Introducción
En la actualidad el turismo se ha posicionado como un sector económico que, según datos presentados por la Organización Mundial del Turismo (UNWTO por sus siglas en inglés), ha llegado a representar cerca del 9.8% del PIB mundial y, para el año 2015, fue responsable de 1 de cada 11 puestos de trabajo en el mundo (World Travel & Tourism Council, 2016), siendo uno de los principales estímulos al crecimiento económico para los países desarrollados y en vías de desarrollo (Brida, Monterubbianesi y Zapata-Aguirre, 2011).
En Colombia, el turismo es un sector que está en proceso de consolidación y que tiene enormes posibilidades de potencializarse como motor de desarrollo económico. Esta idea es presentada por Zuñiga y Castillo (2012), quienes evidencian un incremento del 24.8% en los ingresos generados por el turismo en Colombia entre 2007 y 2010. En elaño 2016, el país registró 3.3 millones de llegadas de turistas, lo que representa un crecimiento del 11%, los cuales generaron 4.700 millones de dólares en ingresos (Organización Mundial del Turismo, 2017). Para el año 2017 arribaron a Colombia un total de 6 535 182 de turistas, representando un crecimiento del 28% en el sector turístico, mientras que el crecimiento en el resto del mundo fue en promedio de 7%, siendo esta la mayor cifra registrada en la historia del país. Estos datos evidencian un crecimiento sostenido del turismo como sector relevante para el desarrollo económico del país.
Por lo tanto, el turismo se ha convertido en el segundo renglón económico que más divisas genera al país, lo que impone la necesidad de profundizar en el análisis del sector, en las características de su demanda y las potencialidades de la posible oferta turística, de tal manera que se puedan formular políticas y estrategias encaminadas a ampliar y fortalecer el sector, acción prioritaria en el contexto actual donde se vive unas condiciones de seguridad que permiten la puesta en valor de elementos del patrimonio ambiental y cultural, activos fundamentales para el desarrollo de este sector en todo el territorio nacional, lo que incluye muchas zonas que fueron de acceso restringido durante más de 50 años.
El reconocimiento del turismo como actividad económica en Colombia, se da con la promulgación y publicación de la Ley 60 de 1968 y de la Ley 300 de 1996 (la Ley marco del Turismo en Colombia, con sus sucesivas reformas), herramientas jurídicas que resaltan el impacto del turismo en la calidad de vida de las personas, través de la generación de nuevos empleos y el incremento de los ingresos en las comunidades receptoras. La riqueza de atractivos naturales y culturales del país es ampliamente reconocida a nivel mundial. El estado, asumiendo una de sus funciones de rescate, protección y conservación de estas riquezas del patrimonio natural y cultural, emitió la Ley 397 de 1997 se crea el Ministerio de Cultura y el artículo 327 del CRN que crea el Sistema de Parques Nacionales Naturales.
El Sistema de Parques Nacionales Naturales se define como el conjunto de áreas con valores excepcionales para el patrimonio natural nacional, conformado por 59 áreas naturales que representan 14 268 224 hectáreas (142 682 km2) de la superficie nacional (marinas y terrestres). Este sistema se constituye como un potencial para el desarrollo turístico y ecológico, fortaleciendo el reconocimiento del patrimonio natural a nivel nacional e internacional. Por otro lado, la Ley 397 de 1997 se crea con el fin de promover el cuidado, recuperación y conservación del patrimonio cultural del país y en esta se establecieron dos Imágenes jurídicas: Bienes de Interés Cultural de la Nación (BIC) y la Lista Representativa de Patrimonio Cultural Inmaterial de la Nación.
Además de estos reconocimientos a nivel nacional del patrimonio cultural y natural del país, la UNESCO ha emitido 17 declaratorias de patrimonios culturales en Colombia que hacen parte del Patrimonio de la Humanidad: 8 declaratorias de Patrimonio material, y 9 declaratorias Patrimonio Cultural Inmaterial. Estas declaratorias de la UNESCO son relevantes ya que reconocen sitios y manifestaciones que consagran el carácter único de esta herencia cultural o natural para la humanidad.
A pesar de esta riqueza en atractivos culturales y naturales, el turismo de sol y playa sigue siendo la tipología turística de preferencia para los demandantes del mercado nacional (Zuñiga y Castillo, 2012). Este hecho demuestra la carencia de políticas que promuevan el desarrollo de este sector más allá del clásico turismo de masas y que busquen diversificar la oferta turística e incrementar la demanda innovando en la oferta de servicios ofrecidos, promocionando las riquezas culturales y ambientales para atraer mayor número de turistas domésticos e internacionales, quiénes han mostrado una preferencia creciente por estas tipologías de turismo.
