Services on Demand
Journal
Article
Indicators
-
Cited by SciELO -
Access statistics
Related links
-
Cited by Google -
Similars in
SciELO -
Similars in Google
Share
Revista EIA
Print version ISSN 1794-1237
Rev.EIA.Esc.Ing.Antioq no.25 Envigado Jan./June 2016
UNA FÓRMULA DE CUBICACIÓN SOBRE EL PLANO
A FORMULA FOR CUBIC MEASUREMENT ON A PLANE
UMA FÓRMULA DO CUBO SOBRE O PLANO
Gabriel Poveda Ramos1
1 Ingeniero Químico, Ingeniero Electricista, Matemático. Doctor en Ingeniería. Correo electrónico: gapora@une.net.co.
Artículo recibido: 01-IV-2015 / Aprobado: 11-VII-2016
Disponible online: 30 de octubre de 2016
Discusión abierta hasta octubre de 2017
RESUMEN
Se deducen fórmulas para calcular con aproximación acotada, fórmulas que permiten valorar numéricamente integrales dobles e integrales triples sobre superficies bidimensionales planas, mediante mediciones de los valores de la función integrando, tomadas en una retícula cuadriculada que se trace en el plano. El método es análogo al que se usa para deducir la fórmula de Simpson para una integral simple.
PALABRAS CLAVE: Análisis Numérico; Integración numérica; Cálculo Integral.
ABSTRACT
Formulas are derived to calculate with acute approximation, formulas that allow numerical evaluation of double integrals and triple integrals on flat two-dimensional surfaces, by means of measurements of the integrating function values, taken in a grid that is plotted in the plane. The method is analogous to that used to derive Simpson's formula for a simple integral.
KEY WORDS: Numerical Analysis; Numerical integration; Integral calculus.
RESUMO
Deduzem-se fórmulas para calcular com aproximação limitada, fórmulas que permitem avaliar numericamente integrais duplas e integrais triplos sobre superfícies bidimensionais planas, através de medições dos valores da função integrando, tomadas em uma reticula quadriculada que se traça no plano. O método é análogo ao que se usa para deduzir a fórmula de Simpson para uma integral simples.
PALAVRAS-CHAVE: Analises Numérico; Integração numérica; Cálculo Integral.
1. Quienes estudian Cálculo integral o alguna de sus numerosas aplicaciones, conocen la fórmula de integración definida que se llama Fórmula de Simpson y que se usa para computar aproximadamente una integral definida en el caso de una función que está descrita por sus valores en puntos equidistantes. Como se recuerda la fórmula es
en donde los símbolos tienen el significado que se aprecia en el dibujo N° 1, anexo. No sobra recordar dos rasgos característicos de esta fórmula:
- El número de valores equidistantes que utiliza es: o 3, o 5, o 7,..., o, en general, un número impar de la forma n + 1
- La suma de los coeficientes de dichos términos es 3n
- El número de intervalos entre dos ordenadas consecutivas (yi, yi+1) es n y es par
- La suma de dichos intervalos es xn - xo
2. Es sorprendente que en la literatura didáctica matemática casi no se menciona el hecho evidente de que así como se deduce la fórmula de cuadratura de Simpson, así mismo puede deducirse una fórmula de cubicación para calcular (siquiera aproximadamente) el valor de integrales dobles definidas sobre una región R del plano, en dos variables, es decir, integrales de la forma
Una integral de esta forma expresa el volumen contenido entre la superficie z = f(x, y) y el plano determinado por los ejes cartesianos OX, OY, que son perpendiculares entre sí y perpendiculares a OZ. Por esta razón, una fórmula tal puede tener numerosas aplicaciones. Ejemplos de tales aplicaciones serían:
- Calcular el volumen estancado en un embalse conociendo una cuadrícula de profundidades suficientemente fina.
- Calcular el contenido de mineral de una colina, conociendo una cuadrícula horizontal de la misma, y los tenores de mineral de cada sondaje, hasta determinada profundidad.
