben considerarse cuando se realice cualquier tipo de exposición, con el ánimo de evaluar recubrimientos en ambientes acelerados o naturales (Jacques, 2000). La presente revisión bibliográfica está centrada en los ensayos acelerados; si el lector desea obtener más información sobre ensayos en campo, se recomienda recurrir a la revisión de (Jacques, 2000), que también considera ensayos acelerados en su exploración bibliográfica.
2. Ensayos acelerados para evaluar recubrimientos orgánicos
Los ensayos acelerados normalmente se realizan bajo condiciones mucho más agresivas respecto a las que se podrían encontrar en ambientes reales o de servicio, pues ello acelera los mecanismos de corrosión y permite el estudio de diferentes variables en un período corto. El control de estas condiciones permite identificar el efecto de los distintos factores que influyen en la corrosión, y a partir de estos resultados retroalimentar el diseño de recubrimientos para mejorar su respuesta a diferentes condiciones ambientales.
Por lo tanto, al asumir que todos los sistemas están bajo las mismas condiciones, los ensayos de laboratorio también son útiles para propósitos de comparación. En general, los ensayos acelerados de corrosión se realizan con tres objetivos fundamentales: primero, someter a revisión y ensayar nuevos recubrimientos en desarrollo; segundo, calificar nuevos recubrimientos para uso en campo, y, finalmente, estudiar el comportamiento de los recubrimientos expuestos a diferentes factores ambientales (Bierwagen et al., 2003). Sin embargo, para llevarlos a cabo hay que tener en cuenta las siguientes recomendaciones (Bierwagen et al., 2003; Brossia, 2005; Duarte et al., 2007; Fedrizzi et al., 2006):
- Los ensayos acelerados deben ser realistas y deben reproducir los factores ambientales más importantes que afecten las propiedades del recubrimiento orgánico cuando están sometidas a condiciones de servicio.
- Se debe tener un protocolo establecido para los ensayos acelerados, donde se encuentre minuciosamente especificado el ambiente bajo el cual se expondrán las muestras.
- La falla por aceleración del sistema debe ser de tal forma que afecte lo menos posible el mecanismo de falla.
- Los cambios deben ser cuantificables, así como el tiempo de falla.
- Las temperaturas de los ensayos deben mantenerse debajo de la temperatura de transición vítrea del recubrimiento.
- Factores combinados no necesariamente son acumulativos. Estos pueden interactuar de distintas maneras: de forma sinérgica, produciendo ambientes mucho más agresivos o generando productos de corrosión más protectores, o inhibiendo el efecto de alguno de ellos.
- La extrapolación del mecanismo de envejecimiento de un sistema a otro puede dar a lugar a resultados erróneos; por lo tanto, no se aconseja realizarlos indiscriminadamente.
- Aunque el ensayo reproduzca fielmente algunas de las condiciones reales de uso, en muchos de los casos es arriesgado extrapolar dichas condiciones, principalmente porque la agresividad del ambiente para producir un aceleramiento puede afectar los mecanismos de falla o de deterioro. Para esto se debe realizar un análisis previo de los procesos de deterioro tanto en condiciones reales como simuladas.
2.1 Tipos de ensayos acelerados
Existen diversos ensayos acelerados que buscan simular condiciones cercanas a las obtenidas en exposiciones naturales para los sistemas mencionados. Entre ellos se destacan los ensayos de inmersión, en cámaras climáticas, pruebas triboquímicas y análisis electroquímicos. Los ensayos para simulación de corrosión atmosférica se realizan en diferentes cámaras y se encuentran documentados y estandarizados por normas ASTM, ISO y BS (British Standard). Sin embargo, se ha demostrado que las condiciones agresivas de estas pruebas puede conducir a la aparición de nuevos tipos de falla, aun cuando se consideren las recomendaciones anteriores. En estos ensayos, las muestras se ponen en un equipo que simula condiciones de exposición y que pueden ser controladas, lo cual se realiza con el objetivo de examinar el desempeño de los materiales a diferentes tipos de atmósferas simuladas.
Algunos autores (Altmayer, 2001; Bierwagen et al., 2003; Duarte et al., 2007; Del Amo et al., 2004; Howard et al., 2001; Shreir et al., 1994; Yang et al., 2009; Zapponi et al., 2007) recomiendan para la evaluación del desempeño de pinturas anticorrosivas usar los siguientes ensayos: cámara de humedad, cámara salina, prohesion y ciclos de condensación en cámara UV. Bierwagen et al. (2003) proponen un protocolo para evaluar el desempeño de recubrimientos usados en exteriores que incluye la exposición de las probetas en cámaras QUV y prohesion, a las que, además, se recomienda realizar evaluaciones físicas (brillo, color, ángulo de contacto, medida del ruido electroquímico y espectroscopia de impedancia electroquímica EIS) cada semana, mediciones a la topografía y rugosidad (mediante microscopia de fuerza atómica) y estudios de espectroscopias (Raman, fotoacústica y mapeado por espectroscopia de infrarrojos por transformada de fourier) cada cierto tiempo hasta que las muestras presenten marcada diferencia en la protección a la corrosión.
2.2 Cámara de humedad
Estandarizado bajo la norma ASTM D2247-02, este ensayo se realiza en cámaras cerradas que contienen aire saturado con vapor de agua (100% HR) aproximadamente a 38 °C. Las fallas observadas en este ensayo se suelen asignar a deficiencias del recubrimiento, contaminación del sustrato o inadecuada preparación de su superficie. Este ensayo se usa ampliamente como criterio de aceptación o rechazo en controles de calidad.
Se han propuesto métodos alternativos para simular condiciones húmedas cuando los mecanismos de corrosión se estudian con ayuda de impedancia electroquímica. Entre éstos se destaca el propuesto por (Dehri y Erbil, 2000), que se basa en el ajuste de la humedad relativa a 70%, 80% y 100%, por medio de una solución líquida de agua-glicerina, en su investigación se obtienen muy buenos resultados y, además, propone un nuevo modelo de circuito equivalente haciendo uso de un elemento de fase constante que denomina capacitancia diferencial.