En el concierto nacional, más que en el internacional, se encuentran pocos estudios que analicen sobre los factores que determinan la demanda turística y la promoción de los activos turísticos nacionales necesarios para consolidar este sector y su contribución en el desarrollo económico del país. El Ministerio de Comercio, Industria y Turismo (2009) revela que en Colombia el 80% de la demanda turística proviene del turismo doméstico, esto es, del turismo desarrollado por nacionales al interior del país. Se desconoce hasta el momento qué es lo que determina estos movimientos internos de turistas. Esta situación se convierte en el argumento fundamental para la presentación de este estudio.
El objetivo del presente trabajo es realizar un análisis de los flujos de turistas domésticos que permita caracterizar el potencial turístico de los departamentos y construir una línea base que contribuya a la formulación de políticas de promoción turística, la definición productos y estrategias de difusión de estos en el ámbito nacional. El cumplimiento de este objetivo se alcanza a través de la construcción de una matriz Origen-Destino, a partir de los datos de la Encuesta de Gasto Interno en Turismo (EGIT) aplicada por el Departamento Administrativo Nacional de Estadística (DANE) entre los años 2012 y 2013. Esta matriz permite captar el direccionamiento de los diferentes movimientos con fines turísticos que surgen en un departamento i hacia un departamento j, medidos en términos de viajes realizados, con el fin de identificar y analizar las características de dichos flujos.
El artículo se encuentra dividido en cuatro partes, incluida la presente introducción al sector turístico de Colombia y a la importancia de la realización de estudios relativos al turismo doméstico. La segunda sección presenta la metodología para la construcción de la matriz Origen-Destino y el análisis de los resultados obtenidos; y a partir de esta discusión en la tercera sección se aborda el cálculo de los coeficientes de atracción para los departamentos de estudio y los resultados que se obtienen. Finalmente, en la cuarta sección se presentan las conclusiones y las perspectivas de investigación en este nuevo campo de estudio poco explorado en nuestro país desde la perspectiva económica.
Construcción de una matriz de flujos Origen-Destino
La construcción de matrices Origen-Destino ha sido aplicada a distintos ámbitos con el fin de captar la interacción que se da entre dos unidades territoriales. Esta metodología ha sido utilizada principalmente para describir el comportamiento de la migración interna entre las zonas rural y urbana de un país (Coeymans, 1983) y para determinar el flujo de pasajeros y los tiempos de duración de viaje en el sistema de movilidad de las ciudades (Álvarez y Caballero, 2012; Amézquita, Durán y Fajardo, 2016). Teniendo en cuenta la reciente importancia que se le ha dado al estudio del turismo interno, estas matrices han sido construidas para describir el comportamiento de los flujos de turismo doméstico dentro de los países, como lo muestran los trabajos de Guardia y Muro (2009) y de Domínguez (2014). Los trabajos anteriormente mencionados son los que fundamentarán la aplicación de esta metodología en el presente trabajo y los análisis realizados a partir de los resultados obtenidos.
Con respecto al trabajo de Guardia y Muro (2009), los investigadores se plantean como objetivo realizar un estudio de los flujos turísticos interregionales en España durante el periodo 2004-2008 y así establecer las regiones que tienen una mayor atracción turística. Para el cumplimiento de este objetivo se realiza un análisis descriptivo de los flujos netos de turismo inter e intrarregional, y se los calculan índices de atracción turística basados en la construcción de la matriz Origen-Destino. La realización tanto de la matriz como del cálculo de los índices de atracción permite a los investigadores concluir que España tiene determinadas áreas de emisión neta de viajes, las cuales coinciden con las zonas de mayor población y/o mejor situación económica, lo que permite a sus habitantes viajar con mayor frecuencia a regiones diferentes de la propia. El cálculo de los índices de atracción muestra que las comunidades autónomas que atraen un mayor número de turistas otras comunidades son Aragón, Cantabria, Castilla y León, Madrid, Navarra, País Vasco y La Rioja. Estos resultados demuestran que la distancia geográfica y el tamaño económico del territorio son factores que determinan los flujos turísticos, enfatizando en la importancia que tiene el turismo intrarregional.