Cabe anotar que los textos de Matemáticas que son usuales en nuestras escuelas, en general, casi nada se ocupan del tema de las fórmulas aproximadas de cubicación (o de cubatura), ni aun en buenos textos de Análisis Numérico. El propósito de esta nota es deducir una fórmula de cubicación "a la manera de la de Simpson" y mostrar cómo podría emplearse.
3. En primer lugar, considérese el problema de calcular el volumen comprendido entre una superficie cuádrica en dos variables y el plano de los dos ejes OX y OY.
Sea la superficie cuádrica
en donde a, b1, b2, c1, c2, d son constantes reales tales que los coeficientes de los términos de segundo grado no son todos nulos, es decir, tales que
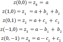
Considérese, por otra parte, la región del plano OXY constituida por el cuadro R que se muestra en la Figura 2, y cuyos vértices son los cuatro puntos (1,0), (0,1), (-1,0) y (0,-1). Su superficie mide, como es evidente, 2 unidades de área. Calculando la función z(x, y) en el centro del cuadrado y en sus cuatro esquinas, se obtiene
Invirtiendo este sistema se obtienen los coeficientes a, b1, b2, c1, c2, en términos de las cotas z0, z1, z2, z3, z4 de la superficie z(x, y) sobre el plano OXY:
Así, los cinco coeficientes quedan determinados por los valores de z(x, y) en los cinco puntos indicados del cuadrado R, y la ecuación de la superficie cuádrica puede escribirse en forma de determinante como
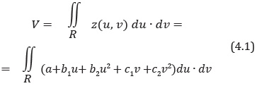
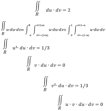
4. El volumen que cubre z(x, y) sobre la región R (cuya área mide 2 unidades) es el integral
El valor de estas integrales se puede calcular término a término:
En consecuencia se obtiene
Y sustituyendo los valores de los coeficientes, se tiene:
A modo de comprobación de esta fórmula puede observarse que si la superficie que cubre a R es el plano z(x, y) = 1, el volumen de que se trata es un paralelepípedo de base R con área igual a 2 y altura igual a 1, cuyo volumen es 2 unidades cúbicas, y esto es precisamente lo que anuncia la fórmula encontrada:
Esta fórmula (4.3) expresa el volumen buscado como una combinación lineal de las cinco cotas z0, z1, z2, z3 y z4, en la cual cabe notar que la suma de sus cinco coeficientes es igual a 2, como se vio arriba.
5. Considerando que se tiene un rectángulo formado por dos cuadrados de lado k unidos por uno de sus lados, como en la Figura 3, en el plano OXY; y que sobre este en el espacio está la superficie cuádrica
acompañada de la condición (3.2), se aprecia que el volumen de la cuádrica por encima del rectángulo se obtiene aplicando la fórmula (4.3) a los dos cuadrados y sumando. Así se obtiene
en donde zhk = z(xh, yk) es la cota de la cuadrícula en el punto de coordenadas xh,yk.
6. Yuxtaponiendo un cuadrado a otro, unidos por uno de sus lados cada par de ellos, puede formarse una figura como la esquematizada en la Figura 4. El perímetro de esa figura es una poligonal P0P1P2 ... Pn-1Pn cuyos puntos sucesivos son equidistantes. Hay algunos de esos puntos donde los dos segmentos adyacentes al punto son colineales. Tal es el caso de P2, P4, P6, P8, P9, etc. A estos puntos los llamaremos nodos llanos.
En algunos otros puntos de la poligonal los dos segmentos adyacentes forman un ángulo de 90° respecto al interior del polígono, como ocurre en P1, P3, P7, P11, P14, etc. A estos puntos los llamaremos nodos convexos. Y a puntos como P0, P5, P13,..., donde se forma un ángulo de 270° respecto al interior de la poligonal, los llamaremos nodos cóncavos. Si p es el número de nodos cóncavos, se demuestra fácilmente que el número de nodos convexos es p + 4. Cada punto llano pertenece a dos cuadrados; cada esquina convexa pertenece a un cuadrado, y cada esquina cóncava pertenece a tres cuadrados. A puntos como Q1, Q2, etc. que pertenecen a cuatro cuadrados se les llamará nodos interiores. Y los centros de los cuadrados se llamarán C1, C2,..., etc.