A pesar de que esta prueba se ha extendido en uso, sola no proporciona información relevante; por esta razón se acopla a ensayos de exposición UV con ciclos de temperatura para evaluar el entizamiento producido en el recubrimiento. Al usar este método es notorio que los sistemas anticorrosivos memorizan el deterioro de ciclos anteriores, debido al agua que se introduce en el recubrimiento; que su temperatura de transición vítrea (Tg) se ve afectada por este fenómeno y que, en consecuencia, con cada nuevo ciclo se produce un efecto acumulativo de los deteriores pasados (Bierwagen et al., 2000).
2.3 Cámara salina
La cámara salina es el más común de todos los ensayos en cámara (Shreir et al., 1994), y en pinturas sobre sustratos ferrosos es casi de obligatoria ejecución (Altmayer, 2001). Está normalizado por la ASTM B117. El ensayo consta de una cámara en la cual se utiliza un atomizador para crear niebla salina que cae de manera vertical sobre las probetas, a 35 °C y una concentración de 5% de NaCl en peso. Tradicionalmente se ha tenido que este ensayo es sólo para fines comparativos o de seguimiento en el desarrollo de un recubrimiento, ya que sus efectos adversos son tan extremos que, en ocasiones, desvían los mecanismos de corrosión en los sustratos y dificulta la correlación de tiempos entre el ensayo acelerado y exposiciones de muestras a campo abierto (Duarte et al., 2007; Howard et al., 2001).
Sin embargo, en investigaciones recientes, como la llevada a cabo por Del Amo et al. (2004) se ha demostrado que existe buena correlación entre los ensayos en cámara salina y las medidas de impedancia y potencial de corrosión, lo que permite identificar los problemas y fallas de diseño en el recubrimiento. Estos autores también aclaran que las extrapolaciones de unas condiciones de exposición a otras, por ejemplo de ensayo simulado a atmosférico, son bastante arriesgadas, debido a la gran dispersión de datos observada, y no sólo para los ensayos de cámara salina, sino también en condiciones de inmersión continua.
En cuanto al ángulo de inclinación, ASTM en sus normas recomienda 45° respecto a la horizontal. Algunos estudios sobre el tema también han demostrado que cualquier ángulo entre 30° y 80° provee un máximo de corrosión por pérdida de peso (Shreir et al., 1994); pese a esto, ensayos en campo abierto han señalado que muestras totalmente horizontales están sujetas a una mayor velocidad de corrosión y pérdida de peso (Vera et al., 2003).
2.4 Prohesion TM
El ensayo acelerado cíclico en medio diluido, también conocido como prohesionTM, por su abreviación en inglésproteccion y adhesion (Davies y Evrard, 2007; Cremer, 1989), es una prueba descrita en la norma ASTM G85-09, apéndice 5. Su uso se ha extendido porque suministra una mejor predicción del desempeño de recubrimientos y una mejor reproducibilidad respecto a la cámara salina. Esto se logra gracias a la presencia de sulfato de amonio y cloruro de sodio a bajas concentraciones en la solución de aspersión (Howard et al., 2001; Bierwagen et al., 2001). Este ensayo consiste en ciclos de una hora en seco y una hora en niebla. Las condiciones del ensayo son las siguientes:
- Concentración niebla: NaCl 0,05%; (NH4)2SO2 0,35%.
- Temperatura: niebla 24 °C; seco 35 °C.
- %HR: debajo de 75%.
Howard et al. (2001) han encontrado que la morfología del deterioro para recubrimientos de PVC sobre un sustrato de zinc en el ensayo prohesion es muy similar a la de una exposición de dos años en atmósferas marinas de alta agresividad; por otro lado, Zapponi et al. (2007) encontraron diferentes tipos de óxido de hierro para estos dos escenarios (acelerado y natural) y concluyeron que los mecanismos de corrosión obtenidos mediante las dos vías son diferentes para los sistemas de pinturas en base de agua evaluados en su investigación.
En general, se ha encontrado que mil horas de exposición son suficientes para efectuar una buena predicción del rendimiento de sistemas de protección (Howard et al., 2001), aunque otras fuentes recomiendan hasta dos mil horas cuando se realizan estudios cuantitativos; por ejemplo, mediciones a partir de técnicas electroquímicas como la EIS (Bierwagen et al., 2000; Zapponi et al., 2007).
Yang et al. (2003) han realizado varios estudios con ensayos prohesion alternados con exposición en cámaras UV, generalmente con ciclos de una semana en cada cámara, y encontraron que esta prueba, aunque toma más tiempo en la obtención de resultados cuantificables (4.500 horas aproximadamente), tiene unas condiciones de ensayo más cercanas a las de un ambiente natural y, por tanto, hay menos riesgo de afectar los mecanismos de corrosión.
2.5 Cámara UV/condensación
La luz ultravioleta (UV), la humedad y la temperatura son los tres parámetros principales que afectan la degradación de recubrimientos expuestos al ambiente (Jacques, 2000), y aunque la atmósfera absorbe gran porción del espectro UV de la luz solar, una pequeña porción con longitudes de onda corta (300 a 380 nm) alcanzan el suelo terrestre. Estos tipos de onda tienen la suficiente energía como para romper enlaces químicos de sustancias orgánicas a través de reacciones fotoquímicas (Bierwagen et al., 2001).
Con los ensayos en cámara UV/condensación se busca simular el efecto de la luz solar, en conjunto con la humedad y la temperatura, sobre materiales que se pueden degradar bajo estas condiciones; pero en tiempos más cortos. En este ensayo las muestras se exponen a ciclos repetitivos de radiación y humedad, y bajo condiciones ambientales controladas la humedad generalmente se obtiene por atomización de agua desionizada según lo recomiendan las normas ASTM G151, G154 y D4587. En esta última se pueden encontrar los ciclos comúnmente usados y los parámetros de irradiancia y temperatura.