Siguiendo este trabajo, Domínguez (2014) describe los patrones de turismo interno de Uruguay construyendo una matriz Origen-Destino de flujos turísticos internos de los años 2010, 2011 y 2012 y calculó el índice de atracción turística entre departamentos. Además, realiza una descripción de los principales perfiles de los turistas que realizan viajes al interior del país. Este estudio permitió profundizar en el conocimiento de la situación del sector turístico de Uruguay en miras de un aprovechamiento de los recursos existentes, en la perspectiva de desarrollo del sector y propiciando el alcance del potencial máximo del sector.
En su estudio Domínguez encuentra que la capital, Montevideo, se posiciona como el mayor emisor neto de turistas en el país, mientras los demás departamentos, a excepción de Flores, resultan teniendo saldos negativos. Encuentra además una predominancia del turismo de "sol y playa"; una predominancia de los flujos intrarregionales, y encontrando además una coincidencia de los flujos internacionales y domésticos.
En Colombia son muy pocos los datos que existen acerca del sector turístico en general y del turismo interno en particular. El primer levantamiento de datos en este sector fue realizado por el DANE en 2003 cuando aplicó por primera vez la Encuesta de Turismo a Hogares particulares residentes en Colombia (ETUR), la cual pretendía recolectar la información necesaria para cuantificar la demanda de servicios turísticos de origen interno y sus características, para proceder con la construcción de indicadores que describieran el comportamiento del sector. Posteriormente, en los años 2006 y 2007 se incluyó un módulo de turismo en la Gran Encuesta Integrada de Hogares (GEIH) evidenciando interés en continuar con la tarea de caracterizar el turismo doméstico en el país. En el año 2012 el DANE, en convenio con Ministerio de Comercio, Industria y Turismo, aplicó la Encuesta de Gasto Interno en Turismo (EGIT) de abril de 2012 a marzo de 2013 con el fin de recolectar información relacionada con el turismo interno y definir las características del gasto en turismo realizado por los colombianos.
La EGIT fue aplicada en las trece ciudades principales del país (Medellín, Barranquilla, Bogotá, Cartagena, Manizales, Montería, Villavicencio, Pasto, Cúcuta, Pereira, Bucaramanga, Ibagué y Cali), y entre sus objetivos se encuentra la recolección de los insumos base para la realización de estrategias de marketing y promoción del turismo en el país, al reconocer su interés en términos de impacto y desarrollo económico a nivel nacional (DANE, 2013). Las principales variables que se incluyen en la EGIT son: el gasto realizado durante el último viaje, el principal medio de transporte, el tipo de alojamiento, el promedio de noches pernoctadas, así como el gasto realizado en excursionismo. En total se recogió información de 22 715 hogares.
La riqueza de datos que ofrece esta encuesta impone a la comunidad académica, al sector turístico y al sector estatal la realización de análisis de los diferentes aspectos sobre los que indaga la encuesta y que se convierten en un recurso ineludible para la toma de decisiones acertadas para el desarrollo económico local y regional. De todos los datos disponibles por la encuesta, esta investigación se centra en los relacionados con los viajes que realizan las personas y en las múltiples actividades que desarrollan, excluyendo el análisis de datos relacionados con el excursionismo, definido como "las actividades que realizan las personas durante sus viajes y estancias en lugares distintos al de su entorno habitual (cabecera municipal, centro poblado o vereda), sin pernoctar en el lugar visitado" (DANE, 2016, p. 30). Así, la muestra seleccionada se centra en los turistas domésticos que pernoctan en el lugar de destino. Con esta información se construyó una matriz Origen-Destino.
