INTRODUCCIÓN
En los últimos años, ha aumentado el interés en la producción de materiales plásticos alternativos a partir de fuentes renovables y amigables con el medio ambiente. En particular, en la elaboración de poliuretanos se busca el reemplazo de los compuestos a base de petróleo por aceites naturales; uno de los más valorados es el que se extrae del fruto de la higuerilla, por su estructura química profusa en hidroxilos [1].
La higuerilla es una especie vegetal de importancia para el sector industrial debido a su utilización como materia prima en la elaboración de nylon, pinturas, tintas, lubricantes, barnices, medicamentos y cosméticos. Su cultivo es rentable, considerando su adaptación a distintas alturas y tipo de suelo [2]. Las características de este aceite permiten la substitución del poliol, que junto con el isocianato son usados en la síntesis de los poliuretanos. Las características del producto final dependen de las concentraciones de cada uno de los reactivos iniciales y del procedimiento llevado a cabo. De esta forma, se obtienen adhesivos, recubrimientos, espumas, termoplásticos y elastómeros, flexibles, estables y resistentes [2-6].
Los nanocompuestos con bases poliméricas son estructuras formadas generalmente por nanopartículas (NPs) metálicas dispersadas en una matriz (polímero), cuyas características químicas, térmicas y mecánicas cambian en función de los tamaños y formas de las NPs [7-13]. Esto da lugar a varias aplicaciones; por ejemplo, se pueden usar como rellenos destinados a la regeneración ósea debido a su biocompatibilidad [14], sensores dieléctricos a través de la elaboración de capacitores elastoméricos [15], recubrimientos hidrofóbicos en el sector de la construcción [16], amortiguadores en la fabricación de dispositivos [17] y como adhesivos que cumplen con solicitaciones mecánicas y químicas específicas [18].
Con el uso de una matriz de poliuretano se aprovecha la versatilidad que caracteriza a estos polímeros, debido a su estructura de segmentos duros y blandos que depende del proceso de síntesis. Esto da la posibilidad de obtener productos con propiedades elásticas o rígidas. La incorporación en este tipo de matriz de NPs, como por ejemplo de óxidos de zinc, cobre o silicio, mejora las características fisicoquímicas y mecánicas de ésta. En particular, la incorporación de NPs de TiO2 (NPs-TiO2) es de interés por su potencial como biomaterial, fotocatalizador y sensor químico para la elaboración de membranas de nanofiltración, materiales biomédicos y recubrimientos [19], [20].
Debido a la baja dimensión de las NPs se aumenta la relación superficie-área volumen, lo que altera las propiedades físicas de los nanocompuestos en dependencia del tamaño de éstas. Una interface de forma densificada y cristalizada se crea alrededor de las NPs en la matriz polimérica. De tal forma que el crecimiento de la relación superficie/volumen de las NPs amplía la probabilidad de que más átomos de éstas interactúen con los de la interface, lo que incrementa la adhesión interfacial y por lo tanto la eficiencia en la transferencia de carga mecánica y de fonones para la disipación de energía térmica [21].
Para evaluar los cambios físicos de la matriz por la incorporación de las NPs, la caracterización térmica es fundamental y la técnica fotoacústica (FA) es un método fototérmico simple, no destructivo, que no requiere de una exhaustiva preparación de la muestra y que es aplicable a muestras en estado sólido, líquido o gaseoso [22]. Por esta razón, se usó en este trabajo para hallar la difusividad térmica (α) del nanocompuesto sintetizado.
El sistema de medición de difusividad térmica con la técnica FA se basa en la producción de ondas acústicas por calentamiento periódico del material debido a procesos de desexcitación no radiativos. La parte frontal de la muestra se calienta periódicamente por iluminación pulsada y el calor se propaga a través de ella; de tal forma que en la superficie posterior de la muestra el cambio de temperatura en una capa adyacente de aire produce sonido de muy baja intensidad. La variación periódica de presión que se genera es detectada por un micrófono en una configuración de celda abierta. Esta señal se amplifica y filtra, teniendo en cuenta la frecuencia de modulación de la luz incidente como referencia [23].