Se ha demostrado que la cámara QUV provee un ambiente más agresivo que el ensayo prohesion; por otro lado, desprecia factores importantes como la presencia de contaminantes (Yang et al., 2009), y, de manera indeseable, se pueden generar reacciones químicas no naturales debido al alto flujo de radiación sobre las películas, fenómeno que puede llevar a una pobre correlación respecto a resultados bajo exposición natural. La variable que más atención ha recibido para ensayos de este tipo es el brillo, ya que es una medida indirecta de la degradación y la rugosidad en la superficie; además, el entizamiento, la decoloración y la fragilización son otros factores que puede tenerse en cuenta también (Johnson y McIntyre, 1996; Ochs et al., 2003).
Las cámaras que usan lámparas de xenón arc reproducen con mayor fidelidad el espectro de luz solar que ingresa en la superficie terrestre; sin embargo, las cámaras de radiación UV tienen básicamente tres ventajas sobre estas: son menos costosas, producen poca radiación de onda larga o infrarroja y, por lo tanto, no hay presencia de calentamiento indeseado; además, se pueden usar simultáneamente con aerosol de condensación.
Existen tres tipos de lámparas que producen radiación UV: UVA, UVB y UVC. Se ha encontrado que la mejor opción para estudios de correlación es la lámpara UVA, pues reproduce de manera más fiel el espectro solar a bajas longitudes de ondas (Johnson et al., 1996).
Ochs et al. (2003) han realizado estudios usando este tipo de ensayo en conjunto con exposición en cámara salina según la normativa ISO 20340 y han encontrado buenos ajustes a modelos propuestos en su investigación, que, además, tienen en cuenta los efectos de corrientes vagabundas, debido a fugas en las celdas o en el equipo, dificultad que se puede solucionar con un secado previo de la superficie alrededor del área de la celda.
3. Correlaciones: ensayos acelerados y campo natural
La comunidad científica se muestra un poco frustrada al establecer correlaciones exitosas entre los ensayos acelerados (indoor) y aquellas pruebas realizadas en campo abierto (outdoor). Esto se debe básicamente a que los mecanismos de deterioro y corrosión en condiciones aceleradas tienden a tomar otras rutas y son más o menos sensibles a ciertos factores específicos; además, no existe una prueba de laboratorio definitiva que involucre todos los agentes importantes en condiciones reales (Meeker et al,. 2000).
Un exhaustivo estudio realizado por la European Coil Coating Association y la Netherlands Organisation for Applied Scientific Research concluyen que ninguno de los ensayos acelerados usados en la investigación puede predecir fielmente el deterioro a largo y mediano plazos de los recubrimientos (Tiemens y Hoeflaak, 2001).
Las correlaciones para ensayos de UV gozan de bastante popularidad, especialmente para lámparas de xenón, las cuales reproducen fielmente el espectro solar (Martin et al., 2002; Pimente et al., 2003). También se han realizado investigaciones de correlación usando lámparas UVA y UVB, como los reportados por (Deflorian et al., 2007). Sus estudios confirman la insuficiencia de estos ensayos, basados en radiación ultravioleta, para explicar el proceso de deterioro de los recubrimientos, y por lo tanto para simular completamente el comportamiento de los sistemas en campos naturales.
En un estudio más reciente (Deflorian et al., 2008) se presentan unos resultados preliminares de comparación entre ambientes naturales y artificiales para recubrimientos sobre acero galvanizado, que indican la necesidad de tener mediciones meteorológicas precisas y caracterizar correctamente las propiedades del recubrimiento vía EIS. Además, para una correcta predicción o extrapolación a tiempos mayores, la intensidad de radiación debe estar dentro del rango que corresponda a la misma cinética de la fotooxidación del polímero cuando esté expuesto a campo abierto (Yang et al., 2003).
(Bos, 2008) publicó una concisa descripción de los estudios de correlación realizados hasta la fecha, y resalta aquel propuesto por la Cleveland Society for Coatings Technology, en los que se pusieron a prueba los ensayos acelerados más comunes y se compararon los resultados contra el deterioro de placas sometidas durante doce meses en condiciones naturales. La Tabla 1 reporta los coeficientes de correlación calculados y demuestra que el ensayo cíclico prohesion/ UV definitivamente tiene la mejor correspondencia de resultados. Bos (2008) también destaca los trabajos de Knudsen et al. (2001), en los cuales se calcula la correlación para muestras con recubrimiento orgánico, pero en atmósferas marinas expuestas durante cinco años.
Una de las dificultades que se han encontrado en la literatura es que las normas estandarizadas (ASTM, ISO, entre otras) dejan muchas variables a criterio del investigador; por lo tanto, la reproducibilidad de estos ensayos puede ser deficiente cuando son realizados por laboratorios distintos, incluso personas distintas en un mismo laboratorio. Esta es una de las razones por las cuales no existe un consenso sobre la fiabilidad de los ensayos acelerados y cuál de estos es el mejor.
Floyd et al. (2009) investigaron la correlación de los resultados obtenidos por un ensayo continuo (niebla salina, ASTM B117) y otro cíclico (GM 9540) respecto a mediciones en muestras no expuestas a estos ambientes, y encontraron poca correspondencia de las resistencias (Rc y Rd), medidas para muestras expuestas en cámara salina en relación con sus resultados de corrosión visuales; por el contrario, los resultados EIS para el ensayo cíclico mostraron muy buena correlación. En esta investigación también se encontró que el acabado del sistema de pinturas (topcoat) baja drásticamente los valores del grado de correlación hasta 0,6 cuando para las mismas muestras sólo con el pretratamiento superficial o primer reportan coeficientes de correlación mayores a 0,9. Esto indica que el acabado es un factor determinante en la variabilidad de los sistemas.
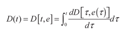
(Meeker et al., 2000) formularon un modelo estocástico para calcular la degradación de un material a partir de un vector e(t) que contiene las variables ambientales a un tiempo dado y la velocidad de degradación dD[τ,e(t)}/dτ; además, en su trabajo esbozan un par de ejemplos de aplicación. El más interesante de los dos calcula la velocidad de deterioro teniendo en cuenta la irradiancia UV, temperatura y humedad relativa. Así, con estos datos y usando la ecuación (1), junto con otras herramientas matemáticas, se puede calcular la distribución del tiempo de servicio real.