La EGIT solo se aplicó en las capitales de 13 departamentos del país lo que no permite calcular la totalidad de los flujos turísticos bilaterales. Por esta limitación en la información disponible, en este trabajo se supone que los 19 departamentos del país que no se consideran en el presente estudio no generan flujos turísticos. Son evidentes las limitaciones que este acceso parcial a la información implica a la hora de obtener resultados concluyentes que muestren el comportamiento en general del turismo doméstico, pues se está excluyendo una gran extensión geográfica del país dotada de importantes atractivos culturales y ambientales que en las actuales condiciones de seguridad se tornan en destinos turísticos de alta demanda. Sin embargo, los departamentos de origen que son incluidos en el estudio recogen el 89% de la población de colombianos residentes en el país por lo que se puede considerar el comportamiento de esta porción de la población como una muestra representativa para el análisis del turismo doméstico
Para la construcción de la matriz de flujo de turistas domésticos entre las regiones del país, se toman de la EGIT los datos de las personas que manifiestan haber realizado viajes al interior del país y se computa la cantidad total de estos realizados en el periodo de referencia. Según lo expuesto por Usach Domingo (1998), se construye una matriz F donde se exponen descriptivamente los flujos turísticos interregionales y se puede caracterizar el turismo interno de Colombia. Esta matriz está definida de la siguiente manera:
Donde:
X ij es el flujo de turismo de los residentes en la región i con destino la región j
D i indica la demanda total del turismo residente que proviene de la región i
O j indica la oferta total del turismo residente que recibe la región j
m es el total de regiones de origen
n es el total de regiones de destino
T es el total de flujos de demanda
Después de filtrar los microdatos de la EGIT encontramos que las 76 620 personas encuestadas se registraron solo 12 864 viajes al interior del país. Luego, se computó esta información según lo dictado por la metodología obteniendo la matriz Origen-Destino de los flujos de turismo doméstico del país tal como pueden observarse en el cuadro 1.
En la matriz relacionada no se incluyen las columnas de los departamentos de Caquetá, Guainía, Guaviare y Vaupés, dado que no recibieron ningún turista para el periodo estudiado. De esta forma, y teniendo en cuenta la información disponible, se analiza el comportamiento del turismo doméstico a partir de los datos de 13 departamentos de origen y 28 departamentos de destino. La información obtenida en esta matriz nos muestra que, de los datos de los departamentos que sirven tanto de origen como de destino, los flujos realizados dentro de un mismo departamento tienen una participación determinante dentro del total de viajes recibidos, lo que indica que el turismo doméstico en Colombia está caracterizado como un turismo intrarregional más que interregional. Estos datos se corresponden con los flujos domésticos obtenidos para España y Uruguay (Guardia y Muro, 2009; Domínguez, 2014).
Se tiene además que los departamentos con mayor emisión de turistas son Cundinamarca, Antioquia, Caldas, Valle del Cauca, Nariño y Norte de Santander; respectivamente. Estos se corresponden en gran parte con los departamentos que tienen mayor recepción de turistas: Antioquia, Valle del Cauca, Cundinamarca, Nariño, Santander y Tolima. Los departamentos anteriormente nombrados corresponden en su mayoría con los departamentos que cuentan con una mayor población, lo que nos lleva a pensar que el tamaño de los departamentos medido en términos poblacionales influiría positivamente en los flujos turísticos recibidos por ellos.
Sin embargo, en el anterior análisis se tienen en cuenta los flujos intrarregionales. Cuando se calculan los flujos netos del turismo de los departamentos, esto es el saldo obtenido cuando se calcula la diferencia entre los viajes recibidos y emitidos por un departamento, el orden de los departamentos que reciben más turistas provenientes de otras regiones, diferentes al mismo origen son: Magdalena, Cundinamarca, Bolívar, Valle del Cauca y Antioquia, tal como se evidencia en el cuadro 2.
Cuadro 2 Flujos turísticos netos para 13 departamentos de Colombia

Fuente: elaboración propia con datos de la EGIT.
Además, para complementar la identificación de los departamentos que emiten y reciben viajes dentro del país, se realizó un análisis de los flujos turísticos netos para cada uno de los 13 departamentos que sirven como origen (ver cuadro 2). De esta manera se evidencia que solo Valle del Cauca, Bolívar y Antioquia, 3 de los 13 departamentos analizados, tienen un saldo neto positivo lo que implica que la cantidad de viajes recibidos es mayor a la cantidad de viajes emitidos. Mientras que los otros 10 departamentos emiten más viajes de los que reciben, siendo los departamentos de Caldas, Córdoba y Atlántico aquellos que cuentan con un saldo negativo más considerable.
Además, resulta interesante hacer mención especial al comportamiento que tienen los flujos intrarregionales dentro del análisis del sector en el país, teniendo en cuenta la predominancia de estos. Así, encontramos que los departamentos que presentan un mayor flujo intrarregional de turismo son Nariño, donde el 73% de los viajes recibidos provienen de residentes de este mismo departamento, seguido por Valle del Cauca (70.7%), Antioquia (70%) y Norte de Santander (65.9%); mientras que los departamentos que presentan un menor flujo intrarregional son: Atlántico (12.2%), Córdoba (23%), Meta (29%), Risaralda (34.3%) y Bolívar (36.9%).