El análisis de amplitud de la señal FA en función de esta frecuencia permite determinar la difusividad térmica, a través del ajuste al modelo de Rosencwaig-Gersho (RG) [24]. Este parámetro termofísico describe cuán rápido un material reacciona a un cambio de temperatura y se relaciona con la velocidad de propagación del calor en procesos no estacionarios [25]. Una configuración similar, en la que se mantiene la frecuencia de modulación constante y se varía la longitud de onda de la luz incidente, permite obtener un espectro proporcional a la absorbencia de la muestra, utilizando una celda FA cerrada.
Por otro lado, el calor específico o cantidad de calor por unidad de masa para aumentar la temperatura de un cuerpo en un grado se puede estimar mediante el método de relajación térmica, midiendo en función del tiempo el cambio de temperatura que se produce por perturbación del equilibrio termodinámico de la muestra. Las ventajas de esta técnica son el bajo costo de instalación y simplicidad de su formalismo fisicomatemático, en comparación con el método más común de calorimetría diferencial de barrido [26]. En este trabajo, se reportan mediciones con este método del calor específico de nanocompuestos con diferentes concentraciones de NPs-TiO2 en una matriz de poliuretano, elaborado con aceite de higuerilla. Con estos datos y la difusividad, medida con la técnica FA, se calculó la efusividad y conductividad térmica de las muestras.
La caracterización térmica de un material se refiere a los fenómenos que se presentan cuando un sólido se calienta, como absorción, transmisión del calor y expansión. Estos dependen del calor específico, la conductividad térmica y el coeficiente de dilatación.
1. MATERIALES Y MÉTODOS
1.1 Elaboración del nanocompuesto de NPs-TiO2 en matriz de poliuretano
Las NPs-TiO2 fueron sintetizadas con la técnica de sol-gel, utilizando como precursor un alcóxido de titanio; se adicionaron 6.2 mL de titanio (IV)-bis(acetilacetonato) diisopropóxido (Sigma Aldrich, solución al 75 % en 2- propanol) en 25 mL de 2-propanol (Sigma Aldrich). Esta mezcla se agitó durante 5 min y posteriormente se llevó a cabo un proceso de hidrolisis, adicionando gota a gota una solución de 0.45 mL de agua destilada en 25 mL de 2-propanol para dar lugar a la formación de Ti(OH)4; después se calentó la solución a 100 °C hasta disminuir a la mitad el volumen; la solución restante se secó a temperatura ambiente y el sólido obtenido se trituró en un crisol y se sometió a un tratamiento térmico en una mufla, a una temperatura de 400 °C por 1 hora y 30 minutos, hasta obtener un sólido de color blanco [27],[28].
La matriz de poliuretano fue obtenida partiendo de aceite de higuerilla grado comercial con índice de hidroxilos de 179; éste se calentó a una temperatura de 250 °C y se agitó de manera constante a 300 rpm durante un tiempo de 4 a 6 horas hasta obtener una coloración ámbar; posteriormente se dejó enfriar a temperatura ambiente y se adicionó MDI en relación 1:2 en peso del aceite modificado; luego se añadieron las NPs-TiO2 en concentraciones de 0, 0.5, 1, 2 y 3 % p/p, bajo sonicación (ultrasonido Branson 1510) por 1 hora y la resina resultante se secó sobre una superficie plana.
1.2 Caracterización de los materiales
Para analizar las características de las NPs-TiO2 se utilizó un espectrofotómetro infrarrojo con transformada de Fourier (FTIR Shimadzu Prestige-21) con un barrido entre 4.000 cm-1 y 400 cm-1 y se empleó un difractómetro de rayos X (difractómetro Bruker D8-Advance). Los nanocompuestos se estudiaron con un espectrofotómetro infrarrojo con transformada de Fourier, acoplado a un accesorio de reflectancia total atenuada FTIR-ATR (Modelo 4.700 Jasco); el barrido se hizo entre 5.000 cm-1 y 220 cm-1.