(1)
4. Espectroscopia de impedancia electroquímica
La teoría general sobre espectroscopia de impedancia electroquímica puede hallarse en numerosas fuentes (Barsoukov y McDonald, 2005; Princeton, 1989; Rammelt y Reinhart, 1992). Esta técnica usada para el estudio fenomenológico de sistemas electroquímicos empezó a extenderse fuertemente a comienzos de la década de los setenta, con investigaciones que arrojaron muy buenos resultados y permitieron detallar los mecanismos de corrosión involucrados en la disolución de metales en soluciones ácidas (Epelboin y Keddam, 1970; Epelboin et al., 1972; Keddam et al., 1981). Posteriormente, la técnica fue encontrando aplicaciones cada vez más específicas, entre las cuales destaca el estudio de procesos de deterioro en recubrimientos para determinar cuál sistema de pinturas es el adecuado según las condiciones de exposición real o simuladas (Amirudin y Thierry, 1995; Bierwagen et al., 2003; Del Amo et al., 2004; Floyd et al., 2009; Rammelt y Reinhard, 1992).
La ventaja de EIS sobre otras técnicas electroquímicas radica en que esta obtiene una visión más completa de todo el proceso de deterioro del recubrimiento, y debido a que es una técnica transiente, permite ver procesos con tiempo de estabilización cortos que no pueden observarse en otras técnicas, debido al enmascaramiento por otros procesos. La EIS, en conjunto con ensayos acelerados, puede proveer información importante sobre los mecanismos de deterioro y, por lo tanto, del desempeño de los recubrimientos en tiempos relativamente cortos (aproximadamente 3.000 horas), respecto a los tiempos de degradación real que pueden ser hasta diez años. Además, los parámetros calculados a partir de las lecturas de impedancia suelen ser muy exactos; pero infortunadamente no son reproducibles en general, porque pequeños cambios en la superficie del sustrato o algún defecto en la aplicación del recubrimiento pueden generar diferencias significativas en las curvas de impedancia. Se recomienda realizar, al menos, tres copias de cada sistema de pinturas (Floyd et al., 2009).
Con la medición de EIS se busca evaluar parámetros del sistema metal-recubrimiento que permitan evaluar su desempeño. Si estos análisis se realizan a lo largo del tiempo en muestras sometidas a diferentes condiciones, se puede determinar la historia del deterioro y, por lo tanto, identificar los factores que intervienen más fuertemente en el estado de los esquemas de pintura. El comportamiento anticorrosivo de un recubrimiento depende principalmente de (Rammelt y Reinhard, 1992): propiedades dieléctricas del recubrimiento, adhesión del recubrimiento al sustrato, filtración del agua a través del recubrimiento, penetración iónica, pigmentos y aditivos anticorrosivos, envejecimiento del recubrimiento, pretratamiento de superficie, porosidad y defectos en el recubrimiento, características de la superficie del sustrato, condiciones ambientales y reacciones electroquímicas complejas en la interfase sustrato-recubrimiento.
4.1 Fundamentos de EIS
Debido a la naturaleza electroquímica de los fenómenos que ocurren en la interfase de un metal y las interacciones de este con su medio, es posible reducir el sistema a elementos eléctricos pasivos como resistencias, capacitancias e inductores. A diferencia de las técnicas en estado estable como las polarizaciones, la EIS perturba el sistema provocando una inestabilidad en los procesos, los cuales deben llegar nuevamente a su estado estable pasando por los llamados tiempos de relajación τ (Amirudin y Thierry, 1995). Esta perturbación se realiza por medio de funciones senoidales aplicadas al voltaje del sistema, razón por la cual se denomina una técnica de corriente/voltaje alterno (AC). La función senoidal es función de la velocidad angular o frecuencia (ω = 2πƒ/), amplitud de la perturbación (Eo) y el tiempo, además puede escribirse en términos trigonométricos (ecuación 2) o en notación de números complejos (ecuación 3).
(2)
(3)
(4)
(5)
La respuesta en corriente obtenida se puede expresar análogamente en funciones senoidales y con un desfase θ respecto al potencial:
(6)
(7)
La ley de Ohm (ecuación 8), válida para sistemas bajo corriente directa (DC) o sistemas netamente resistivos, puede modificarse para obtener la expresión homóloga de impedancia en términos del voltaje transiente y la corriente resultante (ecuación 9).
(8)
(9)
Cada elemento eléctrico afecta de manera distinta la respuesta de la corriente, y tiene asociada una impedancia característica. Sin embargo, estos tres elementos no suelen explicar completamente todos los fenómenos que pueden ocurrir en un proceso electroquímico, en ocasiones es necesario hacer uso de modelos reaccionales (Calderón et al., 2008; Cordeiro et al., 1993; Epelboin y Keddam, 1970; Keddam et al. 1981) para interpretar comportamientos en las impedancias que con ayuda de circuitos equivalentes sencillos no es posible; por ejemplo, cuando existen efectos de difusión de especie o procesos de adsorción/ desorción en la superficie del metal.
4.2 Circuitos equivalentes
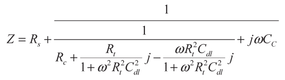
Los circuitos equivalentes expuestos en la Figura 2 son los más usados para análisis, regresión y simulación de espectroscopias de impedancia, Rs es la resistencia de la solución, Cc es la capacitancia del recubrimiento, Rc es la resistencia del recubrimiento o de poro, Cdl es la capacitancia de doble capa, Rt es la resistencia a la transferencia de carga, que en este caso es igual a la resistencia a la polarización Rp, y ZW es la impedancia de Warburg. Entre los más usados se encuentran el circuito de Randles (RC), el cual ha demostrado un buen comportamiento cuando se usa en sistemas sin daño alguno o con recubrimientos levemente deteriorados (Bierwagen et al., 2003; Hattori et al., 2010; Özcan et al., 2002; Rammelt y Reinhard, 1992; Shreir et al., 1994) (Figura 2a). El otro circuito equivalente (Figura 2b) involucra dos constantes de tiempo, y es ampliamente usado en sistemas donde el recubrimiento está altamente deteriorado (Amirudin y Thierry, 1995; Del Amo et al., 2004; Özcan et al., 2002; Princeton, 1989; Shreir et al., 1994); además, incluye otros elementos que tratan de explicar la capacitancia de doble capa y la resistencia a la transferencia de carga cuando existe contacto directo entre el electrólito y la superficie metálica.