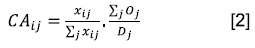
La atracción de los flujos turísticos entre regiones
Siguiendo trabajos de Guardia y Muro (2009), y Domínguez (2014) se plantea la elaboración de un coeficiente o índice de atracción turística entre las regiones incluidas en la matriz Origen-Destino, con el fin de estudiar la posible captación de los viajes que se da entre las regiones del país. Para hacer el análisis respectivo hay que tener en cuenta que cuando se obtiene un coeficiente con valor superior a 1, es indicador de que la captación de viajes de una región por otra es muy intensa, mientras que cuando dicho coeficiente es menor o igual a 1 el grado de atracción entre regiones es poco intenso. Este coeficiente de atracción turística se formula de la siguiente manera:
Donde:
CA ij = coeficiente de atracción turística entre las regiones / y j;
, es decir, la demanda total del turismo residente que proviene de la región i,
Σ;j O j = T, es decir, el total de flujos de demanda
De acuerdo a lo establecido en la fórmula, una atracción intensa se da cuando el número de viajes del departamento i hacia el departamento j, como proporción del total recibido por j, es mayor al total de viajes que parten del departamento / como proporción del total de los viajes realizados al interior del país. Los resultados obtenidos pueden observarse en el cuadro 3, presentado a continuación.
Cuadro 3 Coeficiente de atracción entre los departamentos de Colombia, 2012-2013

Fuente: elaboración propia con datos de la EGIT.
Una primera observación nos muestra que todas las regiones que son origen en sí mismas se configuran como un polo de atracción para el turismo intrarregional, corroborando lo antes previsto por la matriz Origen-Destino y mostrando la relevancia que tiene este tipo de turismo en la caracterización del turismo doméstico. Entre los departamentos que cuentan con un mayor coeficiente de atracción de turismo intrarregional tenemos a Meta, Córdoba, Nariño y Risaralda.
Por otro lado, los departamentos que atraen de forma intensa los viajes originados en un mayor número de otros departamentos son: Quindío (que atrae de forma intensa a 5 departamentos), San Andrés y Providencia (5), Atlántico (4) y Bolívar (4). De manera particular, nos referiremos a los resultados obtenidos en los departamentos de Quindío y de Atlántico para interpretar los resultados obtenidos.
Tenemos que tanto en el caso de Quindío como en el de Atlántico, estos destinos son atractivos especialmente para los departamentos vecinos o con los que comparten límites, siendo esta relación más clara para el departamento de Quindío que presenta índices de atracción superiores a uno para todos los departamentos con los que limita (estos son Caldas, Risaralda, Tolima y Valle del Cauca) además ejercer una fuerza de atracción sobre Córdoba, como se puede observar en la imagen 1.

*El mapa de la Izquierda corresponde al caso Atlántico, el de la derecha al caso de Quindío. Fuente: elaboración propia.
Imagen 1 Departamentos con altos índices de atracción: casos de Atlántico y Quindío
En el caso de Atlántico, encontramos que solo ejerce una atracción intensa del turismo de un solo departamento vecino, este es Bolívar. Pero, se constituye polo de atracción para los departamentos de Córdoba y Santander con los que no comparte frontera. Lo anterior implicaría que la distancia que separa la región de origen de la de destino es un factor determinante a la hora de estudiar el comportamiento del turismo doméstico en Colombia.
Otro caso interesante que podemos encontrar a partir de los resultados obtenidos en la matriz de coeficientes de atracción es el de Antioquia, que a pesar de ser uno de los departamentos con mayor recepción de turistas, solo ejerce una atracción intensa hacia sí mismo lo que se explica al tener en cuenta que el 66% de los viajes recibidos son realizados por personas del mismo departamento.
El análisis geográfico de los índices de atracción, sin embargo, es parcial debido a la limitación impuesta por los datos sobre los que se construyó la matriz Origen-Destino. Esta limitación, por ejemplo, nos impide conocer el nivel de atracción que ejerce Quindío sobre sí mismo; o el nivel de atracción de Atlántico frente a otros departamentos costeros, además de Bolívar y Córdoba.