Se usó espectroscopia FA para obtener espectros de las muestras en el rango UV-Vis; el montaje experimental se muestra en la figura 1 [29]; la luz que sale de una lámpara de Xenón de 1.000 W (Oriel) se hace pasar a través de un monocromador y se modula mecánicamente con un “chopper” a una frecuencia constante de 17 Hz. La luz se hace incidir, a través de una fibra óptica, sobre la muestra colocada dentro de una celda FA cerrada. Se utilizó un amplificador “Lock-in” (SR830) para obtener la amplitud de la señal FA en función de la longitud de onda de la luz.
La determinación del C p del nanocompuesto de TiO2 en matriz de poliuretano, con diferentes concentraciones de NPs-TiO2 se hizo con el método de relajación térmica. El montaje del sistema de medición se muestra en la figura 2; en este se dispone de una cámara cilíndrica sellada, de acero inoxidable de 40 cm de alto y 25 cm de diámetro; dentro del cilindro se suspende la muestra con dimensiones aproximadamente de 10 mm de ancho, 10 mm de largo y 0.6 mm de espesor. La superficie frontal de ésta se radió con un haz de luz de longitud de onda de 450 nm, procedente de un láser de estado sólido alimentado con una fuente de 4.7 V y 140 mA. El gradiente de temperatura entre la superficie frontal y la trasera de la muestra se midió utilizando un termómetro infrarrojo Lutron Modelo 908.
La difusividad térmica, α, del nanocompuesto se determinó con la técnica FA, cuyo montaje se describe en la figura 3; como fuente de luz para calentar la muestra se utilizó un láser de Argón de 50 mW de potencia, de longitud de onda 488 nm al 75 % de la potencia. El haz generado se pulsó con un modulador acusto-óptico para incidir sobre la superficie frontal de la muestra, colocada en la celda FA abierta; la amplitud de la señal FA se obtuvo a través de un amplificador Lock-in SR830 y se registró en un computador a través de una interfaz.

Fuente: elaboración propia.
Figura 3 Esquema del sistema para la medición de difusividad térmica, usando la técnica FA.
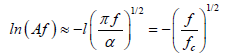
La amplitud y fase de la señal se miden con el amplificador de bloqueo, sincronizado a la frecuencia de modulación, f. A partir de las curvas de amplitud en función de f se determina directamente α con los parámetros de ajuste, de acuerdo con el modelo RG [24], que para una muestra ópticamente opaca y térmicamente gruesa predice que la amplitud de la señal de FA, A, puede expresarse como [30]:
Donde l es el espesor de la muestra y f c =(α /π l 2 ) es la llamada frecuencia de corte, que es aquella para la cual la longitud de penetración térmica es igual a l. De esta manera, la pendiente de la gráfica del logaritmo natural de A multiplicado por f, como función de f ½, permite el cálculo directo de la difusividad térmica. La conductividad térmica (k) y la efusividad térmica (ε) de las muestras se calcularon con las relaciones descritas en las ecuaciones (2) y (3) [31]:
Donde k es la conductividad térmica, e la efusividad térmica, ρ la densidad y C p el calor específico.
1.3 Ecuación de Scherrer
La ecuación de Scherrer se usa frecuentemente para determinar el diámetro de partículas de tamaño nanométrico, que varía inversamente con la anchura de la línea del pico de difracción, de la siguiente forma:
Donde L es el tamaño medio de la partícula; λ, la longitud de onda de los rayos X (1.5406 Å); K, un factor de forma que normalmente se toma con valor de 0.9; β, la anchura a media altura del pico con más intensidad del difractograma, expresada en radianes y θ es el ángulo de Bragg [32].
2. RESULTADOS Y DISCUSIÓN
2.1 Caracterización de las NPs-TiO2
En la figura 4 se muestra el espectro FTIR de las muestras de dióxido de titanio nanoparticulado. Se observa un pico en 3414 cm-1 representativo del estiramiento del enlace O-H, relacionado con el subproducto de Ti(OH)4 y con la presencia de humedad proveniente del ambiente [33]. El pico en 1631.7 cm-1 es generado por el estiramiento del enlace Ti-O y la banda entre 800 cm-1 y 450 cm-1 representa el estiramiento del enlace Ti-O-Ti; esto refleja la formación de las NPs-TiO2 [27] [34].