Los elementos capacitivos en los últimos años se han empezado a reemplazar por un elemento de fase constante (CPE), el cual tiene la forma A(jw)α. Los CPE explican mejor el achatamiento de los semicírculos del diagrama de Nyquist. Otros circuitos equivalentes deben considerarse para sistemas complejos, por ejemplo, cuando existe corrosión localizada por picadura o efectos por ampollamiento en el recubrimiento (Kern et al., 1999; Mansfeld, 1993).
En ocasiones se suele asumir que la impedancia de Warburg (ZW) es despreciable; sin embargo, se ha demostrado el efecto de difusión de iones, específicamente Cl-, a través de un recubrimiento epóxico (Hu et al., 2003), y ser necesaria la inclusión de un CPE que explique la impedancia por difusión (Zdiff) generada en los EIS; también se puede presentar difusión de agua u oxígeno dependiendo de las condiciones del sistema.
Por análisis de circuitos eléctricos se pueden obtener expresiones para la impedancia en términos de los elementos pasivos descritos. La impedancia resultante para el circuito equivalente de la Figura 2a aplicada a un sistema con recubrimiento y en ausencia de efectos por difusión de especie, se define por la ecuación (10); por otro lado, el circuito de la Figura 2b tiene una impedancia definida por una expresión más compleja (ecuación 11).
(10)
(11)
Los valores de los elementos pasivos generalmente se hallan por regresión no lineal o usando software especializado suministrado por los fabricantes de equipos para medición de impedancias. También pueden encontrarse por ensayo y error, o usando métodos más sofisticados como redes neuronales (Kamrunnahar y Urquidi-Macdonald, 2010).
4.3 Interpretación de parámetros
El significado fenomenológico de cada uno de los elementos pasivos usados en los circuitos equivalentes sigue siendo un campo de discusión; sin embargo, existe un consenso general entre muchos autores que asignan comportamientos específicos para cada uno: Rs es la resistencia asociada a la solución, también denominada resistencia no compensada. Este parámetro no debería brindar información relevante sobre el sistema recubrimiento-sustrato y generalmente se asume constante para varios ensayos; sin embargo, se ha visto que puede ser usado para cuantificar el error total de la medición (Floyd et al., 2009). A diferencia de la resistencia de la solución, los otros elementos pueden brindar información valiosa sobre el deterioro del sistema (Amirudin y Thierry, 1995). A continuación se resumen los significados de estos elementos:
Cc: La capacitancia del recubrimiento puede brindar información sobre la cantidad de agua que ha sido absorbida por éste. Algunos autores recomiendan no usarla como parámetro cuantificador del deterioro, ya que su valor se satura a un tiempo dado. Si se reemplaza por un CPE, puede brindar información sobre el deterioro y la delaminación del recubrimiento (Amirudin y Thierry, 1995). La capacitancia está dada por:
(12)
(13)
ε0 y εr son la permitividad eléctrica del vacío y la constante dieléctrica del material respectivamente. Esta última, también llamada permitividad relativa, está relacionada con la permitividad eléctrica del material (ε). A es el área del recubrimiento y d es el espesor. Como se puede observar en la ecuación (12) y sabiendo que la constante dieléctrica del agua es 80, la capacitancia de un recubrimiento en ambiente húmedo tiende a aumentar con el tiempo a medida que absorbe agua; por esta razón capacitancias bajas se asocian con un buen estado del recubrimiento.
Un método simple y empírico propuesto por Brasher y Kingsbury, mencionado por (Amirudin y Thierry, 1995) en su revisión permite calcular la cantidad de agua absorbida por el recubrimiento:
(14)
Donde, Xv es la fracción en volumen del agua absorbida por el recubrimiento y Co la capacitancia del recubrimiento al inicio de la exposición (Amirudin y Thierry, 1995).
Rc: generalmente se asume que este parámetro está relacionado con la resistencia al ampollamiento y la porosidad del recubrimiento (Floyd et al., 2009), así como con los caminos que recorre el electrólito a través de la capa, sea por presencia de poros o por un bajo entrelazado del polímero (crosslinking), fenómeno que provoca un cortocircuito con el metal (Del Amo et al., 2004). Su comportamiento a lo largo del tiempo ha sido estudiado exhaustivamente. Para hallar la fracción del área porosa a partir de la resistencia del recubrimiento se recurre a las siguientes expresiones (Amirudin y Thierry, 1995):
(15)
(16)
(17)
El cociente NAc/A se denomina porosidad del recubrimiento, donde d es el espesor del recubrimiento, k es su conductividad eléctrica, A es el área total recubierta y Ac es el área seccional promedio de los canales del poro.
También se ha relacionado con la delaminación del sistema de pintura cuando el sistema está altamente deteriorado. El área delaminada puede calcularse con las siguientes expresiones:
(18)
(19)
En este caso Ad es el área delaminada y p e la resistividad específica de la solución.
Cdl: casi todos los autores concuerdan en que representa la parte intacta del recubrimiento, y permite calcular el área que se ha separado del sustrato y, por lo tanto, el avance de la delaminación en el sistema (Amirudin y Thierry, 1995; Del Amo et al., 2004). Matemáticamente se puede calcular el área delaminada usando la siguiente ecuación:
(20)
Cdo es la capacitancia de doble capa del metal sin recubrimiento alguno.