7. El volumen que una superficie cuádrica
cubre encima del área poligonal sombreada de la Figura 5, puede calcularse aplicando la fórmula (4.3) a cada uno de los cuadrados que forman el área poligonal y sumando sobre todos ellos.
El resultado es casi evidente y puede escribirse
en donde:
S0: Suma de las cotas z(x, y) en los centros de los cuadrados
S1: Suma de las cotas z(x, y) en los nodos convexos
S2: Suma de las cotas z(x, y) en los nodos llanos
S3: Suma de las cotas z(x, y) en los nodos cóncavos
S4: Suma de las cotas z(x, y) en los nodos interiores
8. Es interesante hacer notar algunas relaciones numéricas que deben cumplir los números de sumandos de estas sumas. Para expresarlas llámese
N0: Número de cuadrados (o bien, de centros de cuadrados)
N1: Número de nodos convexos
N2: Número de nodos llanos
N3: Número de nodos cóncavos
N4: Número de nodos interiores
Los N0 cuadrados, considerados uno por uno, tienen 4
N0 vértices (o nodos). De manera que contando cada nodo convexo una vez, cada nodo llano dos veces, cada nodo cóncavo tres veces y cada nodo interior 4 veces, se debe tener:
Y puesto que ya se hizo notar que
se deduce que
lo cual indica que el número de nodos llanos debe ser par, y que
Por otra parte, ya se vio que al sumar los coeficientes de las cotas de cada cuadrado (fórmula 4.3) se obtiene el número 2, de modo que al sumar los N0 cuadrados debe obtenerse 2
N0, y la suma de coeficientes en la fórmula 7.1 será
de donde
Dividiendo esta ecuación por 2 resulta nuevamente la Ecuación 8.3.
Con estos antecedentes es posible ya escribir una fórmula para calcular con aproximación ajustable un integral de la forma
siendo R una región simplemente conectada del plano OXY y siendo f(x, y) una función acotada, continua y sumable en R.
El procedimiento para valorar este integral es el siguiente:
- Admitir que f(x, y) es aproximable por una superficie cuádrica z(x, y) como (3.1), en toda la región R, en el sentido de que para cada punto (x, y) de R se tiene que siendo ε un número positivo prescrito de antemano y tan vecino al cero (0) como se necesite para afinar los resultados y de acuerdo con el calibre de la cuadrícula que se anuncia enseguida.
- Dibujar una cuadrícula de calibre k, que cubra toda R, y tal que la variación de f(x, y) dentro de ningún cuadro exceda a ε.
- Escoger en la cuadricula una poligonal cerrada que no se aparte a distancia mayor que k del contorno de R, el cual es una curva simple, rectificable y cerrada de Jordan, de longitud L. Esta poligonal se denomina poligonal aproximante, y la región que encierra se indica con Q. Es sencillo demostrar que si se hace tender k a cero, el área de Q tiende, como límite, al área de R, y el perímetro de Q tiende al perímetro de R.
- Señalar los centros y las esquinas de todos los cuadrados que queden abrazados por la poligonal mencionada. Dichas esquinas son los nodos de la red poligonal.
- Clasificar el conjunto M de nodos de la red poligonal en los cuatro subconjuntos disyuntos:
M1: sub-conjunto de nodos convexos
M2: sub-conjunto de nodos planos
M3: sub-conjunto de nodos cóncavos
M4: sub-conjunto de nodos interiores
Se tiene así la partición
M = M1
M2
M3
M4, con Mi/
Mj =
para i
j - Calcular f(x, y) en cada uno de los nodos del conjunto M, cuyo número es N1 + N2 + N3 + N4.
Alternativamente, f(x, y) puede estar dada en una tabla numérica o dibujada como familia de curvas de nivel en el plano OXY. - Calcular numérica o algebraicamente (o leer u observar gráficamente o medir físicamente en un modelo a escala) el valor de f(x, y) en cada uno de los centros de los N0 cuadrados que están encerrados por la poligonal aproximante. Estos centros forman el conjunto M0.