En la figura 5 se observa el difractograma de la muestra, con picos en 25°, 38°, 48°, 54° y 55°, característicos de la fase anatasa del dioxido de titanio. El tamaño de las NPs-TiO2, alrededor de 5.4±0.1 nm, fue determinado usando la ecuación de Scherrer (4), con base en información del pico de mayor intensidad en el difractograma [35].
2.2 Caracterización de los nanocompuestos de Nps-TiO2 en matriz de poliuretano
En la figura 6 se muestran los espectros FTIR que se obtuvieron con el uso de un accesorio ATR; las muestras corresponden a los compositos en la matriz de poliuretano con diferentes concentraciones porcentuales en masa de NPs-TiO2. A lo largo del barrido, se observa la disminución de la transmitancia a medida que aumenta la cantidad de NPs-TiO2. No se observan modificaciones en los picos representativos del grupo uretano que permitan inferir un cambio químico en la matriz del poliuretano por la adición de las NPs-TiO2 [36].

Fuente: elaboración propia.
Figura 6 Espectros FTIR - ATR de los nanocompuestos en matriz de poliuretano con diferentes concentraciones de NPs-TiO2.
En la figura 7 se observa el comportamiento de la amplitud de la señal FA que es proporcional a la absorbencia de los nanocompuestos en función de la longitud de onda de la luz incidente. El espectro de la matriz de poliuretano (NPs-TiO2 0%) presenta una banda de absorción antes de los 312 nm (3.97 eV); lo que está de acuerdo con lo reportado por otros autores que ubican en 284 nm un valor máximo de absorbencia para el aceite de higuerilla puro [37].

Fuente: elaboración propia.
Figura 7 Espectros FA UV-Vis de los nanocompuestos en matriz de poliuretano con diferentes concentraciones de Nps-TiO2.
En los espectros correspondientes a los nanocompuestos con diferentes concentraciones de NPs-TiO2, se observa el borde de la banda de absorción a partir de unos 350 nm (3.5 eV), cercano al del TiO2 puro en fase anatasa (3.2 eV). Este valor es un poco más alto que el del material en volumen, debido a los efectos de confinamiento cuántico que se presentan por la presencia de los nanocristales, que en este caso tienen tamaños del orden de los 5 nm [38].
Aunque se observan diferencias en las curvas espectrales, no es posible afirmar que se deban al cambio de la concentración de las NPs-TiO2, ya que las mediciones no corresponden exactamente a la absorbencia, sino que son proporcionales a esta. Esto se debe a la naturaleza de la técnica, en la que el sellado de la celda es un factor que afecta la intensidad de la señal FA. Sin embargo, es muy claro el cambio en el espectro cuando se agregan la Nps-TiO2, sobre todo en la región del infrarrojo cercano.
2.3 Medidas de parámetros termofísicos de los nanocompuestos de NPs-TiO2 en matriz de poliuretano
En la figura 8 se muestra el C p de los nanocompuestos en matriz de poliuretano en función de la concentración de masa de las NPs-TiO2. Aunque la adición de éstas aumentó el C p de la matriz del poliuretano, el incremento de la concentración a su vez hizo que el C p del nanocompuesto disminuyera; sin embargo, estos valores están dentro del intervalo reportado para NPs-TiO2, entre 1 y 1.1 J/g K [36]. Esto sugiere, que con un contenido cada vez mayor de NPs, la distribución del tiempo de relajación se amplía, lo que puede ser atribuido a que cada una de ellas interactúa con la interface del material polimérico que la recubre; los procesos químicos o físicos que tienen lugar en estas regiones tienen un papel fundamental en el almacenamiento de energía térmica [39].

Fuente: elaboración propia.