Rt: la resistencia a la transferencia de carga, también denominada resistencia interfacial, sólo debería considerarse para recubrimientos defectuosos o envejecidos, debido a que sólo se puede determinar cuando hay dos constantes de tiempo visibles en el espectro. Este parámetro es usado para medir las propiedades protectoras de un recubrimiento cuando la velocidad de corrosión puede estimarse mediante otros medios. La resistencia a la transferencia de carga también depende del área delaminada y de la resistencia específica del metal sin recubrimiento Rto:
(21)
En general, se asume que altas resistencias y bajas capacitancias determinan una mejor protección anticorrosiva (Amirudin y Thierry, 1995; Floyd et al., 2009), y cuando los recubrimientos empiezan a deteriorarse se forman poros por los cuales puede filtrarse electrolito y disminuir considerablemente su resistencia; por otro lado, al absorberse agua, la cual típicamente tiene una constante dieléctrica mayor al recubrimiento, aumenta su capacitancia. La evolución de estos cuatro parámetros determina el desempeño a lo largo del tiempo, a medida que aumentan, disminuyen o se estabilicen.
5. Impedancia y ensayos acelerados
Actualmente existe mucha bibliografía que reporta estudios de recubrimientos orgánicos usando el dúo EIS-ensayos acelerados. La mayoría se realizan en cámara de niebla salina y con lecturas de impedancia sólo al principio y al final de la exposición (Armelin, 2008; Edavan y Kopinski, 2009; Sathiyanarayanan et al., 2009), o incluso sin exposición alguna y sólo con la lectura de impedancia a recubrimientos nuevos (González et al., 2007; Hosseini, et al., 2007; Lengyel et al., 2007; Zin et al., 1998). Aunque estas metodologías permiten evaluar la capacidad anticorrosiva de los recubrimientos, son, por así decirlo, pruebas de estado, es decir, no tienen en cuenta las formas ni velocidades de deterioro y sólo sirven como método para comparar sistemas de pinturas entre sí.
Por otro lado, estudios anteriormente citados (Bierwagen et al., 2003 y 2001; Davies y Evrard, 2007; Del Amo et al., 2004; Duarte et al., 2007; Fedrizzi et al., 2006; Yang et al., 2003) realizan mediciones periódicas de los sistemas, con especial atención a recubrimientos de tipo poliuretano, y los someten no sólo a cámara salina, sino también al ensayoprohesion, UV o combinaciones de estos, tal y como se describió en apartados anteriores. En general estos estudios llegan a resultados satisfactorios y una buena concordancia entre los datos medidos por EIS y otras mediciones como el grado de ampollamiento y área delaminada; además, investigaciones como las llevados a cabo por Hinderliter et al. (2006) ayudarán a encontrar el significado fenomenológico de los circuitos equivalentes modificados, pues permitirán la fusión entre los circuitos normales y leyes de difusión. De esta forma, se espera elaborar modelos que puedan aplicarse en un rango más amplio de condiciones, habilitando la extrapolación de tiempos mayores y proporcionando datos relevantes sobre el desempeño de sistemas de pinturas a largo plazo. Las citas anteriores demuestran que la evaluación del desempeño de recubrimientos envejecidos usando EIS es confiable, pese a ser una técnica relativamente nueva y que sólo hasta esta última década se ha usado extensivamente para éste propósito.
6. Conclusiones
En los últimos años la técnica EIS se ha posicionado como una herramienta poderosa para evaluar el desempeño de recubrimientos, especialmente poliméricos, sobre sustratos metálicos. Aún existen discrepancias entre los autores sobre el significado fenomenológico de los elementos pasivos de los circuitos eléctricos equivalentes, pero se ha visto que es posible la fusión de estos con leyes y teorías reconocidas que ayuden a explicar el proceso de deterioro en recubrimientos.
Ensayos acelerados como la cámara de niebla salina, pese a sus dificultades, sigue siendo un estándar mundial para evaluar el desempeño de sistemas de pinturas, pero no se pueden dejar a un lado los avances actuales en cámaras UV, y métodos cíclicos combinados como el prohesion, los cuales han presentado una muy buena concordancia respecto a los datos obtenidos en condiciones reales de exposición, dado que actualmente con la disponibilidad de métodos y equipos de impedancia más exactos se pueden establecer correlaciones confiables en años venideros.
Referencias
ALTMAYER, F. Choosing an accelerated corrosion test. Metal Finishing. 2001, núm. 99, pp. 579-585. [ Links ]
AMIRUDIN, A. y THIERRY, D. Application of electrochemical impedance spectroscopy to study the degradation of polymer-coated metals. Progress in Organic Coatings. 1995, vol. 26, núm. 1, pp. 1-28. [ Links ]
ARMELIN, E. Corrosion protection with polyaniline and polypyrrole as anticorrosive additives for epoxy paint. Corrosion Sciences. 2008, vol. 50, pp. 721-728. [ Links ]
BARSOUKOV, E. y MACDONALD, J. R. Impedance spectroscopy theory, experiment, and applications. New York: John Wiley and Sons. 2005. [ Links ]
BIERWAGEN, G.; TALLMAN, D.; LI, J.; HE, L. y JEFFCOATE, C. EIS studies of coated metals in accelerated exposure. Progress in Organic Coatings. 2003, vol. 46, núm. 2, pp. 149-158. [ Links ]