- Formar cada una de las cinco sumaciones y calcularlas numéricamente.
- Calcular la expresión (7.1) la cual daría el volumen cubierto por una superficie continua que en cada cuadrado de la cuadrícula coincide con una cuádrica, por encima del área abrazada por la poligonal. En primera aproximación es posible tomar este valor como estimativo del integral (2.1) propuesto, pero teniendo en cuenta que estamos admitiendo errores de aproximación por dos conceptos:
- Por aproximar la región R con la poligonal Q, y
- Por aproximar la función f(P) por los "parches" de cuádricas z(P) que coincidan con f(P) en los nodos de la cuadrícula, pero no necesariamente en los demás puntos de la región R.
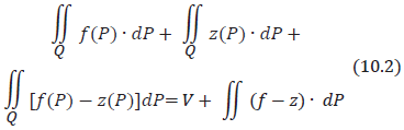
10. Para apreciar la magnitud del error de aproximación, obsérvese primero que la región R es la unión de Q con R
excluyendo de este último conjunto los puntos de Q que no están R, o sea:
en donde la barra diagonal (/) es el signo de diferencia entre conjuntos, y la barra superior encima de un conjunto indica su complemento. Entonces
El primer integral de lado derecho de esta ecuación es
El tercer término del lado derecho de la Ecuación 10.1, que es
puede no estar definido por el problema que se trata de resolver, o puede ser nulo, puesto que el dominio donde se busca el volumen V, es R. Y por una consideración anterior, resulta que
Sustituyendo la (10.2) en la (10.1) se tiene entonces
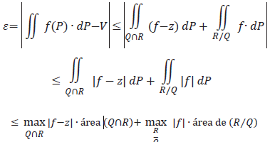
De aquí se obtiene el error del cálculo del volumen
Pero:
área de Q
R ≤ área de R = S
área de R/Q ≤ perímetro de la frontera de R × k = L
k
y llamando
se deduce una acotación para el error ε
Esta acotación permite estimar numéricamente un límite máximo del módulo del error de la aproximación. En efecto, S y L son datos conocidos de la región R; k se ha escogido a voluntad; m y M se obtienen por inspección o por algún método conocido de extremalizar funciones.
11. Sería deseable ahora poder demostrar que el error es infinitesimal con k. En las desigualdades (10.3) los factores M, L, k y M* son evidentemente infinitesimales con k. Por esta consideración, sería necesario y suficiente demostrar que m (o bien m*) tiende a cero si k
0. Pero este tema del error en el ajuste polinómico de funciones tabuladas será tratado en otro documento.
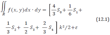
12. En resumen, podemos enunciar la siguiente fórmula de integración numérica aproximada, en dos variables, y refiriéndose a la Figura 5:
En donde S0, S1, S2, S3, S4 tienen el significado explicado en el numeral 7 (fórmula 7.1), y
cuyos símbolos ya fueron definidos en el numeral anterior.
La fórmula (12.1) bien podría llamarse "fórmula de Simpson en el plano".
13. Entre las numerosas aplicaciones que se pueden dar a esta fórmula cabe mencionar las siguientes:
- La medición del volumen de un embalse o de un lago, por medio de sondajes hechos en puntos de la superficie que formen una cuadrícula bien orientada, bien calibrada y bien abscisada.
- La volumetría de un manto de carbón mediante taladros desde la superficie y según la técnica cuadricular ya descrita.
- La medida de los volúmenes de una colina de grava, por encima de distintas cotas de referencia.
REFERENCIAS
Edwards, C.H. (1973). Advanced Calculus of Several Vaiables. New York. Dover Publications, Inc. 457 p. [ Links ]
Mineur, H. (1952). Techniuqes de Calcul Numériques. [ Links ]
Todd, J. (1962). Survey of Numerical Analysis. New York, London. MacGraw Hill Company Inc. 589 p. [ Links ]























