Figura 8 Cp de los nanocompuestos en matriz de poliuretano con diferentes concentraciones de NPs-TiO2.
En la figura 9 se muestra la α de las muestras en función de la concentración de NPs-TiO2. Estos valores se calcularon con el parámetro frecuencia de corte y los espesores de las muestras, que se muestran en la tabla 1. Se observa que α disminuye a medida que aumenta la concentración de las NPs-TiO2. Este comportamiento es similar al de la conductividad y efusividad térmica, reportadas en esta misma tabla, lo que está de acuerdo con lo reportado por otros autores acerca de la adición de arcilla, nanocristales de TiO2 o nanotubos de carbono a matrices poliméricas basadas en poliuretano, en cuanto a la disminución del valor de estos parámetros térmicos como efecto del estado de dispersión del material y de las características impermeables del mismo [40- 42].

Fuente: elaboración propia.
Figura 9 Difusividad térmica de los nanocompuestos en matriz de poliuretano con diferentes concentraciones de NPs-TiO2.
Tabla 1 Resultados de la medición de los parámetros termofísicos de los nanocompuestos en matriz de poliuretano con diferentes concentraciones de NPs-TiO2.
| Muestra | C p (J/g*K) | ρ (kg/m3) | α x10-6(m2/s) | κ (W/mK) | ε (Ws1/2/m2K) | l x10 -6 (m) | f c (Hz) |
|---|---|---|---|---|---|---|---|
| NPs-TiO2 0% | 0,90±0,02 | 1180,11 | 7,0±0,3 | 7,5±0,4 | 2818±144 | 824 | 0,3 |
| NPs-TiO2 0,5% | 1,14±0,03 | 1231,34 | 2,16±0,06 | 3,1±0,1 | 2116±80 | 639 | 0,59 |
| NPs-TiO2 1% | 1,05±0,03 | 1229.53 | 1,9±0,1 | 2,4±0,2 | 1758±151 | 582 | 0,57 |
| NPs-TiO2 2% | 1,10±0,03 | 1059,93 | 2,6±0,1 | 3,1±0,2 | 1893±96 | 608 | 0,44 |
| NPs-TiO2 3% | 1,02±0,03 | 1300,87 | 0,097±0,007 | 0,13±0,01 | 411±33 | 512 | 8,53 |
Fuente: elaboración propia.
La ley de Fourier que rige el flujo de calor es matemáticamente semejante a la ley de Ohm que describe el flujo de corriente. Con base en esta analogía, analizando el equivalente térmico a la resistencia eléctrica se puede determinar la conductividad térmica efectiva de un material compuesto. A escala nanométrica aumenta la frecuencia con la que aparece la resistencia interfacial (resistencia Kapitza) en función de la concentración de masa de las NPs en la matriz, lo que implica la disminución de la conductividad térmica y por lo tanto de la difusividad [43, 44].
3. CONCLUSIONES
Se obtuvieron Nanocompuestos de NPs-TiO2 fase anatasa con tamaño de partícula alrededor de 5 nm, a concentraciones de 0.5, 1, 2 y 3 %, en una matriz de poliuretano, fabricada con aceite de higuerilla reaccionado con MDI para su polimerización. Los resultados de espectrometría FTIR y FA UV-Vis permitieron confirmar la preservación de la estructura de la matriz en el proceso de incorporación de las NPs-TiO2
El Cp de la matriz aumentó tras la adición de las NPs-TiO2, mientras que α, k y ε disminuyeron, lo que es característico de algunos nanocompuestos. Con la concentración más alta (3 %) se obtuvo una conductividad térmica de 0.13 W/mK, inferior a la de plásticos convencionales como HDPE (Polietileno de alta densidad) y PET (Tereftalato de polietileno), que tienen 0.450 y 0,150 W/mK, respectivamente [45]. El hecho de que la conductividad térmica de los nanocompuestos de NPs-TiO2 esté por debajo del promedio de la reportada para otros plásticos convencionales y no convencionales, permite visualizar su potencial como aislante térmico [46].






