BIERWAGEN, G. P.; HEA, L.; LIA, J.; ELLINGSON, L. y TALLMAN, D. E. Studies of a new accelerated evaluation method for coating corrosion resistanceâ€" thermal cycling testing. Progress in Organic Coatings. 2000, vol. 39, pp. 67-78. [ Links ]
BIERWAGEN, G. P. y TALLMAN, D. E. Choice and measurement of crucial aircraft coatings system properties. Progress in Organic Coatings. 2001, vol. 41, pp. 201-216. [ Links ]
BOS, T. Cyclic Laboratory Tests for Evaluating Coatings: A Brief Review of Literature. Journal of Protective Coatings and Linings. 2008, núm. 25, pp. 73-79. [ Links ]
BOTERO, C. Evaluación de la corrosividad de atmósferas colombianas y su impacto sobre el deterioro de algunos materiales empleados en el sector eléctrico. s. d., 2008. [ Links ]
BROSSIA, S. Environmental performance of materials section: laboratory assessment of corrosion. s. l.: Southwest Research Institute, 2005. [ Links ]
BRUNNER, S. ; RICHNER, P ; MULLER, U. y GUSEVA, O. Accelerated weathering device for service life prediction for organic coatings. Polymer Testing. 2005, núm. 24, pp. 25-31. [ Links ]
CALDERÓN, J. A.; BARCIA, O. E. y MATTOS, O. R. Reaction model for kinetic of cobalt dissolution in carbonate/bicarbonate media. Corrosion Science. 2008, núm. 50, p. 2101. [ Links ]
CASTAÑO, J. G. Efecto del NO2 en la corrosión atmosférica del zinc. Tesis doctoral. Madrid: Universidad Complutense, 2001. [ Links ]
CORDEIRO, G. G. O. ; BARCIA, O. E. y MATTOS, O. R. Copper Electrodissolution Mechanism in a 1 M Sulphate Medium. Electrochimica Acta. 1993, vol. 38, pp. 319-324. [ Links ]
CREMER, N. D. Prohesion compared to salt spray and outdoors: cyclic methods of accelerated corrosion testing, in federation of societies for coatings technology. Paint Show, 1989. [ Links ]
DAVIES, P. y EVRARD, G. Accelerated ageing of polyurethanes for marine applications. Polymer Degradation and Stability. 2007, núm. 92, pp. 1455-1464. [ Links ]
DEFLORIAN, F.; ROSSI, S. y FEDEL, M. Organic coatings degradation: comparison between natural and artificial weathering. Corrosion Science. 2008, núm. 50, pp. 2360-2366. [ Links ]
DEFLORIAN, F.; ROSSI, S.; FEDRIZZI, L. y ZANELLA, C. Comparison of organic coating accelerated tests and natural weathering considering meteorological data. Progress in Organic Coatings. 2007, vol. 59, pp. 244-250. [ Links ]
DEHRI, I. y ERBIL, M. The efect of relative humidity on the atmospheric corrosion of defective organic coating materials, pp. an EIS study with a new approach. Corrosion Science. 2000, núm. 42, pp. 969-978. [ Links ]
DEL AMO, B.; VÉLEVA, L.; DI SARLI, A. R. y ELSNER, C. I. Performance of coated steel systems exposed to different media: Part I. Painted galvanized steel. Progress in Organic Coatings. 2004, vol. 50, núm. 3, pp. 179-192. [ Links ]
DUARTE, R. G.; CASTELA, A. S. y FERREIRA, M. G. S. Influence of ageing factors on the corrosion behaviour of polyester coated systems-A EIS study. Progress in Organic Coatings. 2007, vol. 59, núm. 3, pp. 206-213. [ Links ]
EDAVAN, R. P. y KOPINSKI, R. Corrosion resistance of painted zinc alloy coated steels. Corrosion Sciences. 2009, núm. 51, pp. 2429-2442. [ Links ]
EPELBOIN, I. y KEDDAM, M. Faradaic impedances: diffusion impedance and reaction impedance. Journal of the Electrochemical Society. 1970, núm. 117, pp. 1052-1056. [ Links ]
EPELBOIN, I.; KEDDAM, M. y TAKENOUTI, H. Use of impedance measurements for the determination of the instant rate of metal corrosion. Journal of Applied Electrochemistry. 1972, núm. 2, pp. 71-79. [ Links ]
FEDRIZZI, L.; BERGO, A. y FANICCHIA, M. Evaluation of accelerated aging procedures of painted galvanised steels by EIS. Electrochimica Acta. 2006, vol. 51, núms. 8-9, pp. 1864-1872. [ Links ]
FLOYD, F. L.; AVUDAIAPPAN, S.; GIBSON, J.; MEHTA, B.; SMITH, P.; PROVDER, T. y ESCARSEGA, J. Using electrochemical impedance spectroscopy to predict the corrosion resistance of unexposed coated metal panels. Progress in Organic Coatings. 2009, núm. 66, pp. 8-34. [ Links ]
GONZÁLEZ-GARCÍA, Y; GONZÁLEZ, S. y SOUTO, R. M. Electrochemical and structural properties of a polyurethane coating on steel substrates for corrosion protection. Corrosion Sciences. 2007, núm. 49, pp. 3514-3526. [ Links ]
HATTORI, M.; NISHIKATA, A. y TSURU, T. EIS study on degradation of polymer-coated steel under ultraviolet radiation. Corrosion Science. 2010, núm. 52, pp. 2080-2087. [ Links ]
HINDERLITER, B. R.; CROLL, S. G.; TALLMAN, D. E.; SU, Q. y BIERWAGEN, G. P. Interpretation of EIS data from accelerated exposure of coated metals based on modeling of coating physical properties. Electrochimica Acta. 2006, vol. 51, núm. 21, pp. 4505-4515. [ Links ]
HOSSEINI, M.; ASHASSI-SORKHABI, H. y GHIASVAND, H. A. Y The mode of action of chromate inhibitor in epoxy primer on galvanized steel. Journal of Rare Earths. 2007, núm. 25, pp. 537-543. [ Links ]
HOWARD, R. L.; LYON, S. B. y SCANTLEBURY J. D. Accelerated tests for the prediction of cut-edge corrosion of coil-coated architectural cladding. Part I: cyclic cabinet salt spray. Progress in Organic Coatings. 2001, núm. 37, pp. 91-98. [ Links ]
HU, J. M.; ZHANG, J. Q. y CAO, C. N. Determination of water uptake and diffusion of Cl- ion in epoxy primer on aluminum alloys in NaCl solution by electrochemical impedance spectroscopy. Progress in Organic Coatings. 2003, núm. 46, pp. 273. [ Links ]