Conclusiones
La matriz Origen-Destino de flujos turísticos domésticos es una herramienta necesaria para conocer la demanda interna por servicios turísticos en un país, así como para caracterizar este tipo de flujos. El objetivo del presente trabajo fue describir el comportamiento de los flujos turísticos domésticos en Colombia a través de la construcción de una matriz Origen-Destino de los viajes con base en los datos de la EGIT 2012-2013, además de realizar una estimación de los coeficientes de atracción de estos flujos.
Una vez construida la matriz Origen-Destino, encontramos que el turismo doméstico en Colombia sigue un patrón de turismo intrarregional más que uno interregional. Entre las razones que justifican este comportamiento tenemos que la distancia entre las regiones se impone como una restricción a la hora de viajar, lo que es especialmente evidente en Colombia ya que, por tener una geografía montañosa y un precario desarrollo vial que conecte las diferentes regiones, el desplazamiento de un lugar a otro no solo requiere una gran cantidad de tiempo sino también altos costos, lo que dificulta que las personas con un ingreso medio puedan desplazarse muy lejos de su región de origen.
Además de esto, otro factor relevante en este resultado es la percepción de inseguridad que tiene la población para viajar a determinados departamentos del país, teniendo en cuenta la condición de violencia que ha primado en ellas y que hace que el turismo se concentre, principalmente, en las áreas más pobladas, esto es, los principales centros urbanos. Cabe resaltar que este patrón coincide con los resultados obtenidos en estudios de los flujos de turismo interno para España y Uruguay.
De los datos obtenidos por la matriz de flujos Origen-Destino, podemos inferir que los departamentos que reciben una mayor cantidad de viajeros son los mismos que emiten gran proporción de los turistas, factor que indica que la emisión de turistas se relaciona con el tamaño poblacional del departamento y con la capacidad económica de sus habitantes, como es el caso de Antioquia, Cundinamarca y Valle del Cauca. También podemos observar que, sin tener en cuenta los flujos intrarregionales, los departamentos de Magdalena y Bolívar, con su respectiva dotación de patrimonio cultural y natural, y sus playas, son los más importantes destinos turísticos del país en tanto satisfacen la demanda de turismo de sol y playa; además de Cundinamarca que, por ser la capital del país, tiene un flujo turístico neto considerable.
La construcción de esta matriz Origen-Destino también nos permite realizar extensiones del presente trabajo como es el cálculo del coeficiente de atracción, el cual posibilita ampliar el análisis del comportamiento de los flujos domésticos de turismo. Los resultados del cálculo de este coeficiente corroboran la importancia que tienen los flujos intrarregionales dentro del sector turístico del país, y nos permiten concluir que, para departamentos como Quindío y Atlántico la cercanía con otros departamentos determina en parte la atracción de estos flujos.
La construcción de esta matriz Origen-Destino constituye un avance pionero a nivel de los estudios turísticos del país, ya que permite que a partir de él se realicen investigaciones tales como la estimación de los determinantes de los flujos de turismo doméstico mediante, por ejemplo, la aplicación de un modelo gravitacional como los realizados para España por Guardia y Muro (2009), y para Uruguay por Brida, González y Lanzilotta (2017).
Los alcances de esta investigación son parciales por el limitado acceso a la información, las limitaciones encontradas en el objeto de recolección de la información y en las asimetrías en la aplicación del mismo. Si la EGIT se realizara con mayor frecuencia y se aplicara en todos los departamentos del país, se podrían llegar a conclusiones más contundentes para el sector turístico del país. Por lo anterior, se solicita al DANE la aplicación de la EGIT en los 32 departamentos del país, de tal manera que se puedan realizar análisis del impacto que tiene compartir frontera sobre los flujos turísticos bilaterales, construyendo una versión íntegra de la matriz de flujos Origen-Destino. Además, se solicita que se tenga una continuidad en la aplicación de la encuesta, de manera que sea posible monitorear la participación del patrimonio cultural y ambiental como atractivo turístico de las regiones y producir información que alimente las estrategias tanto de los entes públicos como los privados en este sector.
Aunque se da un avance en los estudios del turismo a nivel nacional, el alcance de esta investigación es limitado dadas la inexistencia de datos completos que describan el sector turístico. Si se busca que en el país se incremente la producción académica respecto a este sector, evidentemente se requiere también que los entes estatales promuevan la recolección de información relativa al este, para que así exista un indicador del estado actual de la infraestructura turística y ver qué debilidades hay y como las diferencias de esta entre una región y otra impactan los flujos turísticos.
