JACQUES, L. F. E. Accelerated and outdoor/natural exposure testing of coatings. Progress in Polymer Science. 2000, núm. 25, pp. 1337-1362. [ Links ]
JOHNSON, B. W. y MCINTYRE, R. Analysis of test methods for UV durability predictions of polymer coatings. Progress in Organic Coatings. 1996, núm. 27, pp. 95-106. [ Links ]
KAMRUNNAHAR, M. y URQUIDI-MACDONALD, M. Prediction of corrosion behavior using neural network as a data mining tool. Corrosion Science. 2010, núm. 52, pp. 669-677. [ Links ]
KEDDAM, M.; MATTOS, O. y TAKENOUD, H. Reaction Model for Iron Dissolution Studied by Electrode Impedance. Journal of the Electrochemical Society. 1981, núm. 128, pp. 257-274. [ Links ]
KERN, P.; BANER, L. y LANGE, J. Electrochemical impedance spectroscopy as a tool for investigating the quality and performance of coated food cans. Journal of Coatings Technology. 1999, núm. 71, p. 67. [ Links ]
LENGYEL, B.; MESZAROS, L.; MESZAROS, G.; FEKETE, E.; JANASZIK, F. y SZENES, I. Electrochemical and structural properties of a polyurethane coating on steel substrates for corrosion protection. Corrosion Sciences. 2007, núm. 49, pp. 11-14. [ Links ]
MANSFELD, F. Models for the impedance behavior of protective coatings and cases of localized corrosion. Electrochimica Acta. 1993, núm. 38, pp. 1891-1897. [ Links ]
MARTIN, J. W; NGUYEN, T.; BYRD, E.; DICKENS, B. y EMBREE, N. Relating laboratory and outdoor exposures of acrylic melamine coatings: I. Cumulative damage model and laboratory exposure apparatus. Polymer Degradation and Stability. 2002, núm. 75, pp. 193-210. [ Links ]
MEEKER, W Q.; ESCOBAR, L. A. y CHAN, V Using accelerated tests to predict service life in highly-variable environments [documento en línea]. 2000. http://www.stat.fi/isi99/ proceedings/arkisto/varasto/meek0439.pdf [citado 26-03-2011] [ Links ].
OCHS, H.; VOGELSANG, J. y MEYER, G. Enhanced surface roughness of organic coatings due to UV-degradation, pp. an unknown source of EIS-artifacts. Progress in Organic Coatings. 2003, núm. 46, pp. 182-190. [ Links ]
ÖZCAN, M.; DEHRI, I. y ERBIL, M. EIS study of the effect of high levels of SO2 on the corrosion of polyester-coated galvanised steel at different relative humidities. Progress in Organic Coatings. 2002, vol. 44, núm. 4, pp. 279-285. [ Links ]
PIMENTE REALA, L.; PEREIRA ROCHA, A. y GARDETTE, J. Artificial accelerated weathering of poly, núm. vinyl chloride) for outdoor applications, pp. the evolution of the mechanical and molecular properties. Polymer Degradation and Stability. 2003, núm. 82, pp. 235-243. [ Links ]
PRINCETON. Basics of electrochemical impedance spectroscopy impedance, application note AC-1. [web en línea]. 1989. http://www.worldenergylabs.com/technology/documents/pdfs/Introduction_to_FRA.pdf [consulta: 23-09-2010] [ Links ].
RAMMELT, U. y REINHARD, G. Application of electrochemical impedance spectroscopy (EIS) for characterizing the corrosion-protective performance of organic coatings on metals. Progress in Organic Coatings. 1992, núm. 21, pp. 205-226. [ Links ]
SATHIYANARAYANAN, S.; AZIM, S. S. y VENKATACHARI, G. Corrosion protection of galvanized iron by polyaniline containing wash primer coating. Progress in Organic Coatings. 2009, núm. 65, pp. 152-157. [ Links ]
SHREIR, L. L.; JARMAN, R. A.; BURSTEIN, G. T. Corrosion. 3 ed. Vol. 1-2. New York: Elsevier 1994. [ Links ]
SILVERMAN, D. C. Primer on the AC impedance technique, in electrochemical techniques for corrosion engineering. Houston: NACE, 1986. [ Links ]
TIEMENS, H. J. y HOEFLAAK, M. Improved prediction of durability of coated metal sheet by artificial testing. ECCA Autumn Congress, 2001, Brussels, Belgium. [ Links ]
UHLIG, H. H. Corrosion and corrosion control. New York: John Wiley and Sons; 1971. [ Links ]
VERA, R.; ROSALES, B. M. y TAPIA, C. Effect of the exposure angle in the corrosion rate of plain carbon steel in a marine atmosphere. Corrosion Science. 2003, núm. 45, pp. 321-337. [ Links ]
YANG, X. y DING, X. Prediction of outdoor weathering performance of polypropylene filaments by accelerated weathering tests. Geotextiles and Geomembranes. 2006, núm. 24, pp. 103-109. [ Links ]
YANG, X. F.; LI, J.; CROLL, S. G.; TALLMAN, D. E. y BIERWAGEN, G. P Degradation of low gloss polyurethane aircraft coatings under UV and prohesion alternating exposures. Polymer Degradation and Stability. 2003, núm. 80, pp. 51-58. [ Links ]
YANG, X. F.; TALLMAN, D. E.; BIERWAGEN, G. P; CROLL, S. G. y ROHLIKA, S. Blistering and degradation of polyurethane coatings under different accelerated weathering tests. Polymer Degradation and Stability. 2009, núm. 77, pp. 103-109. [ Links ]
ZAPPONI, M.; PÉREZ, T.; RAMOS, C. y SARAGOVI, C. Prohesion and outdoors tests on corrosion products developed over painted galvanized steel sheets with and without Cr (VI) species. Corrosion Science. 2007, núm. 47, pp. 923-936. [ Links ]
ZIN, I. M.; HOWARD, R. L.; BADGER, S. J.; SCANTLEBURY, J. D. y LYON, S. B. The mode of action of chromate inhibitor in epoxy primer on galvanized steel. Progress in Organic Coatings. 1998, núm. 33, pp. 203-210. [ Links ]




































